• 文献检索
  • 文档翻译
  • 深度研究
  • 学术资讯
  • Suppr Zotero 插件Zotero 插件
  • 邀请有礼
  • 套餐&价格
  • 历史记录
应用&插件
Suppr Zotero 插件Zotero 插件浏览器插件Mac 客户端Windows 客户端微信小程序
定价
高级版会员购买积分包购买API积分包
服务
文献检索文档翻译深度研究API 文档MCP 服务
关于我们
关于 Suppr公司介绍联系我们用户协议隐私条款
关注我们

Suppr 超能文献

核心技术专利:CN118964589B侵权必究
粤ICP备2023148730 号-1Suppr @ 2026

文献检索

告别复杂PubMed语法,用中文像聊天一样搜索,搜遍4000万医学文献。AI智能推荐,让科研检索更轻松。

立即免费搜索

文件翻译

保留排版,准确专业,支持PDF/Word/PPT等文件格式,支持 12+语言互译。

免费翻译文档

深度研究

AI帮你快速写综述,25分钟生成高质量综述,智能提取关键信息,辅助科研写作。

立即免费体验

白蛋白在水凝胶和硅水凝胶隐形眼镜表面起到润滑剂的作用。

Albumin Acts as a Lubricant on the Surface of Hydrogel and Silicone Hydrogel Contact Lenses.

作者信息

Su Chen-Ying, Yeh Lung-Kun, Fan Tzu-Wei, Lai Chi-Chun, Fang Hsu-Wei

机构信息

Department of Chemical Engineering and Biotechnology, National Taipei University of Technology, 1, Sec. 3, Zhongxiao E. Rd., Taipei 10608, Taiwan.

Department of Ophthalmology, Chang Gung Memorial Hospital, Linkou, No. 5, Fuxing St., Taoyuan 333, Taiwan.

出版信息

Polymers (Basel). 2021 Jun 23;13(13):2051. doi: 10.3390/polym13132051.

DOI:10.3390/polym13132051
PMID:34201543
原文链接:https://pmc.ncbi.nlm.nih.gov/articles/PMC8271981/
Abstract

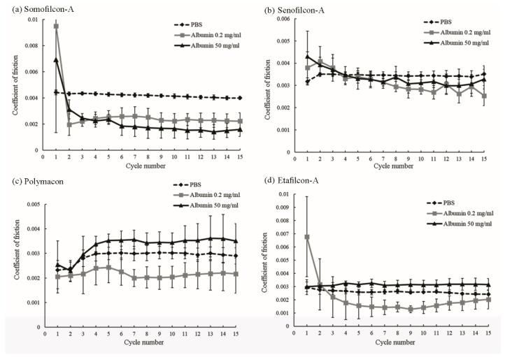
Feeling comfortable is the greatest concern for contact lens wearers, and it has been suggested that in vivo comfort could be corresponded to the in vitro friction coefficient of contact lenses. How tear albumin could affect the friction coefficient of silicone hydrogel and hydrogel contact lenses was analyzed by sliding a lens against a quartz glass in normal and extremely high concentration of albumin solution. Albumin deposition testing and surface roughness analysis were also conducted. The results showed that the friction coefficient of tested contact lenses did not correspond to both the albumin deposition amount and surface roughness, but we proposed a model of how albumin might act as a lubricant on the surface of some hydrogel and silicone hydrogel contact lenses. In conclusion, albumin provided lubrication for silicone hydrogel contact lenses regardless of albumin concentrations, while albumin only acted as a lubricant for hydrogel contact under normal concentration.

摘要

佩戴舒适是隐形眼镜佩戴者最为关心的问题,有人提出,体内舒适度可能与隐形眼镜的体外摩擦系数相关。通过在正常浓度和极高浓度的白蛋白溶液中使镜片与石英玻璃滑动摩擦,分析了泪液白蛋白如何影响硅水凝胶和水凝胶隐形眼镜的摩擦系数。还进行了白蛋白沉积测试和表面粗糙度分析。结果表明,受试隐形眼镜的摩擦系数与白蛋白沉积量和表面粗糙度均不相关,但我们提出了一个模型,说明白蛋白可能如何在某些水凝胶和硅水凝胶隐形眼镜表面起到润滑剂的作用。总之,无论白蛋白浓度如何,白蛋白都为硅水凝胶隐形眼镜提供润滑作用,而在正常浓度下,白蛋白仅对水凝胶隐形眼镜起到润滑作用。

