Department of Biochemistry, Faculty of Veterinary Medicine, Damanhour University, Damanhour 22511, Egypt.
Department of Histology, Faculty of Veterinary Medicine, Zagazig University, Zagazig 44519, Egypt.
Int J Mol Sci. 2021 Jun 25;22(13):6839. doi: 10.3390/ijms22136839.
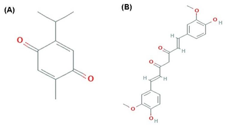
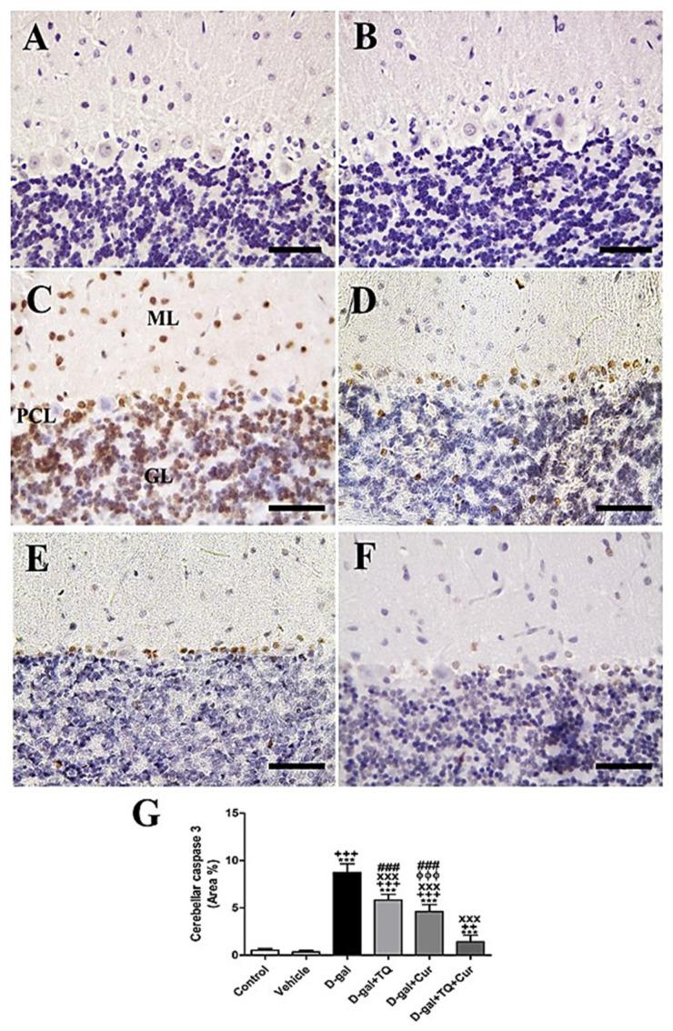
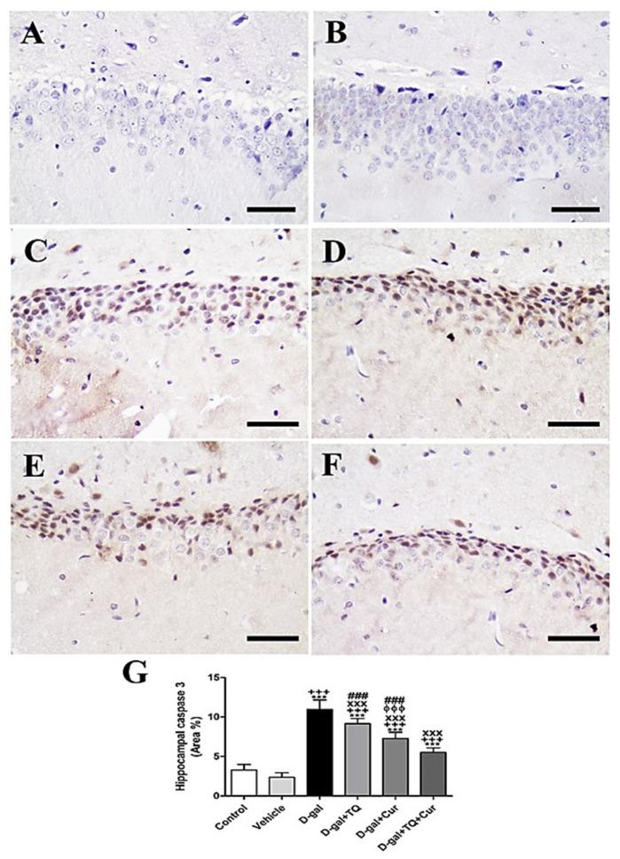
D-galactose (D-gal) administration causes oxidative disorder and is widely utilized in aging animal models. Therefore, we subcutaneously injected D-gal at 200 mg/kg BW dose to assess the potential preventive effect of thymoquinone (TQ) and curcumin (Cur) against the oxidative alterations induced by D-gal. Other than the control, vehicle, and D-gal groups, the TQ and Cur treated groups were orally supplemented at 20 mg/kg BW of each alone or combined. TQ and Cur effectively suppressed the oxidative alterations induced by D-gal in brain and heart tissues. The TQ and Cur combination significantly decreased the elevated necrosis in the brain and heart by D-gal. It significantly reduced brain caspase 3, calbindin, and calcium-binding adapter molecule 1 (IBA1), heart caspase 3, and BCL2. Expression of mRNA of the brain and heart , , , and were significantly downregulated in the TQ and Cur combination group along with upregulation of in comparison with the D-gal group. Data suggested that the TQ and Cur combination is a promising approach in aging prevention.
半乳糖(D-gal)给药会导致氧化紊乱,并且广泛用于衰老动物模型。因此,我们以 200mg/kgBW 的剂量皮下注射 D-gal,以评估胸腺醌(TQ)和姜黄素(Cur)对 D-gal 诱导的氧化改变的潜在预防作用。除了对照组、载体组和 D-gal 组之外,TQ 和 Cur 处理组分别以 20mg/kgBW 的剂量单独或联合口服补充。TQ 和 Cur 有效抑制了 D-gal 在脑组织和心脏组织中引起的氧化改变。TQ 和 Cur 的联合使用显著降低了 D-gal 引起的大脑和心脏的坏死。它还显著降低了大脑中的半胱氨酸天冬氨酸蛋白酶 3(caspase 3)、钙结合蛋白(calbindin)和钙结合接头蛋白 1(IBA1)以及心脏中的 caspase 3 和 BCL2 的表达。与 D-gal 组相比,TQ 和 Cur 联合组大脑和心脏中 、 、 、 和 的 mRNA 表达显著下调,而 的表达上调。数据表明,TQ 和 Cur 的联合使用是一种有前途的抗衰老方法。