Suppr超能文献

SecStrAnnotator 揭示细胞色素 P450 结构。

Uncovering of cytochrome P450 anatomy by SecStrAnnotator.

机构信息

CEITEC - Central European Institute of Technology, Masaryk University, Brno, 625 00, Czech Republic.

National Centre for Biomolecular Research, Faculty of Science, Masaryk University, Brno, 625 00, Czech Republic.

出版信息

Sci Rep. 2021 Jun 11;11(1):12345. doi: 10.1038/s41598-021-91494-8.

Abstract

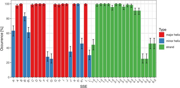
Protein structural families are groups of homologous proteins defined by the organization of secondary structure elements (SSEs). Nowadays, many families contain vast numbers of structures, and the SSEs can help to orient within them. Communities around specific protein families have even developed specialized SSE annotations, always assigning the same name to the equivalent SSEs in homologous proteins. A detailed analysis of the groups of equivalent SSEs provides an overview of the studied family and enriches the analysis of any particular protein at hand. We developed a workflow for the analysis of the secondary structure anatomy of a protein family. We applied this analysis to the model family of cytochromes P450 (CYPs)-a family of important biotransformation enzymes with a community-wide used SSE annotation. We report the occurrence, typical length and amino acid sequence for the equivalent SSE groups, the conservation/variability of these properties and relationship to the substrate recognition sites. We also suggest a generic residue numbering scheme for the CYP family. Comparing the bacterial and eukaryotic part of the family highlights the significant differences and reveals a well-known anomalous group of bacterial CYPs with some typically eukaryotic features. Our workflow for SSE annotation for CYP and other families can be freely used at address https://sestra.ncbr.muni.cz .

摘要

蛋白质结构家族是由二级结构元件 (SSE) 组织定义的同源蛋白质组。如今,许多家族包含大量的结构,SSE 可以帮助在其中定位。甚至针对特定蛋白质家族的社区也开发了专门的 SSE 注释,始终将相同的名称分配给同源蛋白质中的等效 SSE。对等效 SSE 组的详细分析提供了研究家族的概述,并丰富了手头任何特定蛋白质的分析。我们开发了一种用于分析蛋白质家族二级结构解剖结构的工作流程。我们将此分析应用于细胞色素 P450 (CYPs) 的模型家族 - 一种具有社区广泛使用的 SSE 注释的重要生物转化酶家族。我们报告了等效 SSE 组的出现、典型长度和氨基酸序列、这些特性的保守性/可变性以及与底物识别位点的关系。我们还为 CYP 家族提出了一种通用的残基编号方案。比较家族的细菌和真核部分突出了显著的差异,并揭示了一组具有典型真核特征的众所周知的细菌 CYP 异常群体。我们用于 CYP 和其他家族的 SSE 注释的工作流程可在地址 https://sestra.ncbr.muni.cz 免费使用。

https://cdn.ncbi.nlm.nih.gov/pmc/blobs/34aa/8196199/067887b38a14/41598_2021_91494_Fig1_HTML.jpg

相似文献

1
Uncovering of cytochrome P450 anatomy by SecStrAnnotator.
Sci Rep. 2021 Jun 11;11(1):12345. doi: 10.1038/s41598-021-91494-8.
2
Automated Family-Wide Annotation of Secondary Structure Elements.
Methods Mol Biol. 2019;1958:47-71. doi: 10.1007/978-1-4939-9161-7_3.
3
The Cytochrome P450 Engineering Database: a navigation and prediction tool for the cytochrome P450 protein family.
Bioinformatics. 2007 Aug 1;23(15):2015-7. doi: 10.1093/bioinformatics/btm268. Epub 2007 May 17.
4
Structure conservation in cytochromes P450.
Proteins. 2005 Feb 15;58(3):596-609. doi: 10.1002/prot.20354.
5
The Cytochrome P450 superfamily complement (CYPome) in the annelid Capitella teleta.
PLoS One. 2014 Nov 12;9(11):e107728. doi: 10.1371/journal.pone.0107728. eCollection 2014.
6
Is there a relationship between the substrate preferences and structural flexibility of cytochromes P450?
Curr Drug Metab. 2012 Feb;13(2):130-42. doi: 10.2174/138920012798918372.
8
Prediction and analysis of the modular structure of cytochrome P450 monooxygenases.
BMC Struct Biol. 2010 Oct 15;10:34. doi: 10.1186/1472-6807-10-34.
10
Identifying cytochrome p450 functional networks and their allosteric regulatory elements.
PLoS One. 2013 Dec 3;8(12):e81980. doi: 10.1371/journal.pone.0081980. eCollection 2013.

