Suppr超能文献

日本宫崎县原发性脑肿瘤的流行病学研究:南部地区 10 年区域性调查。

Epidemiologic Study of Primary Brain Tumors in Miyazaki Prefecture: A Regional 10-year Survey in Southern Japan.

机构信息

Department of Neurosurgery, Division of Clinical Neuroscience, Faculty of Medicine, University of Miyazaki.

出版信息

Neurol Med Chir (Tokyo). 2021 Aug 15;61(8):492-498. doi: 10.2176/nmc.oa.2020-0438. Epub 2021 Jun 21.

Abstract

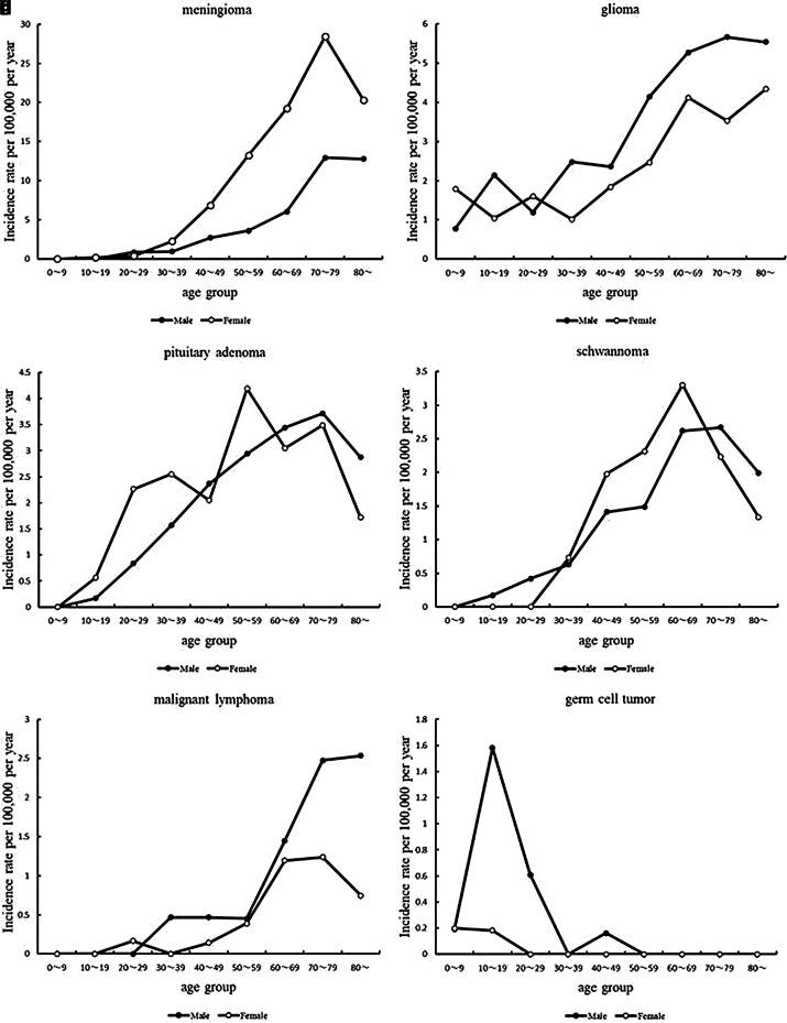
The increased use of neuroimaging and the aging of society have changed the incidence and proportion of histological types of intracranial tumors in Japan. A population-based epidemiological survey has been reported only from Kumamoto Prefecture. We performed a 10-year survey in Miyazaki Prefecture to compare our findings with the incidence rate (IR) of primary intracranial tumors (PIT) reported in the Kumamoto survey. Our study included 1915 new cases of PIT diagnosed in Miyazaki Prefecture between 2007 and 2016. The crude IR was 16.97/100000/year. The most common tumor was meningioma (46.3%), followed by glioma (17.1%), pituitary adenoma (13.1%), schwannoma (8.2%), and malignant lymphoma (3.8%). The age-specific IR of all PITs and of meningiomas, gliomas, pituitary adenomas, schwannomas, lymphomas, and germ cell tumors was similar in both prefectures. To directly compare with the age-adjusted IRs reported in the Kumamoto survey, we calculated the IR for the two prefectures. The age-adjusted IR of primary brain tumors in Miyazaki Prefecture was 14.65/100000/year, which was slightly higher than in the Kumamoto survey (14.09/100000/year between 1989 and 2008). The age-adjusted IR of glioma, schwannoma, and malignant lymphoma showed only a small difference between Miyazaki and Kumamoto. However, the age-adjusted IR of meningiomas was higher in Miyazaki than Kumamoto (6.15- vs. 4.97/100000/year), but the IR of pituitary adenoma was higher in Kumamoto than Miyazaki (2.66- vs. 2.13/100000/year). Although there were some differences between the two surveys, the IR of PIT showed a similar pattern in Kumamoto and Miyazaki, which are neighboring districts on Kyushu Island.

摘要

神经影像学的广泛应用和社会老龄化改变了日本颅内肿瘤的组织学类型的发病率和比例。仅从熊本县报告了一项基于人群的流行病学调查。我们在宫崎县进行了一项为期 10 年的调查,以将我们的发现与熊本调查报告的原发性颅内肿瘤(PIT)发病率(IR)进行比较。我们的研究包括 2007 年至 2016 年在宫崎县诊断的 1915 例新的 PIT 病例。粗发病率为 16.97/100000/年。最常见的肿瘤是脑膜瘤(46.3%),其次是神经胶质瘤(17.1%),垂体腺瘤(13.1%),施万细胞瘤(8.2%)和恶性淋巴瘤(3.8%)。两个县所有 PIT 和脑膜瘤、神经胶质瘤、垂体腺瘤、施万细胞瘤、淋巴瘤和生殖细胞瘤的特定年龄发病率相似。为了直接与熊本调查报告的年龄调整发病率进行比较,我们计算了两个县的发病率。宫崎县原发性脑肿瘤的年龄调整发病率为 14.65/100000/年,略高于熊本调查(1989 年至 2008 年期间为 14.09/100000/年)。宫崎和熊本之间,神经胶质瘤、施万细胞瘤和恶性淋巴瘤的年龄调整发病率仅略有差异。然而,宫崎县脑膜瘤的年龄调整发病率高于熊本(6.15-与 4.97/100000/年),而熊本的垂体腺瘤发病率高于宫崎(2.66-与 2.13/100000/年)。尽管两次调查存在一些差异,但在九州岛相邻地区的熊本和宫崎,PIT 的发病率表现出相似的模式。

https://cdn.ncbi.nlm.nih.gov/pmc/blobs/fe12/8365235/c59fae9e0d45/nmc-61-492-g1.jpg

文献AI研究员

20分钟写一篇综述,助力文献阅读效率提升50倍。

立即体验

用中文搜PubMed

大模型驱动的PubMed中文搜索引擎

马上搜索

文档翻译

学术文献翻译模型,支持多种主流文档格式。

立即体验