Suppr超能文献

香芹酚和百里香酚减少技术表面生物膜形成的潜力。

Potential of Carvacrol and Thymol in Reducing Biofilm Formation on Technical Surfaces.

机构信息

Department of Environmental Microbiology and Biotechnology, Faculty of Biological and Veterinary Sciences, Nicolaus Copernicus University, Lwowska 1, 87-100 Torun, Poland.

出版信息

Molecules. 2021 May 6;26(9):2723. doi: 10.3390/molecules26092723.

Abstract

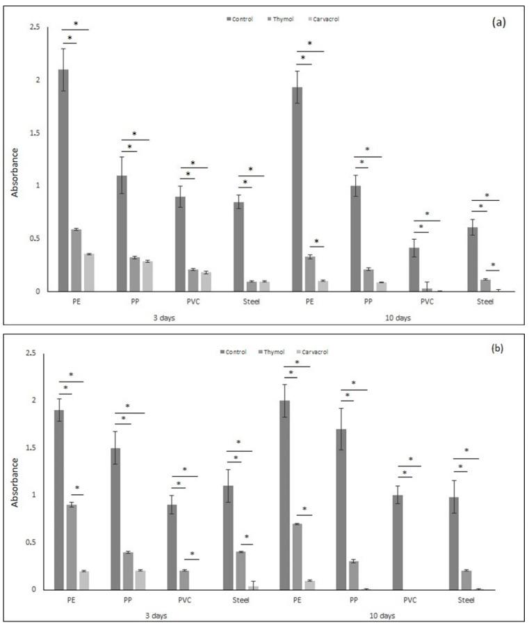
Polyvinyl chloride (PVC), polypropylene (PP), polyethylene (PE), and stainless steel (SS) are commonly used in medicine and food production technologies. During contact with microorganisms on the surface of these materials, a microbial biofilm is formed. The biofilm structure is difficult to remove and promotes the development of pathogenic bacteria. For this reason, the inhibition of biofilm formation in medical and food production environments is very important. For this purpose, five naturally occurring compounds were used for antimicrobial screening tests. The two with the best antimicrobial properties were chosen to inhibit the biofilm formation of and . After 3 days of exposure, thymol reduced the amount of biofilm of within the range of 70-77% and 52-75% for . Carvacrol inhibited the formation of biofilms by up to 74-88% for and up to 86-100% for . Those phenols decreased the enzyme activity of the biofilm by up to 40-100%. After 10 days of exposure to thymol, biofilm formation was reduced by 80-100% for and by about 79-100% for . Carvacrol reduced the amount of biofilm by up to 91-100% for and up to 95-100% for .

摘要

聚氯乙烯(PVC)、聚丙烯(PP)、聚乙烯(PE)和不锈钢(SS)常用于医学和食品生产技术。在这些材料表面与微生物接触时,会形成微生物生物膜。生物膜结构难以去除,并促进了致病菌的发展。出于这个原因,抑制医学和食品生产环境中的生物膜形成非常重要。为此,使用了五种天然存在的化合物进行抗菌筛选测试。选择具有最佳抗菌性能的两种化合物来抑制 和 的生物膜形成。经过 3 天的暴露,百里香酚将 的生物膜量减少了 70-77%和 52-75%,而香芹酚将 的生物膜量减少了 74-88%和 86-100%。这些酚类物质使生物膜的酶活性降低了 40-100%。经过 10 天的百里香酚暴露, 的生物膜形成减少了 80-100%,而 的生物膜形成减少了约 79-100%。香芹酚使 的生物膜量减少了 91-100%,使 的生物膜量减少了 95-100%。

https://cdn.ncbi.nlm.nih.gov/pmc/blobs/7352/8125478/9ddb76053475/molecules-26-02723-g001.jpg

文献AI研究员

20分钟写一篇综述,助力文献阅读效率提升50倍。

立即体验

用中文搜PubMed

大模型驱动的PubMed中文搜索引擎

马上搜索

文档翻译

学术文献翻译模型,支持多种主流文档格式。

立即体验