Suppr超能文献

新冠疫情导致四周停训,却逆转了八周健身舞训练对轻度认知障碍老年患者的心脏改善效果。

Four Weeks of Detraining Induced by COVID-19 Reverse Cardiac Improvements from Eight Weeks of Fitness-Dance Training in Older Adults with Mild Cognitive Impairment.

机构信息

Institute of Sport Science, Otto-von-Guericke University, 39106 Magdeburg, Germany.

Interdisciplinary Laboratory in Neurosciences, Physiology and Psychology: Physical Activity, Health and Learning (LINP2), UFR STAPS, UPL, Paris Nanterre University, 92000 Nanterre, France.

出版信息

Int J Environ Res Public Health. 2021 May 31;18(11):5930. doi: 10.3390/ijerph18115930.

Abstract

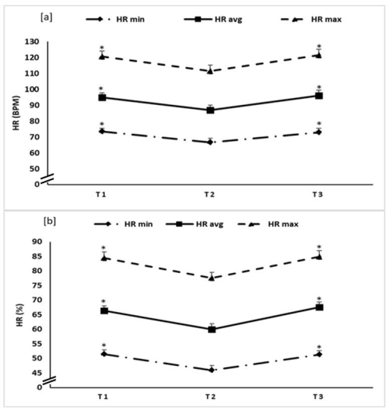
Physical training is considered as a low-cost intervention to generate cardioprotective benefits and to promote physical and mental health, while reducing the severity of acute respiratory infection symptoms in older adults. However, lockdown measures during COVID-19 have limited people's opportunity to exercise regularly. The aim of this study was to investigate the effect of eight weeks of Fitness and Dance training, followed by four weeks of COVID-19-induced detraining, on cardiac adaptations and physical performance indicators in older adults with mild cognitive impairment (MCI). Twelve older adults (6 males and 6 females) with MCI (age, 73 ± 4.4 y; body mass, 75.3 ± 6.4 kg; height, 172 ± 8 cm; MMSE score: 24-27) participated in eight weeks of a combined Fitness-Dance training intervention (two sessions/week) followed by four weeks of training cessation induced by COVID-19 lockdowns. Wireless Polar Team Pro and Polar heart rate sensors (H10) were used to monitor covered distance, speed, heart rate (HR min, avg and max), time in HR zone 1 to 5, strenuousness (load score), beat-to-beat interval (max RR and avg RR) and heart rate variability (HRV-RMSSD). One-way ANOVA was used to analyze the data of the three test sessions (T1: first training session, T2: last training session of the eight-week training program, and T3: first training session after the four-week training cessation). Statistical analysis showed that eight weeks of combined Fitness-Dance training induced beneficial cardiac adaptations by decreasing HR (HR min, HR avg and HR max) with < 0.001, ES = 0.5-0.6 and Δ = -7 to-9 bpm, and increasing HRV related responses (max and avg RR and RMSSD), with < 0.01 and ES = 0.4. Consequently, participants spent more time in comfortable HR zones (e.g., < 0.0005; ES = 0.7; Δ = 25% for HR zone 1) and showed reduced strenuousness ( = 0.02, Δ = -15% for load score), despite the higher covered total distance and average speed ( < 0.01; ES = 0.4). However, these changes were reversed after only four weeks of COVID-19 induced detraining, with values of all parameters returning to their baseline levels. In conclusion, eight weeks of combined Fitness-Dance training seems to be an efficient strategy to promote cardioprotective benefits in older adults with MCI. Importantly, to maintain these health benefits, training has to be continued and detraining periods should be reduced. During a pandemic, home-based exercise programs may provide an effective and efficient alternative of physical training.

摘要

身体训练被认为是一种低成本的干预措施,可以产生心脏保护益处,促进身心健康,同时减轻老年人急性呼吸道感染症状的严重程度。然而,COVID-19 期间的封锁措施限制了人们定期锻炼的机会。本研究的目的是调查八周的健身和舞蹈训练,随后是四周的 COVID-19 诱导的脱训对轻度认知障碍(MCI)老年人的心脏适应和身体表现指标的影响。12 名患有 MCI(年龄 73 ± 4.4 岁;体重 75.3 ± 6.4 千克;身高 172 ± 8 厘米;MMSE 评分:24-27)的老年人参加了为期八周的综合健身-舞蹈训练干预(每周两次),随后由于 COVID-19 封锁而停止训练四周。无线 Polar Team Pro 和 Polar 心率传感器(H10)用于监测覆盖距离、速度、心率(HR min、avg 和 max)、HR 区 1 到 5 的时间、强度(负荷评分)、逐搏间隔(最大 RR 和平均 RR)和心率变异性(HRV-RMSSD)。单向方差分析用于分析三个测试会话的数据(T1:第一次训练会话,T2:八周训练计划的最后一次训练会话,T3:四周训练停止后的第一次训练会话)。统计分析表明,八周的综合健身-舞蹈训练通过降低心率(HR min、HR avg 和 HR max)诱导了有益的心脏适应,具有统计学意义( < 0.001,ES = 0.5-0.6,Δ = -7 至-9 bpm),并增加了与心率相关的反应(最大和平均 RR 和 RMSSD),具有统计学意义( < 0.01,ES = 0.4)。因此,参与者在更舒适的心率区花费的时间更多(例如, < 0.0005;ES = 0.7;Δ = 25%,HR 区 1),并且显示出降低的强度( = 0.02,Δ = -15%,负荷评分),尽管总覆盖距离和平均速度更高( < 0.01,ES = 0.4)。然而,在 COVID-19 诱导的脱训仅四周后,所有参数的值都恢复到基线水平,这些变化就发生了逆转。总之,八周的综合健身-舞蹈训练似乎是促进 MCI 老年人心脏保护益处的有效策略。重要的是,为了保持这些健康益处,必须继续进行训练,并减少脱训期。在大流行期间,基于家庭的运动计划可能是身体训练的有效替代方案。

https://cdn.ncbi.nlm.nih.gov/pmc/blobs/8777/8198940/2fa6fa9e666d/ijerph-18-05930-g001.jpg

文献AI研究员

20分钟写一篇综述,助力文献阅读效率提升50倍。

立即体验

用中文搜PubMed

大模型驱动的PubMed中文搜索引擎

马上搜索

文档翻译

学术文献翻译模型,支持多种主流文档格式。

立即体验