• 文献检索
  • 文档翻译
  • 深度研究
  • 学术资讯
  • Suppr Zotero 插件Zotero 插件
  • 邀请有礼
  • 套餐&价格
  • 历史记录
应用&插件
Suppr Zotero 插件Zotero 插件浏览器插件Mac 客户端Windows 客户端微信小程序
定价
高级版会员购买积分包购买API积分包
服务
文献检索文档翻译深度研究API 文档MCP 服务
关于我们
关于 Suppr公司介绍联系我们用户协议隐私条款
关注我们

Suppr 超能文献

核心技术专利:CN118964589B侵权必究
粤ICP备2023148730 号-1Suppr @ 2026

文献检索

告别复杂PubMed语法,用中文像聊天一样搜索,搜遍4000万医学文献。AI智能推荐,让科研检索更轻松。

立即免费搜索

文件翻译

保留排版,准确专业,支持PDF/Word/PPT等文件格式,支持 12+语言互译。

免费翻译文档

深度研究

AI帮你快速写综述,25分钟生成高质量综述,智能提取关键信息,辅助科研写作。

立即免费体验

新型冠状病毒肺炎患者的 QTc 间期延长、炎症与死亡率。

QTc interval prolongation, inflammation, and mortality in patients with COVID-19.

机构信息

Arrhythmia Unit and Electrophysiology Laboratories, IRCCS San Raffaele Scientific Institute, Milan, Italy.

IRCCS San Raffaele Scientific Institute, Vita-Salute University, Milan, Italy.

出版信息

J Interv Card Electrophysiol. 2022 Mar;63(2):441-448. doi: 10.1007/s10840-021-01033-8. Epub 2021 Jul 22.

DOI:10.1007/s10840-021-01033-8
PMID:34291390
原文链接:https://pmc.ncbi.nlm.nih.gov/articles/PMC8295006/
Abstract

PURPOSE

Systemic inflammation has been associated with corrected QT (QTc) interval prolongation. The role of inflammation on QTc prolongation in COVID-19 patients was investigated.

METHODS

Patients with a laboratory-confirmed SARS-CoV-2 infection admitted to IRCCS San Raffaele Scientific Institute (Milan, Italy) between March 14, 2020, and March 30, 2020 were included. QTc-I was defined as the QTc interval by Bazett formula in the first ECG performed during the hospitalization, before any new drug treatment; QTc-II was the QTc in the ECG performed after the initiation of hydroxychloroquine drug treatment.

RESULTS

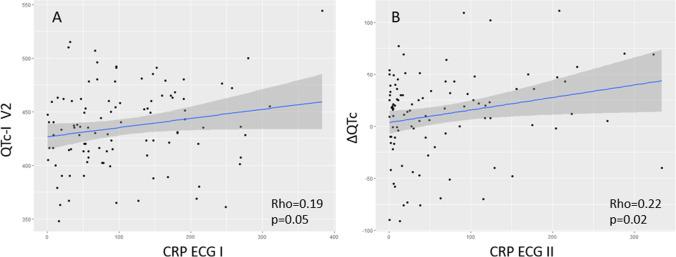
QTc-I was long in 45 patients (45%) and normal in 55 patients (55%). Patients with long QTc-I were older and more frequently males. C-Reactive protein (CRP) and white blood cell (WBC) count at hospitalization were higher in patients with long QTc-I and long QTc-II. QTc-I was significantly correlated with CRP levels at hospitalization. After a median follow-up of 83 days, 14 patients (14%) died. There were no deaths attributed to ventricular arrhythmias. Patients with long QTc-I and long QTc-II had a shorter survival, compared with normal QTc-I and QTc-II patients, respectively. In Cox multivariate analysis, independent predictors of mortality were age (HR = 1.1, CI 95% 1.04-1.18, p = 0.002) and CRP at ECG II (HR 1.1, CI 95% 1.0-1.1, p = 0.02).

CONCLUSIONS

QTc at hospitalization is a simple risk marker of mortality risk in COVID-19 patients and reflects the myocardial inflammatory status.

