Suppr超能文献

榆科的生物地理学概述:多样性、分布、生态偏好及保护现状

Biogeographic Overview of Ulmaceae: Diversity, Distribution, Ecological Preferences, and Conservation Status.

作者信息

Fragnière Yann, Song Yi-Gang, Fazan Laurence, Manchester Steven R, Garfì Giuseppe, Kozlowski Gregor

机构信息

Department of Biology and Botanic Garden, University of Fribourg, Chemin du Musée 10, CH-1700 Fribourg, Switzerland.

Eastern China Conservation Centre for Wild Endangered Plant Resources, Shanghai Chenshan Botanical Garden, 3888 Chenhua Road, Songjiang, Shanghai 201602, China.

出版信息

Plants (Basel). 2021 May 31;10(6):1111. doi: 10.3390/plants10061111.

Abstract

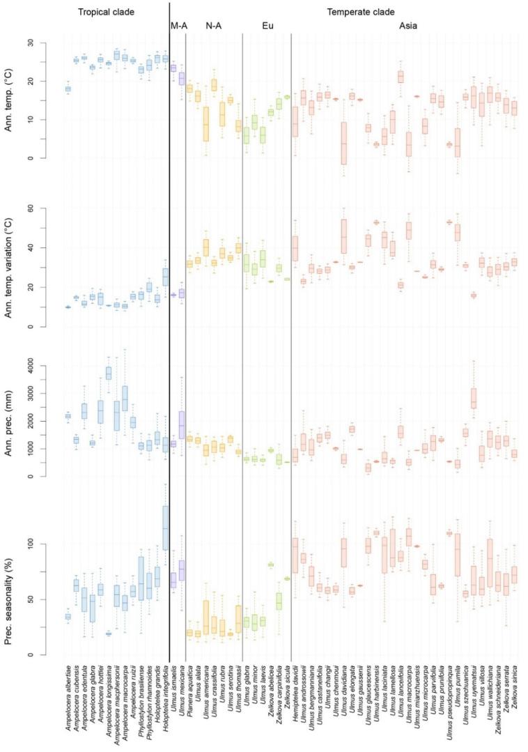
The elm family (Ulmaceae) is a woody plant group with important scientific, societal, and economic value. We aim to present the first biogeographic synthesis investigating the global diversity, distribution, ecological preferences, and the conservation status of Ulmaceae. A literature review was performed to explore the available data for all extant species. Our study made it possible to map the actual global distribution of Ulmaceae with high precision, and to elucidate the centers of diversity, located mainly in China and in the southeastern USA. A detailed comparative analysis of the macroclimatic niche for each species was produced, which shows the general biogeographic pattern of the family and pinpoints the outlier species. The results corroborate recent molecular analyses and support the division of Ulmaceae into two taxonomically, biogeographically, and ecologically well-differentiated groups: the so-called temperate clade with 4 genera and 43 species and the tropical clade with 3 genera and 13 species. The elm family is often described as a typical temperate plant group, however the diversity peak of all Ulmaceae is located in the subtropical zone, and a non-negligible part of the family is exclusively distributed in the tropics. We also noticed that a high proportion of Ulmaceae is linked to humid macro- or microhabitats. Finally, we highlighted that nearly 25% of all Ulmaceae are threatened. Fieldwork, conservation efforts, and research activities are still necessary for this family, particularly for the tropical members and the most endangered species.

摘要

榆科(Ulmaceae)是一个具有重要科学、社会和经济价值的木本植物类群。我们旨在进行首次生物地理学综合研究,调查榆科的全球多样性、分布、生态偏好及保护状况。通过文献综述来探索所有现存物种的可用数据。我们的研究使得高精度绘制榆科的实际全球分布图成为可能,并阐明了主要位于中国和美国东南部的多样性中心。对每个物种的宏观气候生态位进行了详细的比较分析,这显示了该科的总体生物地理模式并找出了异常物种。研究结果证实了最近的分子分析,并支持将榆科分为两个在分类学、生物地理学和生态学上有明显分化的类群:即所谓的温带分支,有4个属43个物种,以及热带分支,有3个属13个物种。榆科常被描述为典型的温带植物类群,然而榆科所有物种的多样性峰值位于亚热带地区,且该科有不可忽视的一部分仅分布于热带地区。我们还注意到,榆科中有很大一部分与湿润的宏观或微观栖息地相关。最后,我们强调,榆科近25%的物种受到威胁。对于这个科,特别是其热带成员和最濒危物种,仍需要进行实地调查、保护工作和研究活动。

https://cdn.ncbi.nlm.nih.gov/pmc/blobs/f2dc/8227750/f8d168803a9b/plants-10-01111-g001.jpg

文献AI研究员

20分钟写一篇综述,助力文献阅读效率提升50倍。

立即体验

用中文搜PubMed

大模型驱动的PubMed中文搜索引擎

马上搜索

文档翻译

学术文献翻译模型,支持多种主流文档格式。

立即体验