Cornel E J, O'Hora P S, Smith T, Growney D J, Mykhaylyk O O, Armes S P
Department of Chemistry, University of Sheffield Dainton Building, Brook Hill Sheffield South Yorkshire S3 7HF UK
Lubrizol Ltd Nether Lane, Hazelwood Derbyshire DE56 4AN UK.
Chem Sci. 2020 Mar 27;11(17):4312-4321. doi: 10.1039/d0sc00569j.
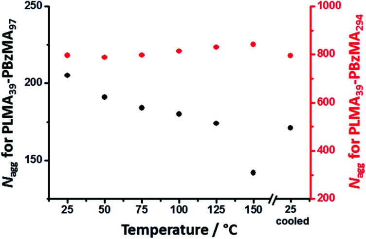
Dilute dispersions of poly(lauryl methacrylate)-poly(benzyl methacrylate) (PLMA-PBzMA) diblock copolymer spheres (a.k.a. micelles) of differing mean particle diameter were mixed and thermally annealed at 150 °C to produce spherical nanoparticles of intermediate size. The two initial dispersions were prepared reversible addition-fragmentation chain transfer (RAFT) dispersion polymerization of benzyl methacrylate in -dodecane at 90 °C. Systematic variation of the mean degree of polymerization of the core-forming PBzMA block enabled control over the mean particle diameter: small-angle X-ray scattering (SAXS) analysis indicated that PLMA-PBzMA and PLMA-PBzMA formed well-defined, non-interacting spheres at 25 °C with core diameters of 21 ± 2 nm and 48 ± 5 nm, respectively. When heated separately, both types of nanoparticles regained their original dimensions during a 25-150-25 °C thermal cycle. However, the cores of the smaller nanoparticles became appreciably solvated when annealed at 150 °C, whereas the larger nanoparticles remained virtually non-solvated at this temperature. Moreover, heating caused a significant reduction in mean aggregation number for the PLMA-PBzMA nanoparticles, suggesting their partial dissociation at 150 °C. Binary mixtures of PLMA-PBzMA and PLMA-PBzMA nanoparticles were then studied over a wide range of compositions. For example, annealing a 1.0% w/w equivolume binary mixture led to the formation of a single population of spheres of intermediate mean diameter (36 ± 4 nm). Thus we hypothesize that the individual PLMA-PBzMA chains interact with the larger PLMA-PBzMA nanoparticles to form the hybrid nanoparticles. Time-resolved SAXS studies confirm that the evolution in copolymer morphology occurs on relatively short time scales (within 20 min at 150 °C) and involves weakly anisotropic intermediate species. Moreover, weakly anisotropic nanoparticles can be obtained as a final copolymer morphology over a restricted range of compositions ( for PLMA-PBzMA volume fractions of 0.20-0.35) when heating dilute dispersions of such binary nanoparticle mixtures up to 150 °C. A mechanism involving both chain expulsion/insertion and micelle fusion/fission is proposed to account for these unexpected observations.
将不同平均粒径的聚(甲基丙烯酸月桂酯)-聚(甲基丙烯酸苄酯)(PLMA-PBzMA)二嵌段共聚物球(即胶束)的稀分散体混合,并在150℃下进行热退火,以制备中等尺寸的球形纳米颗粒。两种初始分散体是通过在90℃下于正十二烷中进行甲基丙烯酸苄酯的可逆加成-断裂链转移(RAFT)分散聚合制备的。形成核的PBzMA嵌段平均聚合度的系统变化使得能够控制平均粒径:小角X射线散射(SAXS)分析表明,PLMA-PBzMA和PLMA-PBzMA在25℃下形成了定义明确、不相互作用的球体,其核直径分别为21±2nm和48±5nm。当分别加热时,两种类型的纳米颗粒在25-150-25℃的热循环中恢复了其原始尺寸。然而,较小纳米颗粒的核在150℃退火时明显溶剂化,而较大的纳米颗粒在此温度下几乎仍未溶剂化。此外,加热导致PLMA-PBzMA纳米颗粒的平均聚集数显著降低,表明它们在150℃下部分解离。然后研究了PLMA-PBzMA和PLMA-PBzMA纳米颗粒在广泛组成范围内的二元混合物。例如,对1.0%w/w等体积二元混合物进行退火导致形成单一群体的平均直径为中等(36±4nm)的球体。因此,我们假设单个PLMA-PBzMA链与较大的PLMA-PBzMA纳米颗粒相互作用以形成杂化纳米颗粒。时间分辨SAXS研究证实,共聚物形态的演变发生在相对较短的时间尺度上(在150℃下20分钟内),并且涉及弱各向异性的中间物种。此外,当将这种二元纳米颗粒混合物的稀分散体加热至150℃时,在有限的组成范围内(对于PLMA-PBzMA体积分数为0.20-0.35),可以获得弱各向异性的纳米颗粒作为最终的共聚物形态。提出了一种涉及链排出/插入和胶束融合/裂变的机制来解释这些意外的观察结果。