• 文献检索
  • 文档翻译
  • 深度研究
  • 学术资讯
  • Suppr Zotero 插件Zotero 插件
  • 邀请有礼
  • 套餐&价格
  • 历史记录
应用&插件
Suppr Zotero 插件Zotero 插件浏览器插件Mac 客户端Windows 客户端微信小程序
定价
高级版会员购买积分包购买API积分包
服务
文献检索文档翻译深度研究API 文档MCP 服务
关于我们
关于 Suppr公司介绍联系我们用户协议隐私条款
关注我们

Suppr 超能文献

核心技术专利:CN118964589B侵权必究
粤ICP备2023148730 号-1Suppr @ 2026

文献检索

告别复杂PubMed语法,用中文像聊天一样搜索,搜遍4000万医学文献。AI智能推荐,让科研检索更轻松。

立即免费搜索

文件翻译

保留排版,准确专业,支持PDF/Word/PPT等文件格式,支持 12+语言互译。

免费翻译文档

深度研究

AI帮你快速写综述,25分钟生成高质量综述,智能提取关键信息,辅助科研写作。

立即免费体验

应对气候变化给生物多样性带来的风险:肯尼亚塔纳河流域生态系统恢复的必要性。

Addressing risks to biodiversity arising from a changing climate: The need for ecosystem restoration in the Tana River Basin, Kenya.

机构信息

School of Environmental Sciences, University of East Anglia, Norwich, United Kingdom.

Tyndall Centre for Climate Change Research, University of East Anglia, Norwich, United Kingdom.

出版信息

PLoS One. 2021 Jul 21;16(7):e0254879. doi: 10.1371/journal.pone.0254879. eCollection 2021.

DOI:10.1371/journal.pone.0254879
PMID:34288974
原文链接:https://pmc.ncbi.nlm.nih.gov/articles/PMC8294490/
Abstract

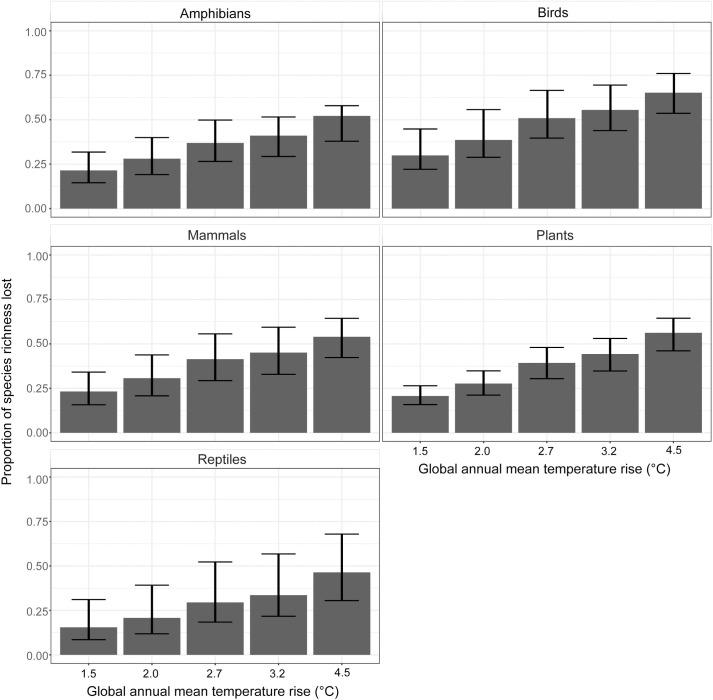
Climate change is projected to have significant effects on the distribution of species globally, but research into the implications in parts of Africa has been limited. Using species distribution modelling, this study models climate change-related risks to the terrestrial biodiversity (birds, mammals, reptiles, amphibians and plants) of Kenya's economically-important and ecologically diverse Tana River Basin. Large reductions in species richness are projected with just 2°C warming (relative to preindustrial levels) with birds and plants seeing the greatest impact. Potential climate refugia for biodiversity are identified within the basin, but often overlap with areas already converted to agriculture or set aside for agricultural expansion, and the majority are outside protected areas. Similarly, some protected areas contain no projected refugia at higher levels of global warming, showing they may be insufficient to protect the basin's biodiversity as climate changes. However, risks to biodiversity are much smaller if the Paris Agreement's goal of limiting global warming to 'well below 2°C' warming, rather than 2°C only, is met. The potential for refugia for plants and animals decreases strongly with warming. For example, 82% of the basin remaining climatically suitable for at least 75% of the plants currently present at 1.5°C warming, as compared with 23% at 2°C and 3% at 4.5°C. This research provides the first assessment of the combined effects of development plans and climate change on biodiversity of the Tana River Basin, including identifying potential areas for restoration, and contributes to a greater understanding of biodiversity protection and adaptation options in Kenya.

