Suppr超能文献

肠道菌群失调与肝硬化患者较差的长期预后相关。

Gut dysbiosis is associated with poorer long-term prognosis in cirrhosis.

作者信息

Maslennikov Roman, Ivashkin Vladimir, Efremova Irina, Alieva Aliya, Kashuh Ekaterina, Tsvetaeva Ekaterina, Poluektova Elena, Shirokova Elena, Ivashkin Konstantin

机构信息

Department of Internal Medicine, Gastroenterology and Hepatology, Sechenov University, Moscow 119435, Russia.

出版信息

World J Hepatol. 2021 May 27;13(5):557-570. doi: 10.4254/wjh.v13.i5.557.

Abstract

BACKGROUND

Gut dysbiosis is common in cirrhosis.

AIM

To study the influence of gut dysbiosis on prognosis in cirrhosis.

METHODS

The case-control study included 48 in-patients with cirrhosis and 21 healthy controls. Stool microbiome was assessed using 16S ribosomal ribonucleic acid gene sequencing. We used modified dysbiosis ratio (MDR): [ (%) + (%)]/[ (%) + (%)]. Patients with MDR more the median made up the group with severe dysbiosis, others did the group with non-severe dysbiosis. The follow-up period was 4 years.

RESULTS

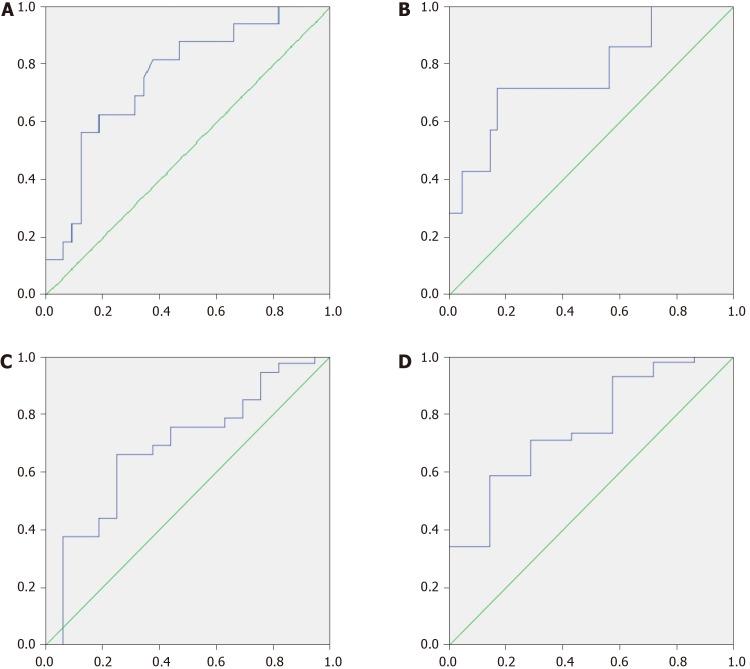
The mortality rate of patients with severe dysbiosis was significantly higher than that of patients with non-severe dysbiosis (54.2% 12.5%; = 0.001). The presence of severe dysbiosis was independent risk factors for death [hazard ratio = 8.6 × (1.9-38.0); = 0.005]. The abundance of ( = 0.002), ( = 0.002), and ( = 0.025) was increased and the abundance of ( = 0.025) and ( = 0.045) was decreased in the deceased patients compared with the survivors. The deceased patients had a higher MDR value than the survivors [0.131 × (0.069-0.234) 0.034 × (0.009-0.096); = 0.004]. If we applied an MDR value of 0.14 as the cutoff point, then it predicted patient death within the next year with a sensitivity of 71.4% and a specificity of 82.9% [area under the curve = 0.767 × (0.559-0.974)]. MDR was higher in patients with cirrhosis than in health controls [0.064 × (0.017-0.131) 0.005 × (0.002-0.007); < 0.001], and in patients with decompensated cirrhosis than in patients with compensated cirrhosis [0.106 × (0.023-0.211) 0.033 × (0.012-0.074); = 0.031]. MDR correlated negatively with prothrombin ( = -0.295; = 0.042), cholinesterase ( = -0.466; = 0.014) and serum albumin ( = -0.449; = 0.001) level and positively with Child-Turcotte-Pugh scale value ( = 0.360; = 0.012).

CONCLUSION

Gut dysbiosis is associated with a poorer long-term prognosis in cirrhosis.

摘要

背景

肠道菌群失调在肝硬化患者中很常见。

目的

研究肠道菌群失调对肝硬化患者预后的影响。

方法

本病例对照研究纳入了48例肝硬化住院患者和21例健康对照者。采用16S核糖体核糖核酸基因测序评估粪便微生物群。我们使用改良的菌群失调比率(MDR):[(%)+(%)]/[(%)+(%)]。MDR高于中位数的患者组成严重菌群失调组,其他患者组成非严重菌群失调组。随访期为4年。

结果

严重菌群失调患者的死亡率显著高于非严重菌群失调患者(54.2%对12.5%;P = 0.001)。严重菌群失调是死亡的独立危险因素[风险比= 8.6×(1.9 - 38.0);P = 0.005]。与存活患者相比,死亡患者中[某种细菌名称1](P = 0.002)、[某种细菌名称2](P = 0.002)和[某种细菌名称3](P = 0.025)的丰度增加,而[某种细菌名称4](P = 0.025)和[某种细菌名称5](P = 0.045)的丰度降低。死亡患者的MDR值高于存活患者[0.131×(0.069 - 0.234)对0.034×(0.009 - 0.096);P = 0.004]。如果将MDR值0.14作为截断点,则其预测患者次年死亡的敏感性为71.4%,特异性为82.9%[曲线下面积= 0.767×(0.559 - 0.974)]。肝硬化患者的MDR高于健康对照者[0.064×(0.017 - 0.131)对0.005×(0.002 - 0.007);P < 0.001],失代偿期肝硬化患者的MDR高于代偿期肝硬化患者[0.106×(0.023 - 0.211)对0.033×(0.012 - 0.074);P = 0.031]。MDR与凝血酶原(r = -0.295;P = 0.042)、胆碱酯酶(r = -0.466;P = 0.014)和血清白蛋白(r = -0.449;P = 0.001)水平呈负相关,与Child-Turcotte-Pugh分级值呈正相关(r = 0.360;P = 0.012)。

结论

肠道菌群失调与肝硬化患者较差的长期预后相关。

https://cdn.ncbi.nlm.nih.gov/pmc/blobs/d505/8173342/4c8bbe8d1ad7/WJH-13-557-g001.jpg

文献AI研究员

20分钟写一篇综述,助力文献阅读效率提升50倍。

立即体验

用中文搜PubMed

大模型驱动的PubMed中文搜索引擎

马上搜索

文档翻译

学术文献翻译模型,支持多种主流文档格式。

立即体验