• 文献检索
  • 文档翻译
  • 深度研究
  • 学术资讯
  • Suppr Zotero 插件Zotero 插件
  • 邀请有礼
  • 套餐&价格
  • 历史记录
应用&插件
Suppr Zotero 插件Zotero 插件浏览器插件Mac 客户端Windows 客户端微信小程序
定价
高级版会员购买积分包购买API积分包
服务
文献检索文档翻译深度研究API 文档MCP 服务
关于我们
关于 Suppr公司介绍联系我们用户协议隐私条款
关注我们

Suppr 超能文献

核心技术专利:CN118964589B侵权必究
粤ICP备2023148730 号-1Suppr @ 2026

文献检索

告别复杂PubMed语法,用中文像聊天一样搜索,搜遍4000万医学文献。AI智能推荐,让科研检索更轻松。

立即免费搜索

文件翻译

保留排版,准确专业,支持PDF/Word/PPT等文件格式,支持 12+语言互译。

免费翻译文档

深度研究

AI帮你快速写综述,25分钟生成高质量综述,智能提取关键信息,辅助科研写作。

立即免费体验

大型MOD洞形中短纤维增强直接修复体的断裂行为

Fracture Behavior of Short Fiber-Reinforced Direct Restorations in Large MOD Cavities.

作者信息

Fráter Márk, Sáry Tekla, Vincze-Bandi Eszter, Volom András, Braunitzer Gábor, Szabó P Balázs, Garoushi Sufyan, Forster András

机构信息

Department of Operative and Esthetic Dentistry, Faculty of Dentistry, University of Szeged, H-6720 Szeged, Hungary.

Volom Dental, H-1037 Budapest, Hungary.

出版信息

Polymers (Basel). 2021 Jun 23;13(13):2040. doi: 10.3390/polym13132040.

DOI:10.3390/polym13132040
PMID:34201423
原文链接:https://pmc.ncbi.nlm.nih.gov/articles/PMC8271361/
Abstract

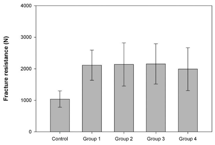
The aim of this research was to study the impact of using a short fiber-reinforced composite (SFRC) core on the fatigue performance and fracture behavior of direct large posterior composite restorations. Moreover, the influence of the consistency (flowable or packable) of occlusal composite coverage was assessed. A total of 100 intact molars were collected and randomly distributed into five groups (n = 20). Deep mesio-occlusal-distal (MOD) cavities were prepared in all groups. After adhesive treatment and rebuilding the missing interproximal walls with conventional composite, the specimens in four experimental groups were restored by an SFRC core (everX Flow), which was applied and cured either in bulk or in oblique layers (each 2 mm thick). Packable (G-aenial Posterior) or flowable (G-aenial Injectable) conventional composites were used as a final occlusal layer. The control group was restored with only packable conventional composite. Fatigue survival was measured for all specimens using a cyclic loading machine until a fracture occurred or a total of 25,000 cycles was achieved. Kaplan-Meyer survival analyses were conducted, followed by pairwise log-rank post hoc comparisons. The static load-bearing capacity of surviving teeth was tested using a universal testing machine. Fracture patterns were evaluated visually. There was no statistically significant ( > 0.05) difference in terms of survival between the tested groups. All groups for which flowable SFRC was used showed statistically significantly higher load-bearing capacities compared to the control group ( < 0.05). There were no significant differences regarding fracture resistance among the fiber-reinforced study groups. Regarding the fracture pattern during the survival analysis, all specimens that received SFRC showed a dominantly restorable type of fracture, while the control specimens presented a dominantly non-restorable type. The use of flowable SFRC as a reinforcing core for large MOD direct restorations showed promising achievements regarding fracture behavior.

