Momin Taufik, Kansagra Kevinkumar, Patel Hardik, Sharma Sunil, Sharma Bhumika, Patel Jatin, Mittal Ravindra, Sanmukhani Jayesh, Maithal Kapil, Dey Ayan, Chandra Harish, Rajanathan Chozhavel Tm, Pericherla Hari Pr, Kumar Pawan, Narkhede Anjali, Parmar Deven
Zydus Research Center, Clinical R & D, Cadila Healthcare Limited, Sarkhej-Bavla N. H. No. 8 A, Moraiya, Ahmedabad, Gujarat 382213, India.
Zydus Corporate Park, Ahmedabad, India.
EClinicalMedicine. 2021 Aug;38:101020. doi: 10.1016/j.eclinm.2021.101020. Epub 2021 Jul 17.
ZyCoV-D is a DNA vaccine candidate, which comprises a plasmid DNA carrying spike-S gene of SARS-CoV-2 virus along with gene coding for signal peptide. The spike(S) region includes the receptor-binding domain (RBD), which binds to the human angiotensin converting Enzyme (ACE)-2 receptor and mediates the entry of virus inside the cell.
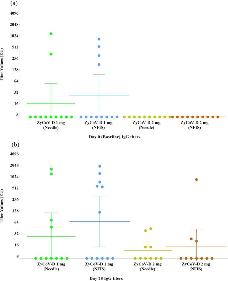
We conducted a single-center, open-label, non-randomized, Phase 1 trial in India between July 2020 and October 2020. Healthy adults aged between 18 and 55 years were sequentially enrolled and allocated to one of four treatment arms in a dose escalation manner. Three doses of vaccine were administered 28 days apart and each subject was followed up for 28 days post third dose to evaluate safety and immunogenicity.
Out of 126 individuals screened for eligibility. Forty-eight subjects (mean age 34·9 years) were enrolled and vaccinated in the Phase 1 study Overall, 12/48 (25%) subjects reported at least one AE (i.e. combined solicited and unsolicited) during the study. There were no deaths or serious adverse events reported in Phase 1 of the study. The proportion of subjects who seroconverted based on IgG titers on day 84 was 4/11 (36·36%), 4/12 (33·33%), 10/10 (100·00%) and 8/10 (80·00%) in the treatment Arm 1 (1 mg: Needle), Arm 2 (1 mg: NFIS), Arm 3 (2 mg: Needle) and Arm 4 (2 mg: NFIS), respectively.
ZyCoV-D vaccine is found to be safe, well-tolerated and immunogenic in the Phase 1 trial. Our findings suggest that the DNA vaccine warrants further investigation.
ZyCoV-D是一种DNA候选疫苗,它包含一个携带严重急性呼吸综合征冠状病毒2(SARS-CoV-2)病毒刺突蛋白S基因以及信号肽编码基因的质粒DNA。刺突蛋白(S)区域包括受体结合域(RBD),该区域可与人血管紧张素转换酶(ACE)-2受体结合,并介导病毒进入细胞。
2020年7月至2020年10月期间,我们在印度进行了一项单中心、开放标签、非随机的1期试验。年龄在18至55岁之间的健康成年人按顺序入组,并以剂量递增的方式分配到四个治疗组之一。每隔28天接种三剂疫苗,在第三剂疫苗接种后对每位受试者进行28天的随访,以评估安全性和免疫原性。
在126名筛选合格的个体中,48名受试者(平均年龄34.9岁)入组并在1期研究中接种了疫苗。总体而言,12/48(25%)的受试者在研究期间报告了至少一种不良事件(即合并的预期和非预期不良事件)。研究的1期阶段未报告死亡或严重不良事件。在治疗组1(1毫克:针剂)、治疗组2(1毫克:无针注射系统)、治疗组3(2毫克:针剂)和治疗组4(2毫克:无针注射系统)中,基于第84天IgG滴度发生血清转化的受试者比例分别为4/11(36.36%)、4/12(33.33%)、10/10(100.00%)和8/10(80.00%)。
在1期试验中发现ZyCoV-D疫苗安全、耐受性良好且具有免疫原性。我们的研究结果表明,这种DNA疫苗值得进一步研究。