Suppr超能文献

植物能像动物一样移动吗?植物运动的三维立体视觉分析

Can Plants Move Like Animals? A Three-Dimensional Stereovision Analysis of Movement in Plants.

作者信息

Simonetti Valentina, Bulgheroni Maria, Guerra Silvia, Peressotti Alessandro, Peressotti Francesca, Baccinelli Walter, Ceccarini Francesco, Bonato Bianca, Wang Qiuran, Castiello Umberto

机构信息

Ab.Acus srl, 20155 Milan, Italy.

Dipartimento di Psicologia Generale, Università di Padova, 35131 Padova, Italy.

出版信息

Animals (Basel). 2021 Jun 22;11(7):1854. doi: 10.3390/ani11071854.

Abstract

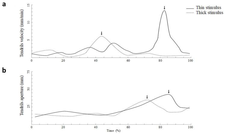
In this article we adapt a methodology customarily used to investigate movement in animals to study the movement of plants. The targeted movement is circumnutation, a helical organ movement widespread among plants. It is variable due to a different magnitude of the trajectory (amplitude) exhibited by the organ tip, duration of one cycle (period), circular, elliptical, pendulum-like or irregular shape and the clockwise and counterclockwise direction of rotation. The acquisition setup consists of two cameras used to obtain a stereoscopic vision for each plant. Cameras switch to infrared recording mode for low light level conditions, allowing continuous motion acquisition during the night. A dedicated software enables semi-automatic tracking of key points of the plant and reconstructs the 3D trajectory of each point along the whole movement. Three-dimensional trajectories for different points undergo a specific processing to compute those features suitable to describe circumnutation (e.g., maximum speed, circumnutation center, circumnutation length, etc.). By applying our method to the approach-to-grasp movement exhibited by climbing plants ( L.) it appears clear that the plants scale movement kinematics according to the features of the support in ways that are adaptive, flexible, anticipatory and goal-directed, reminiscent of how animals would act.

摘要

在本文中,我们采用一种通常用于研究动物运动的方法来研究植物的运动。目标运动是回旋转头运动,这是一种在植物中广泛存在的螺旋状器官运动。它具有变异性,这是由于器官尖端所展示的轨迹幅度(振幅)大小不同、一个周期的持续时间(周期)、圆形、椭圆形、钟摆状或不规则形状以及顺时针和逆时针旋转方向所致。采集装置由两台相机组成,用于获取每株植物的立体视觉。在低光照条件下,相机会切换到红外记录模式,从而能够在夜间进行连续的运动采集。一款专用软件能够对植物的关键点进行半自动跟踪,并重建每个点在整个运动过程中的三维轨迹。对不同点的三维轨迹进行特定处理,以计算出那些适合描述回旋转头运动的特征(例如,最大速度、回旋转头中心、回旋转头长度等)。通过将我们的方法应用于攀缘植物( )所展示的接近抓取运动中,可以明显看出,植物会根据支撑物的特征来调整运动运动学,其方式具有适应性、灵活性、前瞻性和目标导向性,这让人联想到动物的行为方式。

https://cdn.ncbi.nlm.nih.gov/pmc/blobs/2e59/8300309/b67759df2bf1/animals-11-01854-g001.jpg

文献AI研究员

20分钟写一篇综述,助力文献阅读效率提升50倍。

立即体验

用中文搜PubMed

大模型驱动的PubMed中文搜索引擎

马上搜索

文档翻译

学术文献翻译模型,支持多种主流文档格式。

立即体验