• 文献检索
  • 文档翻译
  • 深度研究
  • 学术资讯
  • Suppr Zotero 插件Zotero 插件
  • 邀请有礼
  • 套餐&价格
  • 历史记录
应用&插件
Suppr Zotero 插件Zotero 插件浏览器插件Mac 客户端Windows 客户端微信小程序
定价
高级版会员购买积分包购买API积分包
服务
文献检索文档翻译深度研究API 文档MCP 服务
关于我们
关于 Suppr公司介绍联系我们用户协议隐私条款
关注我们

Suppr 超能文献

核心技术专利:CN118964589B侵权必究
粤ICP备2023148730 号-1Suppr @ 2026

文献检索

告别复杂PubMed语法,用中文像聊天一样搜索,搜遍4000万医学文献。AI智能推荐,让科研检索更轻松。

立即免费搜索

文件翻译

保留排版,准确专业,支持PDF/Word/PPT等文件格式,支持 12+语言互译。

免费翻译文档

深度研究

AI帮你快速写综述,25分钟生成高质量综述,智能提取关键信息,辅助科研写作。

立即免费体验

运动训练的持续时间和强度与活跃儿童和青少年较厚的颈动脉内膜中层厚度相关,但可改善动脉弹性。

Exercise Training Duration and Intensity Are Associated With Thicker Carotid Intima-Media Thickness but Improved Arterial Elasticity in Active Children and Adolescents.

作者信息

Baumgartner Lisa, Weberruß Heidi, Engl Tobias, Schulz Thorsten, Oberhoffer-Fritz Renate

机构信息

Institute of Preventive Pediatrics, TUM Department of Sport and Health Science, Technical University of Munich, Munich, Germany.

出版信息

Front Cardiovasc Med. 2021 Jul 8;8:618294. doi: 10.3389/fcvm.2021.618294. eCollection 2021.

DOI:10.3389/fcvm.2021.618294
PMID:34307488
原文链接:https://pmc.ncbi.nlm.nih.gov/articles/PMC8295565/
Abstract

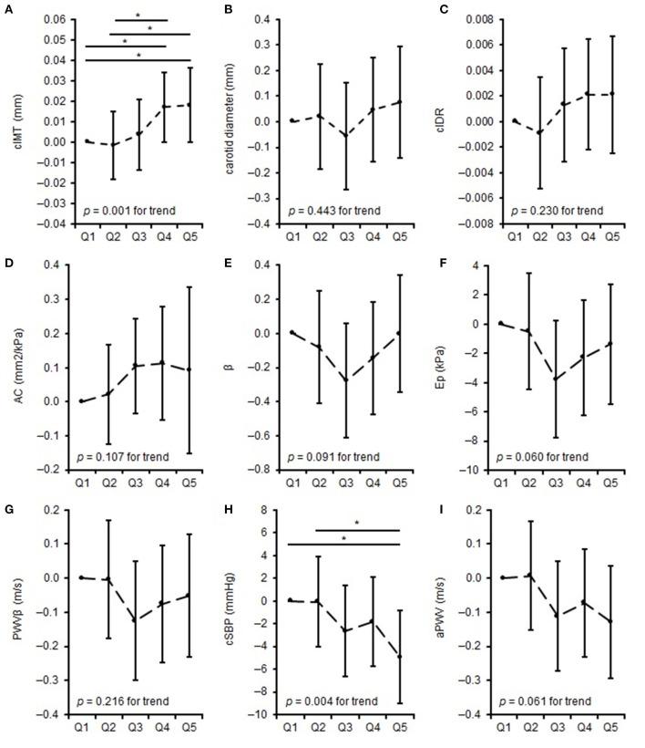
Even though exercise generally has a positive effect on health, intensive exercise can have adverse effects on the vascular system of adults. This study aimed to investigate the association between training duration and intensity and vascular structure and function in 427 physically active children and adolescents (14.0 ± 1.94 years). In this study, we examined carotid intima-media thickness (cIMT), carotid diameter, and cIMT:diameter-ratio as parameters of carotid arterial structure and arterial compliance (AC), stiffness index β (β), elastic modulus (Ep), and carotid pulse wave velocity (PWVβ) as parameters of carotid arterial function with high-resolution ultrasound. We collected central systolic blood pressure (cSBP) and aortic pulse wave velocity (aPWV) as parameters of central arterial stiffness with an oscillometric device. We used the MoMo Physical Activity Questionnaire to record training duration and intensity. Training duration ( = 0.022) and intensity ( = 0.024) were associated with higher cIMT. Further, training duration was associated with lower central arterial stiffness (cSBP: = 0.001; aPWV: = 0.033) and improved AC ( < 0.001). Higher training intensity was related to improved AC ( < 0.001) and larger carotid diameter ( = 0.040). Boys presented thicker cIMT ( = 0.010), improved AC ( = 0.006), and lower central arterial stiffness (cSBP: < 0.001; aPWV: = 0.016) associated with higher training duration. Girls presented improved AC ( = 0.023) and lower Ep ( = 0.038) but higher β ( = 0.036) associated with higher training duration. Only boys demonstrated thicker cIMT ( = 0.016) and improved AC ( = 0.002) associated with higher training intensity. A quintile analyses of the training duration revealed thicker cIMT of children and adolescents in Q1 and Q5 than that in Q4 and Q5. Besides, Q1 showed lower cSBP compared to Q4 and Q5. Regarding training intensity, Q5 had thicker cIMT than Q2 and Q3. Although a higher training load is associated with thicker cIMT, the common carotid artery is also more elastic. This suggests that a higher training load leads to a functional adaptation of the carotid artery in youth.