https://cdn.ncbi.nlm.nih.gov/pmc/blobs/b579/8271981/423303eb5aed/polymers-13-02051-g005.jpg
https://cdn.ncbi.nlm.nih.gov/pmc/blobs/b579/8271981/ea8b64d48435/polymers-13-02051-g001.jpg
https://cdn.ncbi.nlm.nih.gov/pmc/blobs/b579/8271981/0b0c8e7f7ac8/polymers-13-02051-g002.jpg
https://cdn.ncbi.nlm.nih.gov/pmc/blobs/b579/8271981/55854fae5e1f/polymers-13-02051-g003.jpg
https://cdn.ncbi.nlm.nih.gov/pmc/blobs/b579/8271981/c601661bf9b1/polymers-13-02051-g004.jpg
https://cdn.ncbi.nlm.nih.gov/pmc/blobs/b579/8271981/423303eb5aed/polymers-13-02051-g005.jpg
https://cdn.ncbi.nlm.nih.gov/pmc/blobs/b579/8271981/ea8b64d48435/polymers-13-02051-g001.jpg
https://cdn.ncbi.nlm.nih.gov/pmc/blobs/b579/8271981/0b0c8e7f7ac8/polymers-13-02051-g002.jpg
https://cdn.ncbi.nlm.nih.gov/pmc/blobs/b579/8271981/55854fae5e1f/polymers-13-02051-g003.jpg
https://cdn.ncbi.nlm.nih.gov/pmc/blobs/b579/8271981/c601661bf9b1/polymers-13-02051-g004.jpg
https://cdn.ncbi.nlm.nih.gov/pmc/blobs/b579/8271981/423303eb5aed/polymers-13-02051-g005.jpg

相似文献

1
Albumin Acts as a Lubricant on the Surface of Hydrogel and Silicone Hydrogel Contact Lenses.白蛋白在水凝胶和硅水凝胶隐形眼镜表面起到润滑剂的作用。
Polymers (Basel). 2021 Jun 23;13(13):2051. doi: 10.3390/polym13132051.
2
Effects of lysosomal deposition on the friction coefficient of hydrogel contact lenses.溶酶体沉积对水凝胶隐形眼镜摩擦系数的影响。
Cont Lens Anterior Eye. 2020 Apr;43(2):144-148. doi: 10.1016/j.clae.2019.09.007. Epub 2019 Oct 15.
3
The effect of albumin and cholesterol on the biotribological behavior of hydrogels for contact lenses.白蛋白和胆固醇对隐形眼镜水凝胶生物摩擦学行为的影响。
Acta Biomater. 2015 Oct;26:184-94. doi: 10.1016/j.actbio.2015.08.011. Epub 2015 Aug 13.
4
Friction Measurements on Contact Lenses in a Physiologically Relevant Environment: Effect of Testing Conditions on Friction.在生理相关环境中对隐形眼镜的摩擦测量:测试条件对摩擦的影响
Invest Ophthalmol Vis Sci. 2016 Oct 1;57(13):5383-5392. doi: 10.1167/iovs.16-19713.
5
Proteoglycan 4 and hyaluronan as boundary lubricants for model contact lens hydrogels.蛋白聚糖 4 和透明质酸作为模型接触镜水凝胶的边界润滑剂。
J Biomed Mater Res B Appl Biomater. 2018 Apr;106(3):1329-1338. doi: 10.1002/jbm.b.33895. Epub 2017 Jul 7.
6
In Vitro Spoilation of Silicone-Hydrogel Soft Contact Lenses in a Model-Blink Cell.硅水凝胶软性接触镜在模型眨眼细胞中的体外变质
Optom Vis Sci. 2015 Jul;92(7):768-80. doi: 10.1097/OPX.0000000000000625.
7
Conditioning of hydrogel lenses by a multipurpose solution containing an ocular lubricant.使用含有眼部润滑剂的多功能护理液对水凝胶镜片进行护理。
CLAO J. 2001 Oct;27(4):192-4.
8
A comparative study of biweekly disposable contact lenses: silicone hydrogel versus hydrogel.双周抛隐形眼镜的比较研究:硅水凝胶与水凝胶对比
Clin Exp Optom. 2007 Mar;90(2):124-31. doi: 10.1111/j.1444-0938.2006.00107.x.
9
Hydrogel lens comfort in challenging environments and the effect of refitting with silicone hydrogel lenses.水凝胶镜片在具有挑战性环境中的舒适度以及改用硅水凝胶镜片的效果。
Optom Vis Sci. 2007 Apr;84(4):302-8. doi: 10.1097/OPX.0b013e318042af0c.
10
Compatibility of phospholipid liposomal spray with silicone hydrogel contact lens wear.磷脂脂质体喷雾剂与硅水凝胶隐形眼镜佩戴的兼容性。
Cont Lens Anterior Eye. 2017 Feb;40(1):53-58. doi: 10.1016/j.clae.2016.11.002. Epub 2016 Nov 28.