摘要

本研究的目的是探讨使用短纤维增强复合材料(SFRC)桩核对直接后牙大面积复合树脂修复体疲劳性能和断裂行为的影响。此外,还评估了咬合面复合树脂覆盖层的稠度(可流动型或可压实型)的影响。共收集100颗完整磨牙,随机分为五组(n = 20)。所有组均制备深近中-咬合-远中(MOD)窝洞。经过粘结处理并用传统复合树脂重建缺失的邻面壁后,四个试验组的标本用SFRC桩核(everX Flow)修复,该桩核采用整体或斜层(每层2 mm厚)涂抹并固化。可压实型(G-aenial Posterior)或可流动型(G-aenial Injectable)传统复合树脂用作最终咬合面修复层。对照组仅用可压实型传统复合树脂修复。使用循环加载机对所有标本进行疲劳寿命测量,直至发生断裂或达到总共25000次循环。进行Kaplan-Meyer生存分析,随后进行两两对数秩事后比较。使用万能试验机测试存活牙齿的静态承载能力。通过肉眼评估断裂模式。各测试组之间在生存率方面无统计学显著差异(> 0.05)。与对照组相比,所有使用可流动型SFRC的组均显示出统计学显著更高的承载能力(< 0.05)。纤维增强研究组之间在抗断裂性方面无显著差异。关于生存分析期间的断裂模式,所有接受SFRC的标本均显示出主要为可修复型的断裂,而对照标本则呈现出主要为不可修复型的断裂。将可流动型SFRC用作大面积MOD直接修复体的增强桩核在断裂行为方面显示出有前景的成果。

https://cdn.ncbi.nlm.nih.gov/pmc/blobs/a73d/8271361/9e32a409a623/polymers-13-02040-g004.jpg
https://cdn.ncbi.nlm.nih.gov/pmc/blobs/a73d/8271361/3cc34a4bd999/polymers-13-02040-g001.jpg
https://cdn.ncbi.nlm.nih.gov/pmc/blobs/a73d/8271361/d70b68e51381/polymers-13-02040-g002.jpg
https://cdn.ncbi.nlm.nih.gov/pmc/blobs/a73d/8271361/259cb770948d/polymers-13-02040-g003.jpg
https://cdn.ncbi.nlm.nih.gov/pmc/blobs/a73d/8271361/9e32a409a623/polymers-13-02040-g004.jpg
https://cdn.ncbi.nlm.nih.gov/pmc/blobs/a73d/8271361/3cc34a4bd999/polymers-13-02040-g001.jpg
https://cdn.ncbi.nlm.nih.gov/pmc/blobs/a73d/8271361/d70b68e51381/polymers-13-02040-g002.jpg
https://cdn.ncbi.nlm.nih.gov/pmc/blobs/a73d/8271361/259cb770948d/polymers-13-02040-g003.jpg
https://cdn.ncbi.nlm.nih.gov/pmc/blobs/a73d/8271361/9e32a409a623/polymers-13-02040-g004.jpg

