Department of Veterinary Science, University of Messina, 98168, Messina, Italy.
Department of Chemical, Biological, Pharmaceutical and Environmental Sciences, University of Messina, Messina, Italy.
Curr Neuropharmacol. 2024;22(12):2079-2098. doi: 10.2174/1570159X22666231206153936.
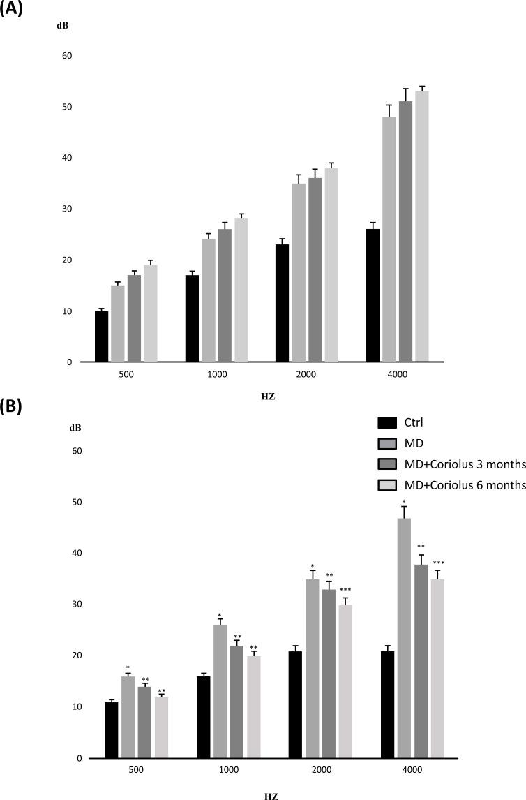
Meniere's disease (MD) is a cochlear neurodegenerative disease. Hearing loss appears to be triggered by oxidative stress in the ganglion neurons of the inner ear.
Here, we confirm the variation of markers of oxidative stress and inflammation in patients with Meniere and hypothesize that chronic treatment with Coriolus mushroom helps in the response to oxidative stress and acts on α-synuclein and on NF-kB-mediated inflammatory processes Methods: Markers of oxidative stress and inflammation were evaluated in MD patients with or without Coriolus treatment for 3 or 6 months.
MD patients had a small increase in Nrf2, HO-1, γ-GC, Hsp70, Trx and sirtuin-1, which were further increased by Coriolus treatment, especially after 6 months. Increased markers of oxidative damage, such as protein carbonyls, HNE, and ultraweak chemiluminescence, associated with a decrease in plasma GSH/GSSG ratio, were also observed in lymphocytes from MD patients. These parameters were restored to values similar to the baseline in patients treated with Coriolus for both 3 and 6 months. Furthermore, treated MD subjects showed decreased expression of α-synuclein, GFAP and Iba-1 proteins and modulation of the NF-kB pathway, which were impaired in MD patients. These changes were greatest in subjects taking supplements for 6 months.
Our study suggests MD as a model of cochlear neurodegenerative disease for the identification of potent inducers of the Nrf2-vitagene pathway, able to reduce the deleterious consequences associated with neurodegenerative damage, probably by indirectly acting on a-synuclein expression and on inflammatory processes NF-kB-mediated.
梅尼埃病(MD)是一种内耳神经退行性疾病。听力损失似乎是由内耳神经节神经元的氧化应激引起的。
本研究旨在证实梅尼埃病患者氧化应激和炎症标志物的变化,并假设慢性服用云芝有助于对抗氧化应激,作用于α-突触核蛋白和 NF-kB 介导的炎症过程。
评估了接受或未接受云芝治疗的 MD 患者 3 或 6 个月后氧化应激和炎症标志物的变化。
MD 患者的 Nrf2、HO-1、γ-GC、Hsp70、Trx 和 Sirtuin-1 略有增加,经云芝治疗后进一步增加,尤其是 6 个月后。还观察到 MD 患者淋巴细胞中氧化损伤标志物如蛋白质羰基、HNE 和超弱化学发光增加,同时血浆 GSH/GSSG 比值降低。这些参数在用云芝治疗 3 个月和 6 个月的患者中均恢复到基线值。此外,治疗后的 MD 患者表现出α-突触核蛋白、GFAP 和 Iba-1 蛋白表达降低和 NF-kB 通路的调节,而这些在 MD 患者中受损。在服用补充剂 6 个月的患者中,这些变化最为明显。
本研究提示 MD 是内耳神经退行性疾病的模型,可用于鉴定 Nrf2-vitagene 途径的有效诱导剂,该途径能够减轻与神经退行性损伤相关的有害后果,可能通过间接作用于α-突触核蛋白表达和 NF-kB 介导的炎症过程。