摘要

目的

全身炎症与校正 QT(QTc)间期延长有关。本研究旨在探讨炎症在 COVID-19 患者 QTc 延长中的作用。

方法

纳入 2020 年 3 月 14 日至 2020 年 3 月 30 日期间因实验室确诊的 SARS-CoV-2 感染而入住意大利米兰圣拉斐尔科学研究所(IRCCS San Raffaele Scientific Institute)的患者。QTc-I 定义为住院期间首次心电图检查(入院后任何新的药物治疗前)时的 Bazett 公式校正 QT 间期;QTc-II 为羟氯喹药物治疗开始后心电图的 QTc 间期。

结果

45 例(45%)患者的 QTc-I 延长,55 例(55%)患者的 QTc-I 正常。QTc-I 延长的患者年龄较大,男性比例较高。住院时 C 反应蛋白(CRP)和白细胞(WBC)计数较高的患者 QTc-I 和 QTc-II 延长。QTc-I 与住院时 CRP 水平显著相关。中位随访 83 天后,14 例患者(14%)死亡。没有因室性心律失常而死亡。与 QTc-I 和 QTc-II 正常的患者相比,QTc-I 和 QTc-II 延长的患者存活率较低。在 Cox 多变量分析中,死亡的独立预测因素为年龄(HR=1.1,95%CI 1.04-1.18,p=0.002)和心电图 II 时的 CRP(HR 1.1,95%CI 1.0-1.1,p=0.02)。

结论

住院时的 QTc 是 COVID-19 患者死亡风险的一个简单的风险标志物,反映了心肌炎症状态。

https://cdn.ncbi.nlm.nih.gov/pmc/blobs/ea08/8295006/9e7a87f96b9b/10840_2021_1033_Fig2_HTML.jpg
https://cdn.ncbi.nlm.nih.gov/pmc/blobs/ea08/8295006/8a4a19af957d/10840_2021_1033_Fig1_HTML.jpg
https://cdn.ncbi.nlm.nih.gov/pmc/blobs/ea08/8295006/9e7a87f96b9b/10840_2021_1033_Fig2_HTML.jpg
https://cdn.ncbi.nlm.nih.gov/pmc/blobs/ea08/8295006/8a4a19af957d/10840_2021_1033_Fig1_HTML.jpg
https://cdn.ncbi.nlm.nih.gov/pmc/blobs/ea08/8295006/9e7a87f96b9b/10840_2021_1033_Fig2_HTML.jpg

相似文献

1
QTc interval prolongation, inflammation, and mortality in patients with COVID-19.新型冠状病毒肺炎患者的 QTc 间期延长、炎症与死亡率。
J Interv Card Electrophysiol. 2022 Mar;63(2):441-448. doi: 10.1007/s10840-021-01033-8. Epub 2021 Jul 22.
2
Cardiac Corrected QT Interval Changes Among Patients Treated for COVID-19 Infection During the Early Phase of the Pandemic.心脏校正 QT 间期变化在大流行早期接受 COVID-19 感染治疗的患者中。
JAMA Netw Open. 2021 Apr 1;4(4):e216842. doi: 10.1001/jamanetworkopen.2021.6842.
3
QT prolongation associated with hydroxychloroquine and protease inhibitors in COVID-19.COVID-19 患者中羟氯喹和蛋白酶抑制剂相关的 QT 延长。
J Clin Pharm Ther. 2021 Jun;46(3):800-806. doi: 10.1111/jcpt.13356. Epub 2021 Mar 25.
4
Changes in QTc interval after hydroxychloroquine therapy in patients with COVID-19 infection: a large, retrospective, multicentre cohort study.COVID-19 感染患者羟氯喹治疗后 QTc 间期的变化:一项大型、回顾性、多中心队列研究。
BMJ Open. 2022 Feb 9;12(2):e051579. doi: 10.1136/bmjopen-2021-051579.
5
Hydroxychloroquine/Azithromycin Therapy and QT Prolongation in Hospitalized Patients With COVID-19.羟氯喹/阿奇霉素治疗与 COVID-19 住院患者的 QT 间期延长。
JACC Clin Electrophysiol. 2021 Jan;7(1):16-25. doi: 10.1016/j.jacep.2020.07.016. Epub 2020 Aug 5.
6
QTc Interval Prolongation and Life-Threatening Arrhythmias During Hospitalization in Patients With Coronavirus Disease 2019 (COVID-19): Results From a Multicenter Prospective Registry.新冠肺炎(COVID-19)住院患者的 QTc 间期延长与危及生命的心律失常:一项多中心前瞻性登记研究结果。
Clin Infect Dis. 2021 Dec 6;73(11):e4031-e4038. doi: 10.1093/cid/ciaa1578.
7
QTc Prolongation to Predict Mortality in Patients Admitted with COVID-19 Infection: An Observational Study.QTc 延长预测 COVID-19 感染住院患者的死亡率:一项观察性研究。
Curr Vasc Pharmacol. 2024;22(2):106-121. doi: 10.2174/0115701611250248231114114557.
8
Prolongation of the QTc Interval at Admission is Associated with Increased Mortality in Patients with SARS-COV-2 during Hospitalization.入院时 QTc 间期延长与住院期间 SARS-CoV-2 患者的死亡率增加相关。
Arq Bras Cardiol. 2023 Jan 9;120(1):e20220155. doi: 10.36660/abc.20220155. eCollection 2023.
9
Experience With Hydroxychloroquine and Azithromycin in the Coronavirus Disease 2019 Pandemic: Implications for QT Interval Monitoring.羟氯喹和阿奇霉素在 2019 冠状病毒病大流行中的应用经验:对 QT 间期监测的影响。
J Am Heart Assoc. 2020 Jun 16;9(12):e017144. doi: 10.1161/JAHA.120.017144. Epub 2020 May 28.
10
Arrhythmic profile and 24-hour QT interval variability in COVID-19 patients treated with hydroxychloroquine and azithromycin.羟氯喹和阿奇霉素治疗的 COVID-19 患者的心律失常谱和 24 小时 QT 间期变异性。
Int J Cardiol. 2020 Oct 1;316:280-284. doi: 10.1016/j.ijcard.2020.05.036. Epub 2020 May 19.

