Martin-Lorenzo Marta, Ramos-Barron Angeles, Gutierrez-Garcia Paula, Martin-Blazquez Ariadna, Santiago-Hernandez Aranzazu, Rodrigo Calabia Emilio, Gomez-Alamillo Carlos, Alvarez-Llamas Gloria
Department of Immunology, Instituto de Investigación Sanitaria-Fundación Jiménez Díaz-UAM, 28040 Madrid, Spain.
Nephrology Department, Hospital Marqués de Valdecilla, IDIVAL, 39008 Santander, Spain.
Antioxidants (Basel). 2021 Jun 2;10(6):896. doi: 10.3390/antiox10060896.
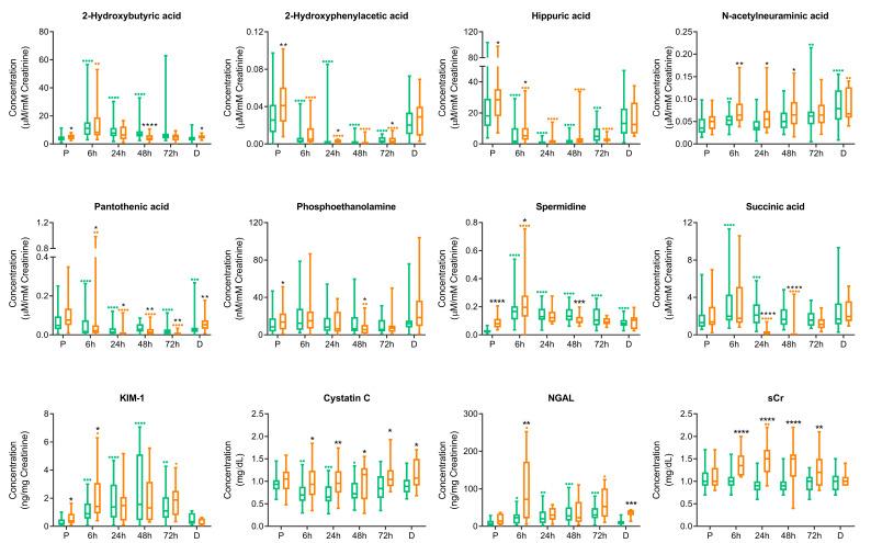
Acute Kidney Injury (AKI) affects up to 30% of the patients who undergo cardiac surgery (CVS) and is related to higher mortality. We aim to investigate molecular features associated with in-hospital AKI development and determine the predictive value of these features when analyzed preoperatively. This is a case-control study. From an initial cohort of 110 recruited subjects, a total of 60 patients undergoing cardiac surgery were included: 20 (33%) developed in-hospital AKI (CVS-AKI) and 40 did not (controls, CVS-C). Pre- and post-surgery samples were collected and a prospective study was carried out. A total of 312 serum samples and 258 urine samples were analyzed by nuclear magnetic resonance, mass spectrometry and ELISA. Six features predicted AKI development in pre-surgery samples: urinary kidney functional loss marker kidney injury molecule-1 (uKIM-1), 2-hydroxybutyric acid, 2-hydroxyphenylacetic acid, hippuric acid, phosphoethanolamine and spermidine. Two of them stood out as powerful predictors. Pre-surgery uKIM-1 levels were increased in CVS-AKI vs. CVS-C (AUC = 0.721, -value = 0.0392) and associated strongly with the outcome (OR = 5.333, -value = 0.0264). Spermidine showed higher concentration in CVS-AKI (-value < 0.0001, AUC = 0.970) and had a strong association with the outcome (OR = 69.75, -value < 0.0001). uKIM-1 and particularly spermidine predict in-hospital AKI associated with CVS in preoperative samples. These findings may aid in preventing postoperative AKI and improve prognosis of CVS.
急性肾损伤(AKI)影响高达30%接受心脏手术(CVS)的患者,且与更高的死亡率相关。我们旨在研究与院内AKI发生相关的分子特征,并确定术前分析这些特征的预测价值。这是一项病例对照研究。从最初招募的110名受试者队列中,共纳入60例接受心脏手术的患者:20例(33%)发生院内AKI(CVS-AKI),40例未发生(对照组,CVS-C)。收集手术前后的样本并进行前瞻性研究。通过核磁共振、质谱和酶联免疫吸附测定法分析了总共312份血清样本和258份尿液样本。六个特征可预测术前样本中的AKI发生:尿肾功能损失标志物肾损伤分子-1(uKIM-1)、2-羟基丁酸、2-羟基苯乙酸、马尿酸、磷酸乙醇胺和亚精胺。其中两个特征表现为强大的预测指标。与CVS-C相比,CVS-AKI患者术前uKIM-1水平升高(AUC = 0.721,P值 = 0.0392),且与预后密切相关(OR = 5.333,P值 = 0.0264)。亚精胺在CVS-AKI患者中浓度更高(P值 < 0.0001,AUC = 0.970),且与预后密切相关(OR = 69.75,P值 < 0.0001)。uKIM-1,尤其是亚精胺可预测术前样本中与CVS相关的院内AKI。这些发现可能有助于预防术后AKI并改善CVS的预后。