Vector Genetics Laboratory, Department of Pathology, Microbiology and Immunology, UC Davis, Davis, CA, USA.
Winclove Probiotics, Amsterdam, The Netherlands.
Commun Biol. 2021 May 26;4(1):630. doi: 10.1038/s42003-021-02168-0.
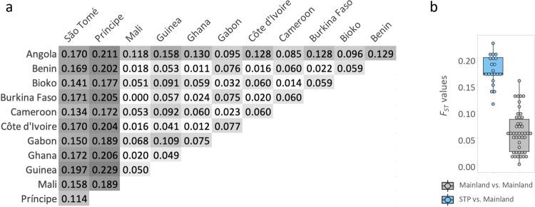
Anopheles coluzzii is a major malaria vector throughout its distribution in west-central Africa. Here we present a whole-genome study of 142 specimens from nine countries in continental Africa and three islands in the Gulf of Guinea. This sample set covers a large part of this species' geographic range. Our population genomic analyses included a description of the structure of mainland populations, island populations, and connectivity between them. Three genetic clusters are identified among mainland populations and genetic distances (F) fits an isolation-by-distance model. Genomic analyses are applied to estimate the demographic history and ancestry for each island. Taken together with the unique biogeography and history of human occupation for each island, they present a coherent explanation underlying levels of genetic isolation between mainland and island populations. We discuss the relationship of our findings to the suitability of São Tomé and Príncipe islands as candidate sites for potential field trials of genetic-based malaria control strategies.
斑蚊属是一种主要的疟疾传播媒介,分布在非洲中西部。在这里,我们对来自非洲大陆 9 个国家和几内亚湾 3 个岛屿的 142 个标本进行了全基因组研究。该样本集涵盖了该物种地理分布的很大一部分。我们的群体基因组分析包括描述大陆种群、岛屿种群以及它们之间的连通性。在大陆种群中发现了三个遗传聚类,遗传距离 (F) 符合距离隔离模型。基因组分析用于估计每个岛屿的种群历史和祖先。结合每个岛屿独特的生物地理和人类居住历史,这些分析为大陆和岛屿种群之间的遗传隔离水平提供了一个连贯的解释。我们讨论了我们的发现与圣多美和普林西比群岛作为潜在的基于遗传的疟疾控制策略现场试验候选地点的适宜性之间的关系。