引用本文的文献

1
Temporal variations in QTc interval during and after COVID-19 infection: a retrospective study.新冠病毒感染期间及之后QTc间期的时间变化:一项回顾性研究
BMC Cardiovasc Disord. 2024 Dec 23;24(1):738. doi: 10.1186/s12872-024-04405-w.
2
Electrocardiographic parameters and mortality in patients with SARS-CoV-2 infection: A single center study.新型冠状病毒2019感染患者的心电图参数与死亡率:一项单中心研究。
Caspian J Intern Med. 2024 Summer;15(3):444-450. doi: 10.22088/cjim.15.3.444.
3
Acromegaly and COVID-19, lessons, and new opportunities.

本文引用的文献

1
Malignant Arrhythmias in Patients With COVID-19: Incidence, Mechanisms, and Outcomes.COVID-19 患者的恶性心律失常:发生率、机制和结局。
Circ Arrhythm Electrophysiol. 2020 Nov;13(11):e008920. doi: 10.1161/CIRCEP.120.008920. Epub 2020 Oct 7.
2
New-Onset Cardiac Arrhythmias During COVID-19 Hospitalization.新冠病毒感染住院期间新发心律失常
Circ Arrhythm Electrophysiol. 2020 Nov;13(11):e009040. doi: 10.1161/CIRCEP.120.009040. Epub 2020 Oct 6.
3
Characteristics, treatment, outcomes and cause of death of invasively ventilated patients with COVID-19 ARDS in Milan, Italy.
肢端肥大症与2019冠状病毒病:经验教训与新机遇
Pituitary. 2024 Dec;27(6):935-944. doi: 10.1007/s11102-024-01404-0. Epub 2024 May 31.
4
Analysis of risk factors and short-term prognostic factors of arrhythmia in patients infected with mild/moderate SARS-CoV-2 Omicron variant.轻度/中度新型冠状病毒奥密克戎变异株感染者心律失常的危险因素及短期预后因素分析
Front Med (Lausanne). 2023 Jul 27;10:1186200. doi: 10.3389/fmed.2023.1186200. eCollection 2023.
5
The Diagnostic Value of Inflammatory Markers (CRP, IL6, CRP/IL6, CRP/L, LCR) for Assessing the Severity of COVID-19 Symptoms Based on the MEWS and Predicting the Risk of Mortality.基于改良早期预警评分(MEWS)评估新型冠状病毒肺炎(COVID-19)症状严重程度及预测死亡风险时炎症标志物(C反应蛋白、白细胞介素6、C反应蛋白/白细胞介素6、C反应蛋白/淋巴细胞比值、淋巴细胞与C反应蛋白比值)的诊断价值
J Inflamm Res. 2023 May 22;16:2173-2188. doi: 10.2147/JIR.S406658. eCollection 2023.
6
Affinity binding of COVID-19 drug candidates (chloroquine/hydroxychloroquine) and serum albumin: Based on photochemistry and molecular docking.基于光化学和分子对接的 COVID-19 候选药物(氯喹/羟氯喹)与血清白蛋白的亲和结合。
J Photochem Photobiol B. 2023 Mar;240:112667. doi: 10.1016/j.jphotobiol.2023.112667. Epub 2023 Feb 2.
7
C-reactive Protein Elevation Is Associated With QTc Interval Prolongation in Patients Hospitalized With COVID-19.新冠病毒肺炎住院患者中C反应蛋白升高与QTc间期延长有关。
Front Cardiovasc Med. 2022 Jun 23;9:866146. doi: 10.3389/fcvm.2022.866146. eCollection 2022.
8
