Suppr超能文献

海洋栖热菌 MetY 的结构与动力学研究为细菌甲硫氨酸生物合成中的主要硫酰化酶提供了新的见解。

Structures and kinetics of Thermotoga maritima MetY reveal new insights into the predominant sulfurylation enzyme of bacterial methionine biosynthesis.

机构信息

Department of Biochemistry, University of Otago, Dunedin, New Zealand.

Institute of Organic Chemistry and Biochemistry, Czech Academy of Sciences, Prague, Czech Republic.

出版信息

J Biol Chem. 2021 Jan-Jun;296:100797. doi: 10.1016/j.jbc.2021.100797. Epub 2021 May 18.

Abstract

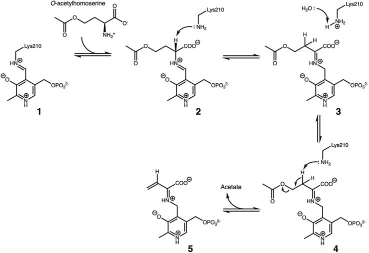
Bacterial methionine biosynthesis can take place by either the trans-sulfurylation route or direct sulfurylation. The enzymes responsible for trans-sulfurylation have been characterized extensively because they occur in model organisms such as Escherichia coli. However, direct sulfurylation is actually the predominant route for methionine biosynthesis across the phylogenetic tree. In this pathway, most bacteria use an O-acetylhomoserine aminocarboxypropyltransferase (MetY) to catalyze the formation of homocysteine from O-acetylhomoserine and bisulfide. Despite the widespread distribution of MetY, this pyridoxal 5'-phosphate-dependent enzyme remains comparatively understudied. To address this knowledge gap, we have characterized the MetY from Thermotoga maritima (TmMetY). At its optimal temperature of 70 °C, TmMetY has a turnover number (apparent k = 900 s) that is 10- to 700-fold higher than the three other MetY enzymes for which data are available. We also present crystal structures of TmMetY in the internal aldimine form and, fortuitously, with a β,γ-unsaturated ketimine reaction intermediate. This intermediate is identical to that found in the catalytic cycle of cystathionine γ-synthase (MetB), which is a homologous enzyme from the trans-sulfurylation pathway. By comparing the TmMetY and MetB structures, we have identified Arg270 as a critical determinant of specificity. It helps to wall off the active site of TmMetY, disfavoring the binding of the first MetB substrate, O-succinylhomoserine. It also ensures a strict specificity for bisulfide as the second substrate of MetY by occluding the larger MetB substrate, cysteine. Overall, this work illuminates the subtle structural mechanisms by which homologous pyridoxal 5'-phosphate-dependent enzymes can effect different catalytic, and therefore metabolic, outcomes.

摘要

细菌蛋氨酸生物合成可以通过转硫途径或直接硫代途径进行。负责转硫的酶已经得到了广泛的研究,因为它们存在于大肠杆菌等模式生物中。然而,直接硫代实际上是整个系统发育树中蛋氨酸生物合成的主要途径。在这条途径中,大多数细菌使用 O-乙酰高丝氨酸氨基羧丙基转移酶(MetY)催化 O-乙酰高丝氨酸和亚硫酸氢盐形成同型半胱氨酸。尽管 MetY 分布广泛,但这种依赖吡哆醛 5'-磷酸的酶仍然相对研究不足。为了解决这一知识空白,我们对来自 Thermotoga maritima(TmMetY)的 MetY 进行了表征。在其最佳温度 70°C 下,TmMetY 的周转率(表观 k = 900 s)比其他三种有数据可用的 MetY 酶高 10 到 700 倍。我们还展示了 TmMetY 处于内部醛亚胺形式的晶体结构,并且很幸运地展示了一个 β,γ-不饱和酮亚胺反应中间体。该中间体与半胱氨酸γ-合成酶(MetB)的催化循环中发现的中间体相同,MetB 是转硫途径中的同源酶。通过比较 TmMetY 和 MetB 的结构,我们确定 Arg270 是特异性的关键决定因素。它有助于隔离 TmMetY 的活性位点,不利于 MetB 的第一个底物 O-琥珀酰高丝氨酸的结合。它还通过排除较大的 MetB 底物半胱氨酸来确保 MetY 的第二个底物亚硫酸氢盐具有严格的特异性。总的来说,这项工作阐明了同源吡哆醛 5'-磷酸依赖酶如何通过细微的结构机制产生不同的催化,从而产生不同的代谢结果。

https://cdn.ncbi.nlm.nih.gov/pmc/blobs/8399/8191291/4a3216dbb7f1/gr1.jpg

文献检索

告别复杂PubMed语法,用中文像聊天一样搜索,搜遍4000万医学文献。AI智能推荐,让科研检索更轻松。

立即免费搜索

文件翻译

保留排版,准确专业,支持PDF/Word/PPT等文件格式,支持 12+语言互译。

免费翻译文档

深度研究

AI帮你快速写综述,25分钟生成高质量综述,智能提取关键信息,辅助科研写作。

立即免费体验