• 文献检索
  • 文档翻译
  • 深度研究
  • 学术资讯
  • Suppr Zotero 插件Zotero 插件
  • 邀请有礼
  • 套餐&价格
  • 历史记录
应用&插件
Suppr Zotero 插件Zotero 插件浏览器插件Mac 客户端Windows 客户端微信小程序
定价
高级版会员购买积分包购买API积分包
服务
文献检索文档翻译深度研究API 文档MCP 服务
关于我们
关于 Suppr公司介绍联系我们用户协议隐私条款
关注我们

Suppr 超能文献

核心技术专利:CN118964589B侵权必究
粤ICP备2023148730 号-1Suppr @ 2026

文献检索

告别复杂PubMed语法,用中文像聊天一样搜索,搜遍4000万医学文献。AI智能推荐,让科研检索更轻松。

立即免费搜索

文件翻译

保留排版,准确专业,支持PDF/Word/PPT等文件格式,支持 12+语言互译。

免费翻译文档

深度研究

AI帮你快速写综述,25分钟生成高质量综述,智能提取关键信息,辅助科研写作。

立即免费体验

使用微阵列基因表达数据的机器学习方法对败血症进行准确诊断的比较。

Comparison of machine-learning methodologies for accurate diagnosis of sepsis using microarray gene expression data.

机构信息

Department of Anesthesiology, Heidelberg University Hospital, Heidelberg, Germany.

出版信息

PLoS One. 2021 May 17;16(5):e0251800. doi: 10.1371/journal.pone.0251800. eCollection 2021.

DOI:10.1371/journal.pone.0251800
PMID:33999966
原文链接:https://pmc.ncbi.nlm.nih.gov/articles/PMC8128240/
Abstract

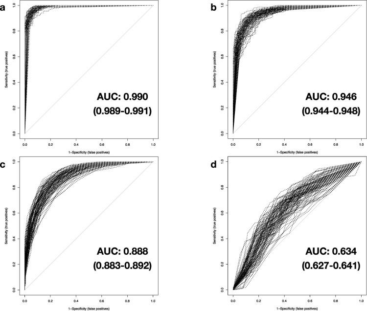
We investigate the feasibility of molecular-level sample classification of sepsis using microarray gene expression data merged by in silico meta-analysis. Publicly available data series were extracted from NCBI Gene Expression Omnibus and EMBL-EBI ArrayExpress to create a comprehensive meta-analysis microarray expression set (meta-expression set). Measurements had to be obtained via microarray-technique from whole blood samples of adult or pediatric patients with sepsis diagnosed based on international consensus definition immediately after admission to the intensive care unit. We aggregate trauma patients, systemic inflammatory response syndrome (SIRS) patients, and healthy controls in a non-septic entity. Differential expression (DE) analysis is compared with machine-learning-based solutions like decision tree (DT), random forest (RF), support vector machine (SVM), and deep-learning neural networks (DNNs). We evaluated classifier training and discrimination performance in 100 independent iterations. To test diagnostic resilience, we gradually degraded expression data in multiple levels. Clustering of expression values based on DE genes results in partial identification of sepsis samples. In contrast, RF, SVM, and DNN provide excellent diagnostic performance measured in terms of accuracy and area under the curve (>0.96 and >0.99, respectively). We prove DNNs as the most resilient methodology, virtually unaffected by targeted removal of DE genes. By surpassing most other published solutions, the presented approach substantially augments current diagnostic capability in intensive care medicine.