Incidence and Predictors of Cardiac Arrhythmias in Patients With COVID-19.新型冠状病毒肺炎患者心律失常的发生率及预测因素
Front Cardiovasc Med. 2022 Jun 22;9:908177. doi: 10.3389/fcvm.2022.908177. eCollection 2022.
9
QT Interval Prolongation Is a Novel Predictor of 1-Year Mortality in Patients With COVID-19 Infection.QT间期延长是新冠病毒感染患者1年死亡率的新型预测指标。
Front Cardiovasc Med. 2022 Jun 9;9:869089. doi: 10.3389/fcvm.2022.869089. eCollection 2022.
10
Interleukin-6 Elevation Is a Key Pathogenic Factor Underlying COVID-19-Associated Heart Rate-Corrected QT Interval Prolongation.白细胞介素-6升高是新冠病毒相关心率校正QT间期延长的关键致病因素。
Front Cardiovasc Med. 2022 May 19;9:893681. doi: 10.3389/fcvm.2022.893681. eCollection 2022.
意大利米兰 COVID-19 急性呼吸窘迫综合征有创通气患者的特征、治疗、结局和死亡原因。
Crit Care Resusc. 2020 Sep;22(3):200-211. doi: 10.1016/S1441-2772(23)00387-3.
4
Prolonged QT Interval in SARS-CoV-2 Infection: Prevalence and Prognosis.新型冠状病毒感染中的QT间期延长:患病率与预后
J Clin Med. 2020 Aug 21;9(9):2712. doi: 10.3390/jcm9092712.
5
ST-Segment-Elevation Myocardial Infarction During COVID-19 Pandemic: Insights From a Regional Public Service Healthcare Hub.COVID-19 大流行期间的 ST 段抬高型心肌梗死:区域性公共服务医疗中心的观察结果。
Circ Cardiovasc Interv. 2020 Aug;13(8):e009413. doi: 10.1161/CIRCINTERVENTIONS.120.009413. Epub 2020 Aug 14.
6
Cardiac Arrest Risk During Acute Infections: Systemic Inflammation Directly Prolongs QTc Interval via Cytokine-Mediated Effects on Potassium Channel Expression.急性感染期间的心脏骤停风险:细胞因子通过对钾通道表达的影响导致全身炎症直接延长 QTc 间期。
Circ Arrhythm Electrophysiol. 2020 Aug;13(8):e008627. doi: 10.1161/CIRCEP.120.008627. Epub 2020 Jul 13.
7
Factors associated with COVID-19-related death using OpenSAFELY.使用 OpenSAFELY 分析与 COVID-19 相关死亡的因素。
Nature. 2020 Aug;584(7821):430-436. doi: 10.1038/s41586-020-2521-4. Epub 2020 Jul 8.
8
Early predictors of clinical outcomes of COVID-19 outbreak in Milan, Italy.意大利米兰新冠疫情临床结局的早期预测指标。
Clin Immunol. 2020 Aug;217:108509. doi: 10.1016/j.clim.2020.108509. Epub 2020 Jun 12.
9
Association of Hydroxychloroquine With QTc Interval in Patients With COVID-19.新型冠状病毒肺炎患者中羟氯喹与QTc间期的关联
Circulation. 2020 Aug 4;142(5):513-515. doi: 10.1161/CIRCULATIONAHA.120.048476. Epub 2020 Jun 5.
10
QT prolongation, torsades de pointes, and sudden death with short courses of chloroquine or hydroxychloroquine as used in COVID-19: A systematic review.QT 间期延长、尖端扭转型室性心动过速和 COVID-19 短期使用氯喹或羟氯喹导致的猝死:系统评价。
Heart Rhythm. 2020 Sep;17(9):1472-1479. doi: 10.1016/j.hrthm.2020.05.008. Epub 2020 May 11.