摘要

气候变化预计将对全球物种分布产生重大影响,但对非洲部分地区的影响研究一直有限。本研究利用物种分布模型,对肯尼亚具有经济重要性和生态多样性的塔纳河流域的陆地生物多样性(鸟类、哺乳动物、爬行动物、两栖动物和植物)与气候变化相关的风险进行建模。与工业化前水平相比,仅升温 2°C 就预计会导致物种丰富度大幅减少,鸟类和植物受到的影响最大。在流域内确定了生物多样性的潜在气候避难所,但这些避难所往往与已经转为农业或预留用于农业扩张的地区重叠,而且大多数都在保护区之外。同样,一些保护区在更高水平的全球变暖下没有预测到避难所,这表明随着气候变化,它们可能不足以保护该流域的生物多样性。然而,如果《巴黎协定》的目标是将全球变暖限制在“远低于 2°C”,而不仅仅是 2°C,那么对生物多样性的风险就会小得多。随着变暖,动植物的避难所潜力会强烈下降。例如,与 2°C 相比,在 1.5°C 变暖时,盆地仍有 82%的气候适合目前存在的植物的 75%以上,而在 2°C 时为 23%,在 4.5°C 时为 3%。这项研究首次评估了发展计划和气候变化对塔纳河流域生物多样性的综合影响,包括确定潜在的恢复区域,并有助于更好地了解肯尼亚的生物多样性保护和适应选择。

https://cdn.ncbi.nlm.nih.gov/pmc/blobs/ad66/8294490/12dc5e433a4f/pone.0254879.g006.jpg
https://cdn.ncbi.nlm.nih.gov/pmc/blobs/ad66/8294490/c260aeb89322/pone.0254879.g001.jpg
https://cdn.ncbi.nlm.nih.gov/pmc/blobs/ad66/8294490/8b5cae9819aa/pone.0254879.g002.jpg
https://cdn.ncbi.nlm.nih.gov/pmc/blobs/ad66/8294490/d6c3741d2e7c/pone.0254879.g003.jpg
https://cdn.ncbi.nlm.nih.gov/pmc/blobs/ad66/8294490/0bbcc7d1b334/pone.0254879.g004.jpg
https://cdn.ncbi.nlm.nih.gov/pmc/blobs/ad66/8294490/0e9f7f80fb5b/pone.0254879.g005.jpg
https://cdn.ncbi.nlm.nih.gov/pmc/blobs/ad66/8294490/12dc5e433a4f/pone.0254879.g006.jpg
https://cdn.ncbi.nlm.nih.gov/pmc/blobs/ad66/8294490/c260aeb89322/pone.0254879.g001.jpg
https://cdn.ncbi.nlm.nih.gov/pmc/blobs/ad66/8294490/8b5cae9819aa/pone.0254879.g002.jpg
https://cdn.ncbi.nlm.nih.gov/pmc/blobs/ad66/8294490/d6c3741d2e7c/pone.0254879.g003.jpg
https://cdn.ncbi.nlm.nih.gov/pmc/blobs/ad66/8294490/0bbcc7d1b334/pone.0254879.g004.jpg
https://cdn.ncbi.nlm.nih.gov/pmc/blobs/ad66/8294490/0e9f7f80fb5b/pone.0254879.g005.jpg
https://cdn.ncbi.nlm.nih.gov/pmc/blobs/ad66/8294490/12dc5e433a4f/pone.0254879.g006.jpg

相似文献

1
Addressing risks to biodiversity arising from a changing climate: The need for ecosystem restoration in the Tana River Basin, Kenya.应对气候变化给生物多样性带来的风险:肯尼亚塔纳河流域生态系统恢复的必要性。
PLoS One. 2021 Jul 21;16(7):e0254879. doi: 10.1371/journal.pone.0254879. eCollection 2021.
2
Maximizing the effectiveness of national commitments to protected area expansion for conserving biodiversity and ecosystem carbon under climate change.最大限度地提高国家扩大保护区以保护生物多样性和应对气候变化的生态系统碳储量的承诺的有效性。
Glob Chang Biol. 2021 Aug;27(15):3395-3414. doi: 10.1111/gcb.15645. Epub 2021 May 10.
3
Riparian areas as a conservation priority under climate change.河岸带地区作为应对气候变化的优先保护目标。
Sci Total Environ. 2023 Feb 1;858(Pt 2):159879. doi: 10.1016/j.scitotenv.2022.159879. Epub 2022 Nov 2.
4
Terrestrial biodiversity threatened by increasing global aridity velocity under high-level warming.在高水平变暖下,不断增加的全球干旱速度威胁着陆地生物多样性。
Proc Natl Acad Sci U S A. 2021 Sep 7;118(36). doi: 10.1073/pnas.2015552118.
5
Kenya.肯尼亚。
Mar Pollut Bull. 2001 Dec;42(12):1264-78. doi: 10.1016/s0025-326x(01)00241-7.
6
Model uncertainties do not affect observed patterns of species richness in the Amazon.模型的不确定性不会影响亚马逊地区物种丰富度的观测模式。
PLoS One. 2017 Oct 12;12(10):e0183785. doi: 10.1371/journal.pone.0183785. eCollection 2017.
7
Impacts of Dams and Global Warming on Fish Biodiversity in the Indo-Burma Hotspot.水坝和全球变暖对印缅生物多样性热点地区鱼类生物多样性的影响。
PLoS One. 2016 Aug 17;11(8):e0160151. doi: 10.1371/journal.pone.0160151. eCollection 2016.
8
Climate change: The 2015 Paris Agreement thresholds and Mediterranean basin ecosystems.气候变化:2015 年《巴黎协定》的门槛与地中海盆地生态系统。
Science. 2016 Oct 28;354(6311):465-468. doi: 10.1126/science.aah5015. Epub 2016 Oct 27.
9
Continental impacts of water development on waterbirds, contrasting two Australian river basins: Global implications for sustainable water use.大陆水利工程对水鸟的影响,对比两个澳大利亚流域:可持续用水的全球意义。
Glob Chang Biol. 2017 Nov;23(11):4958-4969. doi: 10.1111/gcb.13743. Epub 2017 Jun 4.
10
Future water security in the major basins of China under the 1.5 °C and 2.0 °C global warming scenarios.1.5°C 和 2.0°C 全球变暖情景下中国主要流域未来的水安全状况
Sci Total Environ. 2022 Nov 25;849:157928. doi: 10.1016/j.scitotenv.2022.157928. Epub 2022 Aug 8.