摘要

我们研究了通过计算机元分析合并的微阵列基因表达数据对脓毒症进行分子水平样本分类的可行性。从 NCBI Gene Expression Omnibus 和 EMBL-EBI ArrayExpress 提取公开可用的数据集,创建一个综合的元分析微阵列表达集(元表达集)。测量必须通过微阵列技术从在重症监护病房入院后立即根据国际共识定义诊断为脓毒症的成年或儿科患者的全血样本中获得。我们将创伤患者、全身性炎症反应综合征(SIRS)患者和健康对照聚集在一个非脓毒症实体中。差异表达(DE)分析与基于机器学习的解决方案(如决策树(DT)、随机森林(RF)、支持向量机(SVM)和深度学习神经网络(DNN))进行比较。我们在 100 次独立迭代中评估了分类器的训练和区分性能。为了测试诊断的弹性,我们在多个级别逐渐降低表达数据。基于 DE 基因的表达值聚类导致部分识别脓毒症样本。相比之下,RF、SVM 和 DNN 以准确性和曲线下面积(分别>0.96 和>0.99)衡量,提供了出色的诊断性能。我们证明 DNN 是最具弹性的方法,几乎不受 DE 基因的靶向去除的影响。通过超越大多数其他已发表的解决方案,所提出的方法大大增强了重症监护医学中的当前诊断能力。

https://cdn.ncbi.nlm.nih.gov/pmc/blobs/8de1/8128240/b9927c14d3da/pone.0251800.g006.jpg
https://cdn.ncbi.nlm.nih.gov/pmc/blobs/8de1/8128240/6820c394b7ad/pone.0251800.g001.jpg
https://cdn.ncbi.nlm.nih.gov/pmc/blobs/8de1/8128240/2ad94f813fbc/pone.0251800.g002.jpg
https://cdn.ncbi.nlm.nih.gov/pmc/blobs/8de1/8128240/450de98e3857/pone.0251800.g003.jpg
https://cdn.ncbi.nlm.nih.gov/pmc/blobs/8de1/8128240/2202c8ff1617/pone.0251800.g004.jpg
https://cdn.ncbi.nlm.nih.gov/pmc/blobs/8de1/8128240/4f29c263dd0e/pone.0251800.g005.jpg
https://cdn.ncbi.nlm.nih.gov/pmc/blobs/8de1/8128240/b9927c14d3da/pone.0251800.g006.jpg
https://cdn.ncbi.nlm.nih.gov/pmc/blobs/8de1/8128240/6820c394b7ad/pone.0251800.g001.jpg
https://cdn.ncbi.nlm.nih.gov/pmc/blobs/8de1/8128240/2ad94f813fbc/pone.0251800.g002.jpg
https://cdn.ncbi.nlm.nih.gov/pmc/blobs/8de1/8128240/450de98e3857/pone.0251800.g003.jpg
https://cdn.ncbi.nlm.nih.gov/pmc/blobs/8de1/8128240/2202c8ff1617/pone.0251800.g004.jpg
https://cdn.ncbi.nlm.nih.gov/pmc/blobs/8de1/8128240/4f29c263dd0e/pone.0251800.g005.jpg
https://cdn.ncbi.nlm.nih.gov/pmc/blobs/8de1/8128240/b9927c14d3da/pone.0251800.g006.jpg

