Ruggerone Beatrice, Scavone Donatella, Troìa Roberta, Giunti Massimo, Dondi Francesco, Paltrinieri Saverio
Department of Veterinary Medicine, University of Milan, Via Celoria, 10, 20133 Milano, Italy.
Veterinary Teaching Hospital, University of Milan, Via dell'Università 6, 26900 Lodi, Italy.
Vet Sci. 2021 May 29;8(6):93. doi: 10.3390/vetsci8060093.
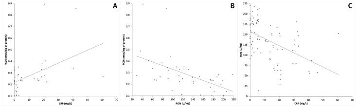
Reliable diagnostic and prognostic markers of sepsis are lacking, but essential in veterinary medicine. We aimed to assess the accuracy of C-Reactive Protein (CRP), protein carbonyls (PCO) and paraoxonase-1 (PON1) in differentiating dogs with sepsis from those with sterile inflammation and healthy ones, and predict the outcome in septic dogs. These analytes were retrospectively evaluated at admission in 92 dogs classified into healthy, septic and polytraumatized. Groups were compared using the Kruskal-Wallis test, followed by a Mann-Whitney test to assess differences between survivors and non-survivors. Correlation between analytes was assessed using the Spearman's test, and their discriminating power was assessed through a Receiver Operating Characteristic (ROC) curve. PON1 and CRP were, respectively, significantly lower and higher in dogs with sepsis compared with polytraumatized and clinically healthy dogs ( < 0.001 for both the analytes), and also in dogs with trauma compared with healthy dogs ( = 0.011 and = 0.017, respectively). PCO were significantly increased in septic ( < 0.001) and polytraumatized ( < 0.005) as compared with healthy dogs. PON1 and CRP were, respectively, significantly lower and higher in dogs that died compared with survivors ( < 0.001 for both analytes). Ultimately, evaluation of CRP and PON1 at admission seems a reliable support to diagnose sepsis and predict outcomes.
脓毒症缺乏可靠的诊断和预后标志物,但在兽医学中至关重要。我们旨在评估C反应蛋白(CRP)、蛋白质羰基(PCO)和对氧磷酶-1(PON1)在区分脓毒症犬与无菌性炎症犬及健康犬方面的准确性,并预测脓毒症犬的预后。对92只分为健康组、脓毒症组和多发伤组的犬在入院时对这些分析物进行了回顾性评估。使用Kruskal-Wallis检验对各组进行比较,随后进行Mann-Whitney检验以评估幸存者和非幸存者之间的差异。使用Spearman检验评估分析物之间的相关性,并通过受试者工作特征(ROC)曲线评估其鉴别能力。与多发伤犬和临床健康犬相比,脓毒症犬的PON1和CRP分别显著降低和升高(两种分析物均<0.001),与健康犬相比,创伤犬的PON1和CRP也分别显著降低和升高(分别为=0.011和=0.017)。与健康犬相比,脓毒症犬(<0.001)和多发伤犬(<0.005)的PCO显著升高。与幸存者相比,死亡犬的PON1和CRP分别显著降低和升高(两种分析物均<0.001)。最终,入院时对CRP和PON1的评估似乎是诊断脓毒症和预测预后的可靠依据。