Suppr超能文献

聚合诱导自组装的现代趋势

Modern Trends in Polymerization-Induced Self-Assembly.

作者信息

Serkhacheva Natalia S, Prokopov Nickolay I, Lysenko Evgenii A, Kozhunova Elena Yu, Chernikova Elena V

机构信息

Lomonosov Institute of Fine Chemical Technologies, MIREA-Russian Technological University, pr. Vernadskogo, 86, 119571 Moscow, Russia.

Faculty of Chemistry, Lomonosov Moscow State University, Leninskie Gory 1, bld. 3, 119991 Moscow, Russia.

出版信息

Polymers (Basel). 2024 May 15;16(10):1408. doi: 10.3390/polym16101408.

Abstract

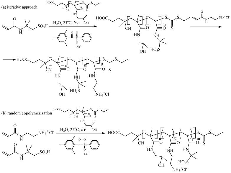
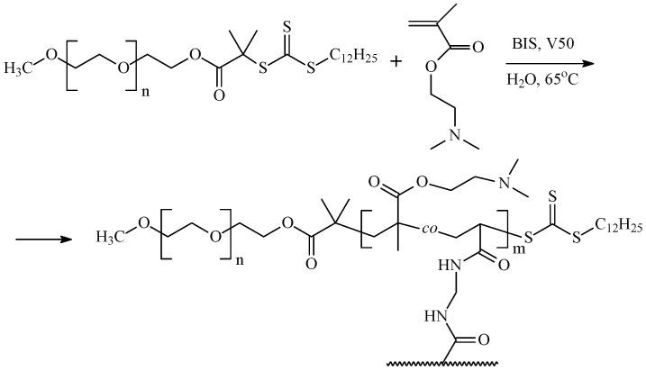
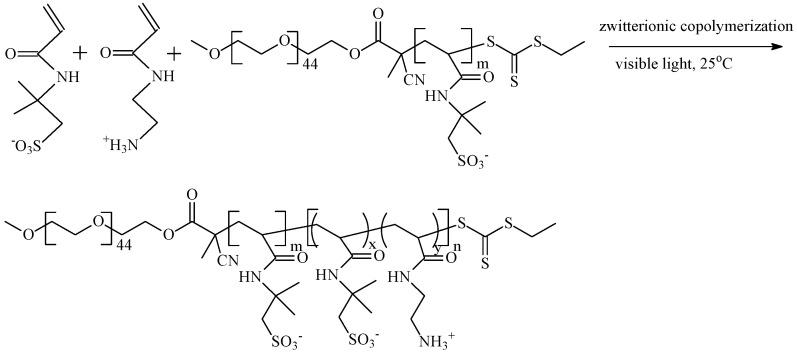
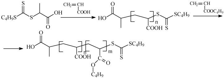
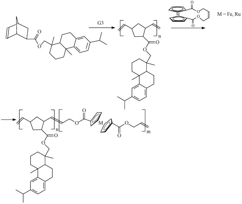
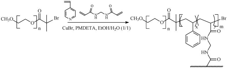
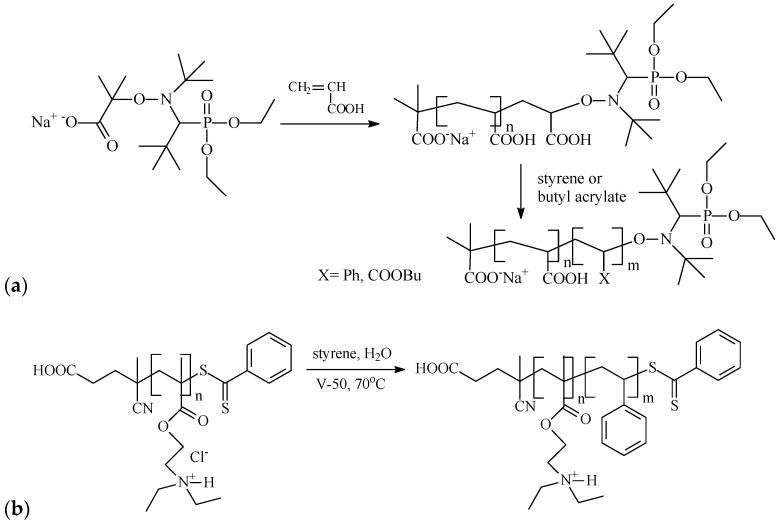
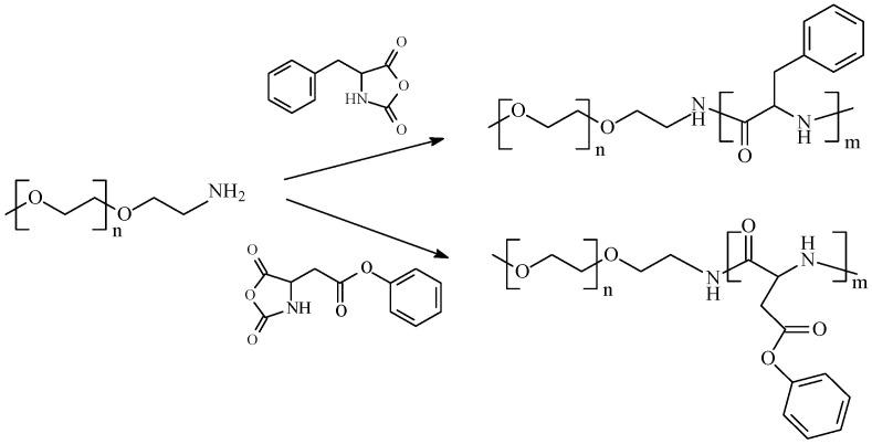
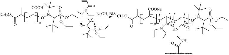
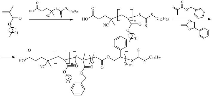
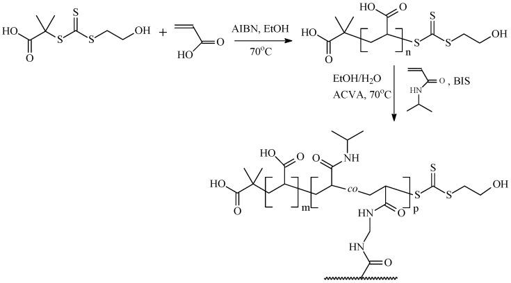
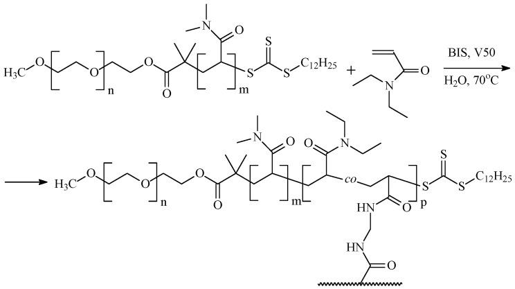
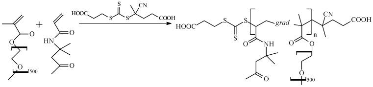
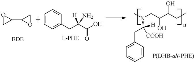
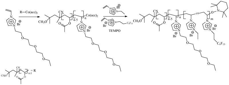
Polymerization-induced self-assembly (PISA) is a powerful and versatile technique for producing colloidal dispersions of block copolymer particles with desired morphologies. Currently, PISA can be carried out in various media, over a wide range of temperatures, and using different mechanisms. This method enables the production of biodegradable objects and particles with various functionalities and stimuli sensitivity. Consequently, PISA offers a broad spectrum of potential commercial applications. The aim of this review is to provide an overview of the current state of rational synthesis of block copolymer particles with diverse morphologies using various PISA techniques and mechanisms. The discussion begins with an examination of the main thermodynamic, kinetic, and structural aspects of block copolymer micellization, followed by an exploration of the key principles of PISA in the formation of gradient and block copolymers. The review also delves into the main mechanisms of PISA implementation and the principles governing particle morphology. Finally, the potential future developments in PISA are considered.