相似文献

1
Comparison of machine-learning methodologies for accurate diagnosis of sepsis using microarray gene expression data.使用微阵列基因表达数据的机器学习方法对败血症进行准确诊断的比较。
PLoS One. 2021 May 17;16(5):e0251800. doi: 10.1371/journal.pone.0251800. eCollection 2021.
2
Statistical characterization and classification of colon microarray gene expression data using multiple machine learning paradigms.使用多种机器学习范例对结肠微阵列基因表达数据进行统计特征描述和分类。
Comput Methods Programs Biomed. 2019 Jul;176:173-193. doi: 10.1016/j.cmpb.2019.04.008. Epub 2019 Apr 10.
3
Genomic expression profiling across the pediatric systemic inflammatory response syndrome, sepsis, and septic shock spectrum.小儿全身炎症反应综合征、脓毒症及脓毒性休克谱的基因组表达谱分析
Crit Care Med. 2009 May;37(5):1558-66. doi: 10.1097/CCM.0b013e31819fcc08.
4
The use of gene-expression profiling to identify candidate genes in human sepsis.利用基因表达谱分析来鉴定人类脓毒症中的候选基因。
Am J Respir Crit Care Med. 2007 Oct 1;176(7):676-84. doi: 10.1164/rccm.200612-1819OC. Epub 2007 Jun 15.
5
A statistically rigorous deep neural network approach to predict mortality in trauma patients admitted to the intensive care unit.一种用于预测 ICU 收治创伤患者死亡率的统计学严谨的深度神经网络方法。
J Trauma Acute Care Surg. 2020 Oct;89(4):736-742. doi: 10.1097/TA.0000000000002888.
6
A diagnostic model for sepsis-induced acute lung injury using a consensus machine learning approach and its therapeutic implications.基于共识机器学习方法的脓毒症相关性急性肺损伤诊断模型及其治疗意义。
J Transl Med. 2023 Sep 12;21(1):620. doi: 10.1186/s12967-023-04499-4.
7
Revealing potential diagnostic gene biomarkers of septic shock based on machine learning analysis.基于机器学习分析揭示脓毒性休克的潜在诊断基因生物标志物。
BMC Infect Dis. 2022 Jan 19;22(1):65. doi: 10.1186/s12879-022-07056-4.
8
Predicting in-hospital mortality in ICU patients with sepsis using gradient boosting decision tree.使用梯度提升决策树预测重症监护病房脓毒症患者的院内死亡率。
Medicine (Baltimore). 2021 May 14;100(19):e25813. doi: 10.1097/MD.0000000000025813.
9
Development and validation of a novel molecular biomarker diagnostic test for the early detection of sepsis.开发和验证一种新型分子生物标志物诊断检测方法,用于早期检测脓毒症。
Crit Care. 2011 Jun 20;15(3):R149. doi: 10.1186/cc10274.
10
Integrative transcriptomic, proteomic, and machine learning approach to identifying feature genes of atrial fibrillation using atrial samples from patients with valvular heart disease.综合转录组学、蛋白质组学和机器学习方法,利用瓣膜性心脏病患者的心房样本识别心房颤动的特征基因。
BMC Cardiovasc Disord. 2021 Jan 28;21(1):52. doi: 10.1186/s12872-020-01819-0.

引用本文的文献

1
Emerging Strategies in Drug Development and Clinical Care in the Era of Personalized and Precision Medicine.个性化与精准医学时代药物研发与临床护理的新兴策略
Pharmaceutics. 2024 Aug 22;16(8):1107. doi: 10.3390/pharmaceutics16081107.
2
Discovering biomarkers associated and predicting cardiovascular disease with high accuracy using a novel nexus of machine learning techniques for precision medicine.利用机器学习技术的新型融合,准确发现与心血管疾病相关的生物标志物并进行预测,为精准医疗提供支持。
Sci Rep. 2024 Jan 2;14(1):1. doi: 10.1038/s41598-023-50600-8.
3
IntelliGenes: a novel machine learning pipeline for biomarker discovery and predictive analysis using multi-genomic profiles.