引用本文的文献

1
The performance of partially substituted composite ester materials with weathered red-bed soil in ecological restoration.风化红层土部分替代型复合酯材料在生态修复中的性能。
PLoS One. 2024 Apr 3;19(4):e0299323. doi: 10.1371/journal.pone.0299323. eCollection 2024.
2
Analysis of the Low-Carbon Transition Effect and Development Pattern of Green Credit for Prefecture-Level Cities in the Yellow River Basin.黄河流域地级城市绿色信贷低碳转型效应及发展模式分析。
Int J Environ Res Public Health. 2023 Mar 6;20(5):4658. doi: 10.3390/ijerph20054658.

本文引用的文献

1
Quantifying the impacts of defaunation on natural forest regeneration in a global meta-analysis.量化除动物对全球元分析中自然森林更新的影响。
Nat Commun. 2019 Oct 14;10(1):4590. doi: 10.1038/s41467-019-12539-1.
2
Standards for distribution models in biodiversity assessments.生物多样性评估中分布模型的标准。
Sci Adv. 2019 Jan 16;5(1):eaat4858. doi: 10.1126/sciadv.aat4858. eCollection 2019 Jan.
3
Rapid warming is associated with population decline among terrestrial birds and mammals globally.全球范围内,快速升温与陆生鸟类和哺乳动物的数量减少有关。
Glob Chang Biol. 2018 Oct;24(10):4521-4531. doi: 10.1111/gcb.14361. Epub 2018 Jul 22.
4
Future effects of climate and land-use change on terrestrial vertebrate community diversity under different scenarios.不同情景下气候和土地利用变化对陆地脊椎动物群落多样性的未来影响。
Proc Biol Sci. 2018 Jun 27;285(1881). doi: 10.1098/rspb.2018.0792.
5
The projected effect on insects, vertebrates, and plants of limiting global warming to 1.5°C rather than 2°C.将全球变暖限制在 1.5°C 而不是 2°C,对昆虫、脊椎动物和植物的预计影响。
Science. 2018 May 18;360(6390):791-795. doi: 10.1126/science.aar3646.
6
The importance of vegetation density for tourists' wildlife viewing experience and satisfaction in African savannah ecosystems.植被密度对游客在非洲稀树草原生态系统中观赏野生动物的体验和满意度的重要性。
PLoS One. 2017 Sep 28;12(9):e0185793. doi: 10.1371/journal.pone.0185793. eCollection 2017.
7
Conservation performance of different conservation governance regimes in the Peruvian Amazon.秘鲁亚马孙地区不同保护治理机制的保护绩效。
Sci Rep. 2017 Sep 12;7(1):11318. doi: 10.1038/s41598-017-10736-w.
8
Estimated Effects of Future Atmospheric CO2 Concentrations on Protein Intake and the Risk of Protein Deficiency by Country and Region.按国家和地区估算未来大气二氧化碳浓度对蛋白质摄入量及蛋白质缺乏风险的影响。
Environ Health Perspect. 2017 Aug 2;125(8):087002. doi: 10.1289/EHP41.
9
Sensitivity of UK butterflies to local climatic extremes: which life stages are most at risk?英国蝴蝶对当地极端气候的敏感性:哪些生命阶段风险最大?
J Anim Ecol. 2017 Jan;86(1):108-116. doi: 10.1111/1365-2656.12594. Epub 2016 Oct 31.
10
Local biodiversity is higher inside than outside terrestrial protected areas worldwide.全球范围内,陆地保护区内的本地生物多样性高于保护区外。
Nat Commun. 2016 Jul 28;7:12306. doi: 10.1038/ncomms12306.