摘要

尽管运动通常对健康有积极影响,但高强度运动可能会对成年人的血管系统产生不利影响。本研究旨在调查427名身体活跃的儿童和青少年(14.0±1.94岁)的训练持续时间和强度与血管结构和功能之间的关联。在本研究中,我们使用高分辨率超声检查颈动脉内膜中层厚度(cIMT)、颈动脉直径以及cIMT与直径之比作为颈动脉结构参数,以及动脉顺应性(AC)、硬度指数β(β)、弹性模量(Ep)和颈动脉脉搏波速度(PWVβ)作为颈动脉功能参数。我们使用示波装置收集中心收缩压(cSBP)和主动脉脉搏波速度(aPWV)作为中心动脉硬度参数。我们使用MoMo身体活动问卷记录训练持续时间和强度。训练持续时间(P = 0.022)和强度(P = 0.024)与较高的cIMT相关。此外,训练持续时间与较低的中心动脉硬度(cSBP:P = 0.001;aPWV:P = 0.033)和改善的AC(P < 0.001)相关。较高的训练强度与改善的AC(P < 0.001)和较大的颈动脉直径(P = 0.040)相关。男孩的cIMT较厚(P = 0.010)、AC改善(P = 0.006)且中心动脉硬度较低(cSBP:P < 0.001;aPWV:P = 0.016),这与较高的训练持续时间相关。女孩的AC改善(P = 0.023)、Ep较低(P = 0.038)但β较高(P = 0.036),这与较高的训练持续时间相关。只有男孩表现出cIMT较厚(P = 0.016)和AC改善(P = 0.002),这与较高的训练强度相关。对训练持续时间进行五分位数分析发现,第1和第5五分位数的儿童和青少年的cIMT比第4和第5五分位数的厚。此外,第1五分位数的cSBP低于第4和第5五分位数。关于训练强度,第5五分位数的cIMT比第2和第3五分位数的厚。尽管较高的训练负荷与较厚的cIMT相关,但颈总动脉也更具弹性。这表明较高的训练负荷会导致青少年颈动脉的功能适应。

https://cdn.ncbi.nlm.nih.gov/pmc/blobs/219c/8295565/a82bfea70e02/fcvm-08-618294-g0002.jpg
https://cdn.ncbi.nlm.nih.gov/pmc/blobs/219c/8295565/2aace56887b9/fcvm-08-618294-g0001.jpg
https://cdn.ncbi.nlm.nih.gov/pmc/blobs/219c/8295565/a82bfea70e02/fcvm-08-618294-g0002.jpg
https://cdn.ncbi.nlm.nih.gov/pmc/blobs/219c/8295565/2aace56887b9/fcvm-08-618294-g0001.jpg
https://cdn.ncbi.nlm.nih.gov/pmc/blobs/219c/8295565/a82bfea70e02/fcvm-08-618294-g0002.jpg