本文引用的文献

1
Machine learning for the prediction of sepsis: a systematic review and meta-analysis of diagnostic test accuracy.机器学习在脓毒症预测中的应用:诊断试验准确性的系统评价和荟萃分析。
Intensive Care Med. 2020 Mar;46(3):383-400. doi: 10.1007/s00134-019-05872-y. Epub 2020 Jan 21.
2
Why Understanding Sepsis Endotypes Is Important for Steroid Trials in Septic Shock.为何了解脓毒症内型对脓毒性休克的类固醇试验至关重要。
Crit Care Med. 2019 Dec;47(12):1782-1784. doi: 10.1097/CCM.0000000000003833.
3
Prediction of sepsis patients using machine learning approach: A meta-analysis.
IntelliGenes:一种利用多基因组图谱进行生物标志物发现和预测分析的新型机器学习管道。
Bioinformatics. 2023 Dec 1;39(12). doi: 10.1093/bioinformatics/btad755.
4
Exploring alternative approaches to precision medicine through genomics and artificial intelligence - a systematic review.通过基因组学和人工智能探索精准医学的替代方法——一项系统综述
Front Med (Lausanne). 2023 Oct 2;10:1227168. doi: 10.3389/fmed.2023.1227168. eCollection 2023.
5
ADVANCING THE UNDERSTANDING OF CLINICAL SEPSIS USING GENE EXPRESSION-DRIVEN MACHINE LEARNING TO IMPROVE PATIENT OUTCOMES.利用基于基因表达的机器学习来改善患者预后,从而深入了解临床败血症。
Shock. 2024 Jan 1;61(1):4-18. doi: 10.1097/SHK.0000000000002227. Epub 2023 Sep 22.
6
Co-expression Gene Networks and Machine-learning Algorithms Unveil a Core Genetic Toolkit for Reproductive Division of Labour in Rudimentary Insect Societies.共表达基因网络和机器学习算法揭示了原始昆虫社会中生殖分工的核心遗传工具包。
Genome Biol Evol. 2023 Jan 4;15(1). doi: 10.1093/gbe/evac174.
7
Artificial intelligence and machine learning approaches using gene expression and variant data for personalized medicine.基于基因表达和变异数据的人工智能和机器学习方法在个性化医疗中的应用。
Brief Bioinform. 2022 Sep 20;23(5). doi: 10.1093/bib/bbac191.
基于机器学习的脓毒症患者预测:一项荟萃分析。
Comput Methods Programs Biomed. 2019 Mar;170:1-9. doi: 10.1016/j.cmpb.2018.12.027. Epub 2018 Dec 26.
4
The immunosuppressive face of sepsis early on intensive care unit-A large-scale microarray meta-analysis.脓毒症早期重症监护室的免疫抑制现象:一项大规模微阵列荟萃分析。
PLoS One. 2018 Jun 19;13(6):e0198555. doi: 10.1371/journal.pone.0198555. eCollection 2018.
5
Validation of a Host Response Assay, SeptiCyte LAB, for Discriminating Sepsis from Systemic Inflammatory Response Syndrome in the ICU.宿主反应检测试剂盒(SeptiCyte LAB)在 ICU 中鉴别脓毒症与全身炎症反应综合征的验证。
Am J Respir Crit Care Med. 2018 Oct 1;198(7):903-913. doi: 10.1164/rccm.201712-2472OC.
6
Multicohort Analysis of Whole-Blood Gene Expression Data Does Not Form a Robust Diagnostic for Acute Respiratory Distress Syndrome.多队列全血基因表达数据分析不能为急性呼吸窘迫综合征提供可靠的诊断。
Crit Care Med. 2018 Feb;46(2):244-251. doi: 10.1097/CCM.0000000000002839.
7
Learning representations for the early detection of sepsis with deep neural networks.基于深度学习神经网络的脓毒症早期检测的表示学习。
Comput Biol Med. 2017 Oct 1;89:248-255. doi: 10.1016/j.compbiomed.2017.08.015. Epub 2017 Aug 19.
8
Transcriptome modulation by hydrocortisone in severe burn shock: ancillary analysis of a prospective randomized trial.皮质醇对严重烧伤休克患者转录组的调节:一项前瞻性随机试验的辅助分析。
Crit Care. 2017 Jun 16;21(1):158. doi: 10.1186/s13054-017-1743-9.
9
Modulation of LILRB2 protein and mRNA expressions in septic shock patients and after ex vivo lipopolysaccharide stimulation.脓毒症休克患者及体外脂多糖刺激后LILRB2蛋白和mRNA表达的调节
Hum Immunol. 2017 May-Jun;78(5-6):441-450. doi: 10.1016/j.humimm.2017.03.010. Epub 2017 Mar 22.
10
Shared and Distinct Aspects of the Sepsis Transcriptomic Response to Fecal Peritonitis and Pneumonia.脓毒症对粪性腹膜炎和肺炎转录组反应的共同及不同方面
Am J Respir Crit Care Med. 2017 Aug 1;196(3):328-339. doi: 10.1164/rccm.201608-1685OC.