Suppr超能文献

糖尿病性人工晶状体植入者血糖变化对视觉功能心理物理学测量影响的研究

The Investigation of the Effect of Hyperglycemic Changes on Psychophysical Measurements of Visual Function in Pseudophakic People Living with Diabetes Mellitus.

作者信息

Majola Lindokuhle, Munsamy Alvin J

机构信息

Department of Health, Port Shepstone, South Africa.

Discipline of Optometry, School of Health Science, University of KwaZulu-Natal, Durban, South Africa.

出版信息

Clin Optom (Auckl). 2021 Jul 20;13:191-199. doi: 10.2147/OPTO.S284490. eCollection 2021.

Abstract

PURPOSE

The purpose of this study was to show the effect of increasing blood glucose level (BGL) on psychophysical visual function represents by visual acuity and contrast sensitivity in pseudophakic people living with diabetes (PDM).

STUDY DESIGN

This was quasi-experimental, quantitative study using a pretest-posttest approach.

METHODS

The study was conducted at Gamalakhe community health centre located in Gamalakhe township and included a sample of 50 pseudophakic people living without diabetes mellitus (PWDM) and 50 pseudophakic PDM. BGL as well as psychophysical measurements of visual function were measured preprandial and postprandial. Visual acuity (VA) was measured at distance (4 m) and near (40 cm) using logMAR VA charts, and contrast sensitivity (CS) was measured at 50 cm using a Mars chart. The data collected were captured and subsequently analyzed using SPSS version 25.

RESULTS

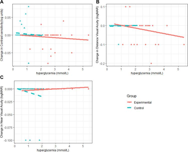
Glycemic changes measured preprandial and postprandial observed a mean increase of 2.06±1.35 mmol/L (=0.350) and 1.08±0.47 mmol/L (=0.291) in pseudophakia PDM and pseudophakic PWDM, respectively. CS showed a mean increase of 0.01±0.10 (=0.23) and 0.002±0.02 (=0.19) log units in PDM and PWDM, respectively; however, the independent -test showed this was insignificant between PDM and PWDM (=0.27). A insignificant mean increase of 0.01±0.04 log units (=0.25) and 0.001±0.01 (=0.32) in distance VA of pseudophakic PDM and PWDM was found, respectively. A mean increase of 0.001±0.01 log units (=0.32) and 0.01±0.03 (=0.06) near logMAR VA of pseudophakic PDM and PWDM was found, respectively.

CONCLUSION

Acute hyperglycemic changes do not result in overall significant changes in visual acuity and contrast sensitivity in pseudophakic PDM and PWDM for an increase in glycemia of 2 mmol/L. We recommend studies investigate if changes occur for glycemic increases exceeding 2 mmol/L.

摘要

目的

本研究的目的是展示血糖水平(BGL)升高对糖尿病假晶状体患者(PDM)以视力和对比敏感度表示的心理物理视觉功能的影响。

研究设计

这是一项采用前测-后测方法的准实验性定量研究。

方法

该研究在位于加马拉凯镇的加马拉凯社区卫生中心进行,纳入了50名无糖尿病的假晶状体患者(PWDM)和50名假晶状体PDM作为样本。在餐前和餐后测量BGL以及视觉功能的心理物理指标。使用对数最小分辨角视力(logMAR)视力表在4米远距离和40厘米近距离测量视力(VA),并使用Mars图表在50厘米处测量对比敏感度(CS)。收集到的数据被记录下来,随后使用SPSS 25版进行分析。

结果

在假晶状体PDM和假晶状体PWDM中,餐前和餐后测量的血糖变化分别观察到平均升高2.06±1.35 mmol/L(=0.350)和1.08±0.47 mmol/L(=0.291)。CS在PDM和PWDM中分别平均升高0.01±0.10(=0.23)和0.002±0.02(=0.19)对数单位;然而,独立样本t检验显示这在PDM和PWDM之间无显著差异(=0.27)。在假晶状体PDM和PWDM的远距离VA中分别发现平均升高0.01±0.04对数单位(=0.25)和0.001±0.01(=0.32)。在假晶状体PDM和PWDM的近距离logMAR VA中分别发现平均升高0.001±0.01对数单位(=0.32)和0.01±0.03(=0.06)。

结论

对于血糖升高2 mmol/L的情况,急性高血糖变化不会导致假晶状体PDM和PWDM的视力和对比敏感度出现总体显著变化。我们建议开展研究,调查血糖升高超过2 mmol/L时是否会发生变化。

https://cdn.ncbi.nlm.nih.gov/pmc/blobs/90e3/8309657/3390fae63f33/OPTO-13-191-g0001.jpg

文献AI研究员

20分钟写一篇综述,助力文献阅读效率提升50倍。

立即体验

用中文搜PubMed

大模型驱动的PubMed中文搜索引擎

马上搜索

文档翻译

学术文献翻译模型,支持多种主流文档格式。

立即体验