Suppr超能文献

根际微生物通过调节番茄的基因表达、内源激素和抗氧化系统来缓解盐胁迫下的植物生长

Rhizospheric spp. Rescues Plant Growth Under Salinity Stress Regulating Gene Expression, Endogenous Hormones, and Antioxidant System of L.

作者信息

Khan Muhammad Aaqil, Hamayun Muhammad, Asaf Sajjad, Khan Murtaza, Yun Byung-Wook, Kang Sang-Mo, Lee In-Jung

机构信息

Department of Applied Biosciences, Kyungpook National University, Daegu, South Korea.

Department of Botany, Abdul Wali Khan University, Mardan, Pakistan.

出版信息

Front Plant Sci. 2021 Jun 11;12:665590. doi: 10.3389/fpls.2021.665590. eCollection 2021.

Abstract

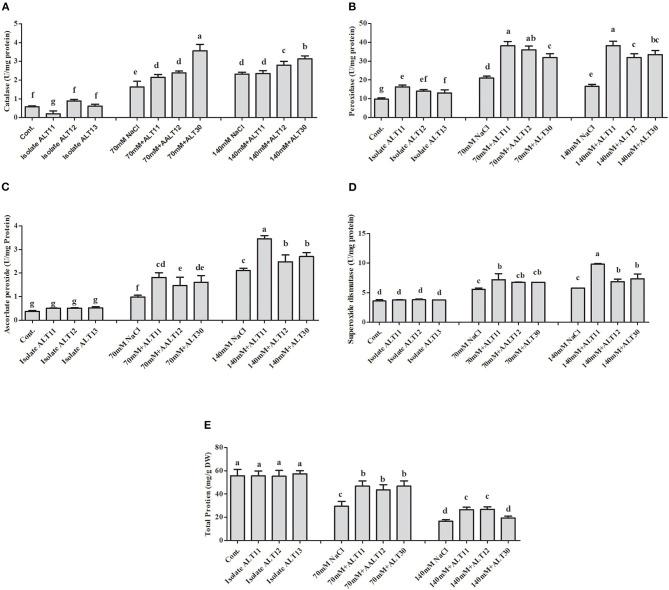
Salinity has drastically reduced crop yields and harmed the global agricultural industry. We isolated 55 bacterial strains from plants inhabiting the coastal sand dunes of Pohang, Korea. A screening bioassay showed that 14 of the bacterial isolates secreted indole-3-acetic acid (IAA), 12 isolates were capable of exopolysaccharide (EPS) production and phosphate solubilization, and 10 isolates secreted siderophores. Based on our preliminary screening, 11 bacterial isolates were tested for salinity tolerance on Luria-Bertani (LB) media supplemented with 0, 50, 100, and 150 mM of NaCl. Three bacterial isolates, ALT11, ALT12, and ALT30, had the best tolerance against elevated NaCl levels and were selected for further study. Inoculation of the selected bacterial isolates significantly enhanced rice growth attributes, viz., shoot length (22.8-42.2%), root length (28.18-59%), fresh biomass (44.7-66.41%), dry biomass (85-90%), chlorophyll content (18.30-36.15%), Chl a (29.02-60.87%), Chl b (30.86-64.51%), and carotenoid content (26.86-70%), under elevated salt stress of 70 and 140 mM. Furthermore, a decrease in the endogenous abscisic acid (ABA) content (27.9-23%) and endogenous salicylic acid (SA) levels (11.70-69.19%) was observed in inoculated plants. Antioxidant analysis revealed an increase in total protein (TP) levels (42.57-68.26%), whereas it revealed a decrease in polyphenol peroxidase (PPO) (24.63-34.57%), glutathione (GSH) (25.53-24.91%), SOA (13.88-18.67%), and LPO levels (15.96-26.06%) of bacterial-inoculated plants. Moreover, an increase in catalase (CAT) (26-33.04%), peroxidase (POD) (59.55-78%), superoxide dismutase (SOD) (13.58-27.77%), and ascorbic peroxidase (APX) (5.76-22.74%) activity was observed. Additionally, inductively coupled plasma mass spectrometry (ICP-MS) analysis showed a decline in Na content (24.11 and 30.60%) and an increase in K (23.14 and 15.45%) and Mg (2.82 and 18.74%) under elevated salt stress. gene expression was downregulated (0.3 and 4.1-folds), whereas the gene expression of , and was upregulated by a 7-17-fold in bacterial-inoculated rice plants. It was concluded that the selected bacterial isolates, ALT11, ALT12, and ALT30, mitigated the adverse effects of salt stress on rice growth and can be used as climate smart agricultural tools in ecofriendly agricultural practices.

摘要

盐分已大幅降低作物产量,并损害了全球农业产业。我们从韩国浦项沿海沙丘的植物中分离出55株细菌菌株。一项筛选生物测定表明,14株细菌分离物分泌吲哚-3-乙酸(IAA),12株分离物能够产生胞外多糖(EPS)并溶解磷酸盐,10株分离物分泌铁载体。基于我们的初步筛选,在补充有0、50、100和150 mM NaCl的Luria-Bertani(LB)培养基上测试了11株细菌分离物的耐盐性。三株细菌分离物ALT11、ALT12和ALT30对升高的NaCl水平具有最佳耐受性,并被选作进一步研究。接种所选细菌分离物显著增强了水稻的生长特性,即,在70和140 mM的盐胁迫升高条件下,茎长(22.8 - 42.2%)、根长(28.18 - 59%)、鲜生物量(44.7 - 66.41%)、干生物量(85 - 90%)、叶绿素含量(18.30 - 36.15%)、叶绿素a(29.02 - 60.87%)、叶绿素b(30.86 - 64.51%)和类胡萝卜素含量(26.86 - 70%)。此外,在接种植物中观察到内源脱落酸(ABA)含量(27.9 - 23%)和内源水杨酸(SA)水平(11.70 - 69.19%)降低。抗氧化分析显示总蛋白(TP)水平升高(42.57 - 68.26%),而细菌接种植物的多酚氧化酶(PPO)(24.63 - 34.57%)、谷胱甘肽(GSH)(25.53 - 24.91%)、SOA(13.88 - 18.67%)和脂质过氧化(LPO)水平降低(15.96 - 26.06%)。此外,观察到过氧化氢酶(CAT)(26 - 33.04%)、过氧化物酶(POD)(59.55 - 78%)、超氧化物歧化酶(SOD)(13.58 - 27.77%)和抗坏血酸过氧化物酶(APX)(5.76 - 22.74%)活性增加。另外,电感耦合等离子体质谱(ICP-MS)分析表明,在盐胁迫升高条件下,Na含量下降(24.11和30.60%),K(23.14和15.45%)和Mg(2.82和18.74%)含量增加。在细菌接种的水稻植株中,基因表达下调(0.3和4.1倍),而基因、和的表达上调7 - 17倍。得出的结论是,所选细菌分离物ALT11、ALT12和ALT30减轻了盐胁迫对水稻生长的不利影响,可作为生态友好型农业实践中气候智能型农业工具使用。

https://cdn.ncbi.nlm.nih.gov/pmc/blobs/a271/8226221/f3687e7ee3a6/fpls-12-665590-g0001.jpg

文献AI研究员

20分钟写一篇综述,助力文献阅读效率提升50倍。

立即体验

用中文搜PubMed

大模型驱动的PubMed中文搜索引擎

马上搜索

文档翻译

学术文献翻译模型,支持多种主流文档格式。

立即体验