Suppr超能文献

高强度间歇运动对骑行及等速向心和离心运动期间骨骼肌及脑氧合的影响。

The Effects of High-Intensity Interval Exercise on Skeletal Muscle and Cerebral Oxygenation during Cycling and Isokinetic Concentric and Eccentric Exercise.

作者信息

Perentis Panagiotis A, Cherouveim Evgenia D, Malliou Vassiliki J, Margaritelis Nikos V, Chatzinikolaou Panagiotis N, Koulouvaris Panayiotis, Tsolakis Charilaos, Nikolaidis Michalis G, Geladas Nickos D, Paschalis Vassilis

机构信息

School of Physical Education and Sport Science, National and Kapodistrian University of Athens, 17237 Athens, Greece.

Sports Excellence, 1st Orthopedics Department, School of Health Sciences, National and Kapodistrian University of Athens, 17237 Athens, Greece.

出版信息

J Funct Morphol Kinesiol. 2021 Jul 16;6(3):62. doi: 10.3390/jfmk6030062.

Abstract

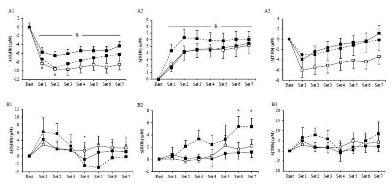
The aim of the present study was to study the effects of cycling and pure concentric and pure eccentric high-intensity interval exercise (HIIE) on skeletal muscle (i.e., vastus lateralis) and cerebral oxygenation. Twelve healthy males (n = 12, age 26 ± 1 yr, body mass 78 ± 2 kg, height 176 ± 2 cm, body fat 17 ± 1% of body mass) performed, in a random order, cycling exercise and isokinetic concentric and eccentric exercise. The isokinetic exercises were performed on each randomly selected leg. The muscle and the cerebral oxygenation were assessed by measuring oxyhemoglobin, deoxyhemoglobin, total hemoglobin, and tissue saturation index. During the cycling exercise, participants performed seven sets of seven seconds maximal intensity using a load equal to 7.5% of their body mass while, during isokinetic concentric and eccentric exercise, they were performed seven sets of five maximal muscle contractions. In all conditions, a 15 s rest was adopted between sets. The cycling HIIE caused greater fatigue (i.e., greater decline in fatigue index) compared to pure concentric and pure eccentric isokinetic exercise. Muscle oxygenation was significantly reduced during HIIE in the three exercise modes, with no difference between them. Cerebral oxygenation was affected only marginally during cycling exercise, while no difference was observed between conditions. It is concluded that a greater volume of either concentric or eccentric isokinetic maximal intensity exercise is needed to cause exhaustion which, in turn, may cause greater alterations in skeletal muscle and cerebral oxygenation.

摘要

本研究的目的是探讨骑行以及单纯的向心和离心高强度间歇运动(HIIE)对骨骼肌(即股外侧肌)和脑氧合的影响。12名健康男性(n = 12,年龄26±1岁,体重78±2 kg,身高176±2 cm,体脂占体重的17±1%)以随机顺序进行骑行运动以及等速向心和离心运动。等速运动在每条随机选择的腿上进行。通过测量氧合血红蛋白、脱氧血红蛋白、总血红蛋白和组织饱和度指数来评估肌肉和脑氧合。在骑行运动中,参与者使用相当于其体重7.5%的负荷进行7组,每组7秒的最大强度运动,而在等速向心和离心运动中,他们进行7组,每组5次最大肌肉收缩。在所有情况下,组间休息15秒。与单纯的向心和离心等速运动相比,骑行HIIE导致更大的疲劳(即疲劳指数下降更大)。在三种运动模式的HIIE期间,肌肉氧合均显著降低,且三者之间无差异。在骑行运动期间,脑氧合仅受到轻微影响,各条件之间未观察到差异。得出的结论是,需要进行更大运动量的向心或离心等速最大强度运动才能导致疲劳,而这反过来可能会引起骨骼肌和脑氧合的更大变化。

https://cdn.ncbi.nlm.nih.gov/pmc/blobs/f5f4/8293372/717b8b4278e9/jfmk-06-00062-g001.jpg

文献AI研究员

20分钟写一篇综述,助力文献阅读效率提升50倍。

立即体验

用中文搜PubMed

大模型驱动的PubMed中文搜索引擎

马上搜索

文档翻译

学术文献翻译模型,支持多种主流文档格式。

立即体验