Suppr超能文献

受助人的人格特质与利他主义的遗传和环境结构。

Genetic and Environmental Structure of Altruism Characterized by Recipients in Relation to Personality.

机构信息

Faculty of Letters, Keio University, Tokyo 108-8345, Japan.

Faculty of Letters, Kokushikan University, Tokyo 154-8515, Japan.

出版信息

Medicina (Kaunas). 2021 Jun 8;57(6):593. doi: 10.3390/medicina57060593.

Abstract

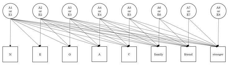
Altruism is a form of prosocial behavior with the goal of increasing the fitness of another individual as a recipient while reducing the fitness of the actor. Although there are many studies on its heterogeneity, only a few behavioral genetic studies have been conducted to examine different recipient types: family members favored by kin selection, the dynamic network of friends and acquaintances as direct reciprocity, and strangers as indirect reciprocity. This study investigated the genetic and environmental structure of altruism with reference to recipient types measured by the self-report altruism scale distinguished by the recipient (the SRAS-DR) and examine the relationship to personality dimensions measured by the NEO-FFI with a sample of 461 adult Japanese twin pairs. The present study shows that there is a single common factor of altruism: additive genetic effects explain 51% of altruism without a shared environmental contribution. The genetic contribution of this single common factor is explained by the genetic factors of neuroticism (N), extraversion (E), openness to experience (O), and conscientiousness (C), as well as a common genetic factor specific to altruism. Only altruism toward strangers is affected by shared environmental factors. Different types of altruistic personality are constructed by specific combinational profiles of general personality traits such as the Big Five as well as a genetic factor specific to altruism in each specific way.

摘要

利他主义是一种亲社会行为,其目的是增加受惠者的适应度,同时降低行为者的适应度。尽管对其异质性有很多研究,但只有少数行为遗传学研究考察了不同的受惠者类型:受亲属选择青睐的家庭成员、作为直接互惠的朋友和熟人的动态网络以及作为间接互惠的陌生人。本研究通过受惠者区分的自我报告利他主义量表(SRAS-DR)来衡量受惠者类型,参考该量表调查了利他主义的遗传和环境结构,并通过对 461 对日本成年双胞胎样本的 NEO-FFI 人格维度进行了考察,研究了利他主义与人格维度之间的关系。本研究表明,利他主义存在单一的共同因素:加性遗传效应解释了 51%的利他主义,而没有共享环境的贡献。这个单一共同因素的遗传贡献可以由神经质(N)、外向性(E)、开放性(O)和尽责性(C)的遗传因素以及特定于利他主义的共同遗传因素来解释。只有对陌生人的利他主义受到共享环境因素的影响。不同类型的利他主义人格是通过一般人格特质(如大五人格)的特定组合特征以及每种特定方式下特定于利他主义的遗传因素来构建的。

https://cdn.ncbi.nlm.nih.gov/pmc/blobs/f683/8228475/d73e51854e03/medicina-57-00593-g001.jpg

文献AI研究员

20分钟写一篇综述,助力文献阅读效率提升50倍。

立即体验

用中文搜PubMed

大模型驱动的PubMed中文搜索引擎

马上搜索

文档翻译

学术文献翻译模型,支持多种主流文档格式。

立即体验