引用本文的文献

1
2
A Computational Pipeline Observes the Flexibility and Dynamics of Plant Cytochrome P450 Binding Sites.
Int J Mol Sci. 2024 Oct 23;25(21):11381. doi: 10.3390/ijms252111381.
3
AlphaFind: discover structure similarity across the proteome in AlphaFold DB.
Nucleic Acids Res. 2024 Jul 5;52(W1):W182-W186. doi: 10.1093/nar/gkae397.
4
SSDraw: Software for generating comparative protein secondary structure diagrams.
Protein Sci. 2023 Dec;32(12):e4836. doi: 10.1002/pro.4836.
5
SSDraw: software for generating comparative protein secondary structure diagrams.
bioRxiv. 2023 Nov 10:2023.08.25.554905. doi: 10.1101/2023.08.25.554905.
6
Insights into Substrate Recognition by the Unusual Nitrating Enzyme RufO.
ACS Chem Biol. 2023 Aug 18;18(8):1713-1718. doi: 10.1021/acschembio.3c00328. Epub 2023 Aug 9.
7
The trans-zeatin-type side-chain modification of cytokinins controls rice growth.
Plant Physiol. 2023 Jul 3;192(3):2457-2474. doi: 10.1093/plphys/kiad197.
9
2DProts: database of family-wide protein secondary structure diagrams.
Bioinformatics. 2021 Dec 7;37(23):4599-4601. doi: 10.1093/bioinformatics/btab505.
10
Molecular and Structural Evolution of Cytochrome P450 Aromatase.
Int J Mol Sci. 2021 Jan 10;22(2):631. doi: 10.3390/ijms22020631.

本文引用的文献

1
CATH: increased structural coverage of functional space.
Nucleic Acids Res. 2021 Jan 8;49(D1):D266-D273. doi: 10.1093/nar/gkaa1079.
2
Pfam: The protein families database in 2021.
Nucleic Acids Res. 2021 Jan 8;49(D1):D412-D419. doi: 10.1093/nar/gkaa913.
3
Logomaker: beautiful sequence logos in Python.
Bioinformatics. 2020 Apr 1;36(7):2272-2274. doi: 10.1093/bioinformatics/btz921.
4
Automated Family-Wide Annotation of Secondary Structure Elements.
Methods Mol Biol. 2019;1958:47-71. doi: 10.1007/978-1-4939-9161-7_3.
6
Ligand Access Channels in Cytochrome P450 Enzymes: A Review.
Int J Mol Sci. 2018 May 30;19(6):1617. doi: 10.3390/ijms19061617.
7
GPCRdb in 2018: adding GPCR structure models and ligands.
Nucleic Acids Res. 2018 Jan 4;46(D1):D440-D446. doi: 10.1093/nar/gkx1109.
8
ANARCI: antigen receptor numbering and receptor classification.
Bioinformatics. 2016 Jan 15;32(2):298-300. doi: 10.1093/bioinformatics/btv552. Epub 2015 Sep 30.
9
Generic GPCR residue numbers - aligning topology maps while minding the gaps.
Trends Pharmacol Sci. 2015 Jan;36(1):22-31. doi: 10.1016/j.tips.2014.11.001. Epub 2014 Dec 22.
10
SCOPe: Structural Classification of Proteins--extended, integrating SCOP and ASTRAL data and classification of new structures.
Nucleic Acids Res. 2014 Jan;42(Database issue):D304-9. doi: 10.1093/nar/gkt1240. Epub 2013 Dec 3.

文献AI研究员

20分钟写一篇综述,助力文献阅读效率提升50倍。

立即体验

用中文搜PubMed

大模型驱动的PubMed中文搜索引擎

马上搜索

文档翻译

学术文献翻译模型,支持多种主流文档格式。

立即体验