D'Amico Ramona, Trovato Salinaro Angela, Fusco Roberta, Cordaro Marika, Impellizzeri Daniela, Scuto Maria, Ontario Maria Laura, Lo Dico Gianluigi, Cuzzocrea Salvatore, Di Paola Rosanna, Siracusa Rosalba, Calabrese Vittorio
Department of Chemical, Biological, Pharmaceutical and Environmental Sciences, University of Messina, 98166 Messina, Italy.
Department of Biomedical and Biotechnological Sciences, University of Catania, 95125 Catania, Italy.
Antioxidants (Basel). 2021 Jun 2;10(6):898. doi: 10.3390/antiox10060898.
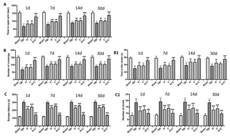
Traumatic brain injury (TBI) is a major health and socioeconomic problem affecting the world. This condition results from the application of external physical force to the brain which leads to transient or permanent structural and functional impairments. TBI has been shown to be a risk factor for neurodegeneration which can lead to Parkinson's disease (PD) for example. In this study, we wanted to explore the development of PD-related pathology in the context of an experimental model of TBI and the potential ability of and to prevent neurodegenerative processes. Traumatic brain injury was induced in mice by controlled cortical impact. Behavioral tests were performed at various times: the animals were sacrificed 30 days after the impact and the brain was processed for Western blot and immunohistochemical analyzes. After the head injury, a significant decrease in the expression of tyrosine hydroxylase and the dopamine transporter in the substantia nigra was observed, as well as significant behavioral alterations that were instead restored following daily oral treatment with and . Furthermore, a strong increase in neuroinflammation and oxidative stress emerged in the vehicle groups. Treatment with and was able to prevent both the neuroinflammatory and oxidative processes typical of PD. This study suggests that PD-related molecular events may be triggered on TBI and that nutritional fungi such as and may be important in redox stress response mechanisms and neuroprotection, preventing the progression of neurodegenerative diseases such as PD.
创伤性脑损伤(TBI)是一个影响全球的重大健康和社会经济问题。这种情况是由于外部物理力作用于大脑导致短暂或永久性的结构和功能损伤。TBI已被证明是神经退行性变的一个危险因素,例如可导致帕金森病(PD)。在本研究中,我们想在TBI实验模型的背景下探索PD相关病理学的发展以及[具体物质1]和[具体物质2]预防神经退行性变过程的潜在能力。通过控制性皮质撞击在小鼠中诱导创伤性脑损伤。在不同时间进行行为测试:撞击后30天处死动物,并对大脑进行蛋白质印迹和免疫组织化学分析。头部受伤后,观察到黑质中酪氨酸羟化酶和多巴胺转运体的表达显著下降,以及显著的行为改变,而每日口服[具体物质1]和[具体物质2]后这些改变得以恢复。此外,在载体组中出现了强烈的神经炎症和氧化应激增加。用[具体物质1]和[具体物质2]治疗能够预防PD典型的神经炎症和氧化过程。这项研究表明,与PD相关的分子事件可能在TBI时触发,并且营养性真菌如[具体物质1]和[具体物质2]在氧化还原应激反应机制和神经保护中可能很重要,可预防诸如PD等神经退行性疾病的进展。