Cornel Erik J, van Meurs Sandra, Smith Timothy, O'Hora Paul S, Armes Steven P
Dainton Building, Department of Chemistry , University of Sheffield , Brook Hill , Sheffield , South Yorkshire S3 7HF , United Kingdom.
Lubrizol Ltd. , Nether Lane , Hazelwood , Derbyshire DE56 4AN , United Kingdom.
J Am Chem Soc. 2018 Oct 10;140(40):12980-12988. doi: 10.1021/jacs.8b07953. Epub 2018 Sep 25.
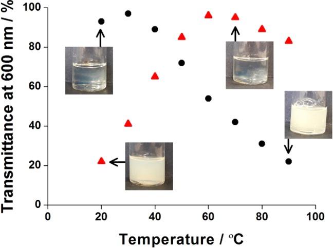
We report the synthesis of highly transparent poly(stearyl methacrylate)-poly(2,2,2-trifluoroethyl methacrylate) (PSMA-PTFEMA) diblock copolymer nanoparticles via polymerization-induced self-assembly (PISA) in nonpolar media at 70 °C. This was achieved by chain-extending a PSMA precursor block via reversible addition-fragmentation chain transfer (RAFT) dispersion polymerization of TFEMA in n-tetradecane. This n-alkane has the same refractive index as the PTFEMA core-forming block at 70 °C, which ensures high light transmittance when targeting 33 nm spherical nanoparticles. Such isorefractivity enables visible absorption spectra to be recorded with minimal light scattering even at 30% w/w solids. However, in situ monitoring of the trithiocarbonate RAFT end-groups during PISA requires selection of a weak n → π* band at 446 nm. Conversion of TFEMA into PTFEMA causes a contraction in the reaction solution volume, leading to an initial increase in absorbance that enables the kinetics of polymerization to be monitored via dilatometry. At ∼98% TFEMA conversion, this 446 nm band remains constant for 2 h at 70 °C, indicating surprisingly high RAFT chain-end fidelity (and hence pseudoliving character) under monomer-starved conditions. In situ F NMR spectroscopy studies provide evidence for (i) the onset of micellar nucleation, (ii) solvation of the nanoparticle cores by TFEMA monomer, and (iii) surface plasticization of the nanoparticle cores by n-tetradecane at 70 °C. Finally, the kinetics of RAFT chain-end removal can be conveniently monitored by in situ visible absorption spectroscopy: addition of excess initiator at 70 °C causes complete discoloration of the dispersion, with small-angle X-ray scattering studies confirming no change in nanoparticle morphology under these conditions.
我们报道了通过在70°C的非极性介质中进行聚合诱导自组装(PISA)合成高度透明的聚(甲基丙烯酸硬脂酯)-聚(甲基丙烯酸2,2,2-三氟乙酯)(PSMA-PTFEMA)二嵌段共聚物纳米颗粒。这是通过在正十四烷中通过TFEMA的可逆加成-断裂链转移(RAFT)分散聚合将PSMA前体嵌段进行链扩展来实现的。这种正构烷烃在70°C时与形成PTFEMA核的嵌段具有相同的折射率,这确保了在靶向33nm球形纳米颗粒时具有高透光率。这种等折射率使得即使在30%w/w固含量下也能以最小的光散射记录可见吸收光谱。然而,在PISA过程中对三硫代碳酸酯RAFT端基进行原位监测需要选择446nm处的弱n→π*带。TFEMA转化为PTFEMA会导致反应溶液体积收缩,导致吸光度最初增加,从而能够通过膨胀计监测聚合动力学。在约98%的TFEMA转化率下,该446nm带在70°C下保持2小时恒定,表明在单体饥饿条件下具有惊人的高RAFT链端保真度(因此具有准活性特征)。原位19F NMR光谱研究为(i)胶束成核的开始、(ii)TFEMA单体对纳米颗粒核的溶剂化以及(iii)70°C下正十四烷对纳米颗粒核的表面增塑提供了证据。最后,RAFT链端去除的动力学可以通过原位可见吸收光谱方便地监测:在70°C下加入过量引发剂会使分散体完全褪色,小角X射线散射研究证实在此条件下纳米颗粒形态没有变化。