相似文献

1
Fracture Behavior of Short Fiber-Reinforced Direct Restorations in Large MOD Cavities.大型MOD洞形中短纤维增强直接修复体的断裂行为
Polymers (Basel). 2021 Jun 23;13(13):2040. doi: 10.3390/polym13132040.
2
Fatigue performance of endodontically treated premolars restored with direct and indirect cuspal coverage restorations utilizing fiber-reinforced cores.纤维增强核修复体对牙本质治疗的前磨牙进行直接和间接牙尖覆盖修复的疲劳性能。
Clin Oral Investig. 2022 Apr;26(4):3501-3513. doi: 10.1007/s00784-021-04319-3. Epub 2021 Nov 30.
3
Fatigue performance of endodontically treated molars restored with different dentin replacement materials.用不同牙本质替代材料修复的根管治疗后磨牙的疲劳性能。
Dent Mater. 2022 Apr;38(4):e83-e93. doi: 10.1016/j.dental.2022.02.007. Epub 2022 Feb 26.
4
Fracture behaviour of MOD restorations reinforced by various fibre-reinforced techniques - An in vitro study.各种纤维增强技术增强 MOD 修复体的断裂行为 - 一项体外研究。
J Mech Behav Biomed Mater. 2019 Oct;98:348-356. doi: 10.1016/j.jmbbm.2019.07.006. Epub 2019 Jul 9.
5
Fatigue performance of endodontically treated molars reinforced with different fiber systems.不同纤维系统增强根管治疗后磨牙的疲劳性能。
Clin Oral Investig. 2023 Jun;27(6):3211-3220. doi: 10.1007/s00784-023-04934-2. Epub 2023 Mar 2.
6
Fracture Resistance and Microleakage around Direct Restorations in High C-Factor Cavities.高C因子窝洞直接修复体周围的抗折性和微渗漏
Polymers (Basel). 2022 Aug 25;14(17):3463. doi: 10.3390/polym14173463.
7
Short-fiber Reinforced MOD Restorations of Molars with Severely Undermined Cusps.短纤维增强 MOD 修复磨牙严重牙尖下缺损。
J Adhes Dent. 2023 Apr 25;25:99-106. doi: 10.3290/j.jad.b4051477.
8
Fracture behavior of short fiber-reinforced CAD/CAM inlay restorations after cyclic fatigue aging.短纤维增强 CAD/CAM 嵌体修复体在循环疲劳老化后的断裂行为。
Odontology. 2024 Jan;112(1):138-147. doi: 10.1007/s10266-023-00815-y. Epub 2023 Apr 25.
9
In vitro fracture resistance of molar teeth restored with a short fibre-reinforced composite material.短纤维增强复合材料修复磨牙的体外抗折性
J Dent. 2014 Sep;42(9):1143-50. doi: 10.1016/j.jdent.2014.05.004. Epub 2014 May 21.
10
Fatigue behavior of endodontically treated premolars restored with different fiber-reinforced designs.不同纤维增强设计修复的根管治疗前磨牙的疲劳行为。
Dent Mater. 2021 Mar;37(3):391-402. doi: 10.1016/j.dental.2020.11.026. Epub 2021 Jan 19.

引用本文的文献

1
The Impact of Different Fiber Placement Techniques on the Fracture Resistance of Premolars Restored with Direct Resin Composite, In Vitro Study.不同纤维放置技术对直接树脂复合材料修复前磨牙抗折性的影响:体外研究
J Funct Biomater. 2025 Jun 17;16(6):225. doi: 10.3390/jfb16060225.
2
The Nanomechanical Performance and Water Uptake of a Flowable Short Fiber Composite: The Influence of Bulk and Layering Restorative Techniques.可流动短纤维复合材料的纳米力学性能与吸水性:整体修复技术和分层修复技术的影响
Polymers (Basel). 2025 Jun 2;17(11):1553. doi: 10.3390/polym17111553.
3
A comparative evaluation of commercially available short fiber-reinforced composites.