引用本文的文献

1
Contact lens as an emerging platform for ophthalmic drug delivery: A systematic review.隐形眼镜作为眼科药物递送的新兴平台:一项系统评价。
Asian J Pharm Sci. 2023 Sep;18(5):100847. doi: 10.1016/j.ajps.2023.100847. Epub 2023 Sep 27.
2
Biomimetic-Engineered Silicone Hydrogel Contact Lens Materials.仿生工程硅胶水凝胶隐形眼镜材料。
ACS Appl Bio Mater. 2023 Sep 18;6(9):3600-3616. doi: 10.1021/acsabm.3c00296. Epub 2023 Aug 24.

本文引用的文献

1
Correlation between Tribological Properties and the Quantified Structural Changes of Lysozyme on Poly (2-hydroxyethyl methacrylate) Contact Lens.聚(甲基丙烯酸2-羟乙酯)隐形眼镜上溶菌酶的摩擦学性能与定量结构变化之间的相关性
Polymers (Basel). 2020 Jul 23;12(8):1639. doi: 10.3390/polym12081639.
2
Silicone hydrogel daily disposable benefits: The evidence.硅水凝胶日抛的益处:证据。
Cont Lens Anterior Eye. 2020 Jun;43(3):298-307. doi: 10.1016/j.clae.2020.02.001. Epub 2020 Feb 22.
3
Effects of lysosomal deposition on the friction coefficient of hydrogel contact lenses.
溶酶体沉积对水凝胶隐形眼镜摩擦系数的影响。
Cont Lens Anterior Eye. 2020 Apr;43(2):144-148. doi: 10.1016/j.clae.2019.09.007. Epub 2019 Oct 15.
4
The characteristics of a preservative-free contact lens care solution on lysozyme adsorption and interfacial friction behavior.无防腐剂接触镜护理液对溶菌酶吸附和界面摩擦行为的影响特征。
Colloids Surf B Biointerfaces. 2018 Nov 1;171:538-543. doi: 10.1016/j.colsurfb.2018.07.076. Epub 2018 Aug 3.
5
Characterization and quantitation of PVP content in a silicone hydrogel contact lens produced by dual-phase polymerization processing.双相聚合工艺生产的硅水凝胶隐形眼镜中 PVP 含量的表征与定量。
J Biomed Mater Res B Appl Biomater. 2018 Apr;106(3):1064-1072. doi: 10.1002/jbm.b.33904. Epub 2017 May 15.
6
Influence of Tear Protein Deposition on the Oxygen Permeability of Soft Contact Lenses.泪液蛋白质沉积对软性接触镜透氧性的影响。
J Ophthalmol. 2017;2017:5131764. doi: 10.1155/2017/5131764. Epub 2017 Feb 9.
7
Friction Measurements on Contact Lenses in a Physiologically Relevant Environment: Effect of Testing Conditions on Friction.在生理相关环境中对隐形眼镜的摩擦测量:测试条件对摩擦的影响
Invest Ophthalmol Vis Sci. 2016 Oct 1;57(13):5383-5392. doi: 10.1167/iovs.16-19713.
8
Treatment of severe ocular surface disorders with albumin eye drops.用白蛋白滴眼液治疗严重眼表疾病。
J Ocul Pharmacol Ther. 2015 Jun;31(5):291-5. doi: 10.1089/jop.2014.0161. Epub 2015 Apr 8.
9
The TFOS International Workshop on Contact Lens Discomfort: report of the contact lens materials, design, and care subcommittee.TFOS隐形眼镜不适国际研讨会:隐形眼镜材料、设计与护理小组委员会报告
Invest Ophthalmol Vis Sci. 2013 Oct 18;54(11):TFOS37-70. doi: 10.1167/iovs.13-13215.
10
The fall and rise of tear albumin levels: a multifactorial phenomenon.泪液白蛋白水平的下降与上升:一种多因素现象。
Ocul Surf. 2013 Jul;11(3):165-80. doi: 10.1016/j.jtos.2013.03.001. Epub 2013 May 1.