摘要

聚合诱导自组装(PISA)是一种功能强大且用途广泛的技术,可用于制备具有所需形态的嵌段共聚物颗粒的胶体分散体。目前,PISA可以在各种介质中、在很宽的温度范围内以及使用不同的机制进行。该方法能够生产具有各种功能和刺激敏感性的可生物降解物体和颗粒。因此,PISA具有广泛的潜在商业应用。本综述的目的是概述使用各种PISA技术和机制合理合成具有不同形态的嵌段共聚物颗粒的当前状态。讨论首先考察嵌段共聚物胶束化的主要热力学、动力学和结构方面,然后探索PISA在梯度和嵌段共聚物形成中的关键原理。该综述还深入探讨了PISA实施的主要机制以及控制颗粒形态的原理。最后,考虑了PISA未来可能的发展。

https://cdn.ncbi.nlm.nih.gov/pmc/blobs/d2f7/11125046/87c7ef2abf38/polymers-16-01408-g001.jpg

文献检索

告别复杂PubMed语法,用中文像聊天一样搜索,搜遍4000万医学文献。AI智能推荐,让科研检索更轻松。

立即免费搜索

文件翻译

保留排版,准确专业,支持PDF/Word/PPT等文件格式,支持 12+语言互译。

免费翻译文档

深度研究

AI帮你快速写综述,25分钟生成高质量综述,智能提取关键信息,辅助科研写作。

立即免费体验