本文引用的文献

1
Influence of short-fiber composite base on fracture behavior of direct and indirect restorations.短纤维复合材料基底对直接和间接修复体断裂行为的影响。
Clin Oral Investig. 2021 Jul;25(7):4543-4552. doi: 10.1007/s00784-020-03768-6. Epub 2021 Jan 8.
2
Fatigue behavior of endodontically treated premolars restored with different fiber-reinforced designs.不同纤维增强设计修复的根管治疗前磨牙的疲劳行为。
Dent Mater. 2021 Mar;37(3):391-402. doi: 10.1016/j.dental.2020.11.026. Epub 2021 Jan 19.
3
Bilayered composite restoration: the effect of layer thickness on fracture behavior.
市售短纤维增强复合材料的比较评估。
BMC Oral Health. 2024 Dec 30;24(1):1573. doi: 10.1186/s12903-024-05267-6.
4
Fracture strength of direct occlusal veneers with different short fiber-reinforced composite cores and veneering materials: an in-vitro study.不同短纤维增强复合核材和饰面层直接贴面修复体的断裂强度:一项体外研究。
Clin Oral Investig. 2024 Nov 11;28(12):635. doi: 10.1007/s00784-024-06013-6.
5
Effect of Fiber-Reinforced Composite Placement Site on Fracture Resistance of Premolar Teeth: An in vitro Study.纤维增强复合材料放置部位对前磨牙抗折性的影响:一项体外研究。
Clin Cosmet Investig Dent. 2024 Jul 8;16:255-266. doi: 10.2147/CCIDE.S461134. eCollection 2024.
6
Effect of Long Glass Fiber Orientations or a Short-Fiber-Reinforced Composite on the Fracture Resistance of Endodontically Treated Premolars.长玻璃纤维取向或短纤维增强复合材料对根管治疗后前磨牙抗折性能的影响。
Polymers (Basel). 2024 May 4;16(9):1289. doi: 10.3390/polym16091289.
7
Optimizing fracture resistance of endodontically treated maxillary premolars restored with preheated thermos-viscous composite post-thermocycling, a comparative study. Part I.热循环后用预热热粘性复合桩修复的根管治疗上颌前磨牙抗折性能优化的比较研究。第一部分。
BMC Oral Health. 2024 Mar 2;24(1):295. doi: 10.1186/s12903-024-03959-7.
8
Fracture Resistance of Fiber-Reinforced Composite Restorations: A Systematic Review and Meta-Analysis.纤维增强复合材料修复体的抗折性:一项系统评价与Meta分析
Polymers (Basel). 2023 Sep 18;15(18):3802. doi: 10.3390/polym15183802.
9
Fracture Resistance of Class II MOD Cavities Restored by Direct and Indirect Techniques and Different Materials Combination.采用直接和间接技术及不同材料组合修复的Ⅱ类MOD洞型的抗折性能。
Polymers (Basel). 2023 Aug 15;15(16):3413. doi: 10.3390/polym15163413.
10
Systematic review fracture resistance of endodontically treated posterior teeth restored with fiber reinforced composites- a systematic review.系统评价纤维增强复合材料修复后牙根管治疗后牙的抗折裂性能——一项系统评价。
BMC Oral Health. 2023 Aug 13;23(1):566. doi: 10.1186/s12903-023-03217-2.
双层复合修复体:层厚对断裂行为的影响。
Biomater Investig Dent. 2020 Jun 2;7(1):80-85. doi: 10.1080/26415275.2020.1770094. eCollection 2020.
4
The effect of two composite placement techniques on fracture resistance of MOD restorations with various resin composites.两种复合树脂就位技术对采用不同树脂复合材料的MOD修复体抗折性的影响。
J Dent. 2020 Oct;101:103348. doi: 10.1016/j.jdent.2020.103348. Epub 2020 May 15.
5
Fatigue failure load of immature anterior teeth: influence of different fiber post-core systems.不成熟前牙疲劳失效载荷:不同纤维桩核系统的影响。
Odontology. 2021 Jan;109(1):222-230. doi: 10.1007/s10266-020-00522-y. Epub 2020 May 2.
6
Fracture behavior of Bi-structure fiber-reinforced composite restorations.双结构纤维增强复合修复体的断裂行为。
J Mech Behav Biomed Mater. 2020 Jan;101:103444. doi: 10.1016/j.jmbbm.2019.103444. Epub 2019 Sep 20.
7
Fracture behaviour of MOD restorations reinforced by various fibre-reinforced techniques - An in vitro study.各种纤维增强技术增强 MOD 修复体的断裂行为 - 一项体外研究。
J Mech Behav Biomed Mater. 2019 Oct;98:348-356. doi: 10.1016/j.jmbbm.2019.07.006. Epub 2019 Jul 9.
8
Fracture resistance and marginal gap formation of post-core restorations: influence of different fiber-reinforced composites.桩核修复的抗折裂性能和边缘间隙形成:不同纤维增强复合材料的影响。
Clin Oral Investig. 2020 Jan;24(1):265-276. doi: 10.1007/s00784-019-02902-3. Epub 2019 May 16.
9
[Paradigm shift in conservative dentistry: the end of the amalgam era].[保守牙科的范式转变:汞合金时代的终结]
Orv Hetil. 2018 Oct;159(42):1700-1709. doi: 10.1556/650.2018.31215.
10
In Vitro Fracture Resistance of Adhesively Restored Molar Teeth with Different MOD Cavity Dimensions.不同 MOD 洞型尺寸黏结修复后磨牙的体外抗折性能。
J Prosthodont. 2019 Jan;28(1):e325-e331. doi: 10.1111/jopr.12777. Epub 2018 Mar 5.