相似文献

1
Exercise Training Duration and Intensity Are Associated With Thicker Carotid Intima-Media Thickness but Improved Arterial Elasticity in Active Children and Adolescents.运动训练的持续时间和强度与活跃儿童和青少年较厚的颈动脉内膜中层厚度相关,但可改善动脉弹性。
Front Cardiovasc Med. 2021 Jul 8;8:618294. doi: 10.3389/fcvm.2021.618294. eCollection 2021.
2
Improved Carotid Elasticity but Altered Central Hemodynamics and Carotid Structure in Young Athletes.年轻运动员的颈动脉弹性改善,但中心血流动力学和颈动脉结构改变。
Front Sports Act Living. 2021 Mar 15;3:633873. doi: 10.3389/fspor.2021.633873. eCollection 2021.
3
Aortic arterial stiffness associates with carotid intima-media thickness and carotid plaques in younger middle-aged healthy people.年轻中年健康人群中,主动脉动脉僵硬度与颈动脉内膜中层厚度和颈动脉斑块相关。
Blood Press. 2024 Dec;33(1):2405161. doi: 10.1080/08037051.2024.2405161. Epub 2024 Sep 18.
4
The association between aortic arterial stiffness, carotid intima-media thickness and carotid plaques in community-dwelling older adults: A population-based study.社区居住的老年人主动脉动脉僵硬度、颈动脉内膜中层厚度与颈动脉斑块之间的关联:一项基于人群的研究。
Vascular. 2020 Aug;28(4):405-412. doi: 10.1177/1708538120913738. Epub 2020 Mar 30.
5
High Central Aortic Rather than Brachial Blood Pressure is Associated with Carotid Wall Remodeling and Increased Arterial Stiffness in Childhood.儿童期中心主动脉压而非肱动脉血压与颈动脉壁重塑及动脉僵硬度增加有关。
High Blood Press Cardiovasc Prev. 2017 Mar;24(1):49-60. doi: 10.1007/s40292-017-0179-2. Epub 2017 Jan 19.
6
Intima-media thickness and arterial function in obese and non-obese children.肥胖和非肥胖儿童的内膜中层厚度与动脉功能
BMC Obes. 2016 Jan 9;3:2. doi: 10.1186/s40608-016-0081-9. eCollection 2015.
7
Effects of combined training with different intensities on vascular health in patients with type 2 diabetes: a 1-year randomized controlled trial.不同强度联合训练对 2 型糖尿病患者血管健康的影响:一项为期 1 年的随机对照试验。
Cardiovasc Diabetol. 2019 Mar 18;18(1):34. doi: 10.1186/s12933-019-0840-2.
8
Mediating effect of fat mass, lean mass, blood pressure and insulin resistance on the associations of accelerometer-based sedentary time and physical activity with arterial stiffness, carotid IMT and carotid elasticity in 1574 adolescents.基于加速度计的久坐时间和身体活动与动脉僵硬度、颈动脉 IMT 和颈动脉弹性的关联在 1574 名青少年中受脂肪量、瘦体量、血压和胰岛素抵抗的中介作用。
J Hum Hypertens. 2024 May;38(5):393-403. doi: 10.1038/s41371-024-00905-6. Epub 2024 Feb 26.
9
Association of aortic stiffness, carotid intima-media thickness and endothelial function with cardiovascular events in metabolic syndrome subjects.代谢综合征患者中主动脉僵硬度、颈动脉内膜中层厚度及内皮功能与心血管事件的关联
Blood Press. 2019 Apr;28(2):131-138. doi: 10.1080/08037051.2019.1569461. Epub 2019 Jan 30.
10
Early Vascular Aging in Children With Tuberous Sclerosis Complex.结节性硬化症患儿的早期血管老化
Front Pediatr. 2021 Nov 29;9:767394. doi: 10.3389/fped.2021.767394. eCollection 2021.

引用本文的文献

1
Effects of obstructive sleep apnea on vascular structure and function in adults with obesity and type 2 diabetes: a comparative study.阻塞性睡眠呼吸暂停对肥胖和2型糖尿病成人血管结构和功能的影响:一项比较研究。
Cardiovasc Endocrinol Metab. 2025 Jul 30;14(3):e00342. doi: 10.1097/XCE.0000000000000342. eCollection 2025 Sep.
2
Using Large Language Models to Enhance Exercise Recommendations and Physical Activity in Clinical and Healthy Populations: Scoping Review.利用大语言模型增强临床和健康人群的运动建议及身体活动:范围综述
JMIR Med Inform. 2025 May 27;13:e59309. doi: 10.2196/59309.
3
The association of physical activity and carotid intima-media-thickness in adolescents-data of the prospective early vascular ageing-tyrol cohort study.

本文引用的文献

1
Improved Carotid Elasticity but Altered Central Hemodynamics and Carotid Structure in Young Athletes.年轻运动员的颈动脉弹性改善,但中心血流动力学和颈动脉结构改变。
Front Sports Act Living. 2021 Mar 15;3:633873. doi: 10.3389/fspor.2021.633873. eCollection 2021.
2
The physical activity of children and adolescents in Germany 2003-2017: The MoMo-study.德国儿童和青少年的身体活动状况 2003-2017:MoMo 研究。
PLoS One. 2020 Jul 16;15(7):e0236117. doi: 10.1371/journal.pone.0236117. eCollection 2020.
3
Vascular Structure and Function in Children and Adolescents: What Impact Do Physical Activity, Health-Related Physical Fitness, and Exercise Have?
青少年身体活动与颈动脉内膜中层厚度的关联——前瞻性早期血管衰老蒂罗尔队列研究数据
Front Pediatr. 2025 Feb 6;13:1527132. doi: 10.3389/fped.2025.1527132. eCollection 2025.
4
The MuCAYA Study-Influence of Physical Activity and Metabolic Parameters on the Structure and Function of the Cardiovascular System in Young Athletes.MuCAYA研究——体育活动和代谢参数对年轻运动员心血管系统结构和功能的影响
CJC Open. 2024 Sep 19;6(12):1549-1557. doi: 10.1016/j.cjco.2024.09.005. eCollection 2024 Dec.
5
Associations of Cardiovascular Health Metrics in Childhood and Adolescence With Arterial Health Indicators in Adolescence: The PANIC Study.儿童和青少年时期心血管健康指标与青少年时期动脉健康指标的关联:PANIC 研究。
J Am Heart Assoc. 2024 Nov 19;13(22):e035790. doi: 10.1161/JAHA.124.035790. Epub 2024 Nov 7.
儿童和青少年的血管结构与功能:身体活动、健康相关身体素质及运动有何影响?
Front Pediatr. 2020 Mar 19;8:103. doi: 10.3389/fped.2020.00103. eCollection 2020.
4
Influence of Vigorous Physical Activity on Structure and Function of the Cardiovascular System in Young Athletes-The MuCAYA-Study.剧烈体育活动对年轻运动员心血管系统结构和功能的影响——MuCAYA研究
Front Cardiovasc Med. 2019 Oct 9;6:148. doi: 10.3389/fcvm.2019.00148. eCollection 2019.
5
Age-specific reference values for carotid arterial stiffness estimated by ultrasonic wall tracking.应用超声壁追踪技术估计颈动脉僵硬度的年龄特异性参考值。
J Hum Hypertens. 2020 Mar;34(3):214-222. doi: 10.1038/s41371-019-0228-5. Epub 2019 Aug 21.
6
Impact of Vascular Function on Maximum Power Output in Elite Handball Athletes.血管功能对优秀手球运动员最大功率输出的影响。
Res Q Exerc Sport. 2019 Dec;90(4):600-608. doi: 10.1080/02701367.2019.1639602. Epub 2019 Aug 9.
7
Oxidative Stress Parameters and Its Associations With Arterial Stiffness in Competitive Powerlifting Athletes After 12-Week Supervised Strength Training.氧化应激参数及其与 12 周监督力量训练后竞技举重运动员动脉僵硬的关系。
J Strength Cond Res. 2019 Jul;33(7):1816-1822. doi: 10.1519/JSC.0000000000003067.
8
Arterial adaptations in athletes of dynamic and static sports disciplines - a pilot study.动态和静态运动项目运动员的动脉适应性——一项初步研究。
Clin Physiol Funct Imaging. 2019 May;39(3):183-191. doi: 10.1111/cpf.12554. Epub 2018 Nov 11.
9
Timing of puberty in boys and girls: A population-based study.男孩和女孩青春期的时机:一项基于人群的研究。
Paediatr Perinat Epidemiol. 2019 Jan;33(1):70-78. doi: 10.1111/ppe.12507. Epub 2018 Oct 11.
10
Comparison of vascular arterial stiffness parameters of adolescent wrestlers with healthy subjects: Is heavy training harmful for wrestlers?青少年摔跤运动员与健康受试者血管动脉僵硬度参数的比较:高强度训练对摔跤运动员有害吗?
J Back Musculoskelet Rehabil. 2019;32(1):155-160. doi: 10.3233/BMR-171083.