Suppr超能文献

分析分化型甲状腺癌的危险因素和预后,重点关注微小甲状腺外侵犯。

Analysis of risk factors and prognosis in differentiated thyroid cancer with focus on minimal extrathyroidal extension.

机构信息

Clinic for Nuclear Medicine, University Hospital Essen, Essen, Germany.

University of Duisburg-Essen and German Cancer Consortium (DKTK)-University Hospital, Hufelandstraße 55, 45147, Essen, Germany.

出版信息

BMC Endocr Disord. 2021 Aug 10;21(1):161. doi: 10.1186/s12902-021-00826-2.

Abstract

AIMS

In contrast to all prior AJCC/TNM classifications for differentiated thyroid cancer (DTC) the 8th edition does not take minimal extrathyroidal extension (M-ETE) into consideration for local tumor staging. We therefore aimed to retrospectively assess the specific impact of M-ETE on the outcome of M-ETE patients treated in our clinic.

METHODS

DTC patients with M-ETE and a follow-up time of ≥ 5 years were included and matched with an identical number of patients without M-ETE, but with equal histopathological tumor subtype and size. The frequency of initially metastatic disease among groups was compared using Fisher's exact test, the recurrence rate by virtue of log-rank test. Fisher's exact test and multivariate analysis were used to account for the presence of confounding risk factors.

RESULTS

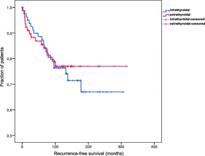
One hundred sixty patients (80 matching pairs) were eligible. With other confounding risk factors being equal, the prevalence of N1-/M1-disease at initial diagnosis was comparable among groups (M-ETE: 42.5 %; no M-ETE: 32.5 %; p = 0.25). No differences with regard to the recurrence rate were shown. However, M-ETE patients were treated with external beam radiation therapy more often (16.3 % vs. 1.3 %; p = 0.004) and received higher median cumulative activities of I (10.0 vs. 8.0 GBq; p < 0.001).

DISCUSSION

Although having played a pivotal role for local tumor staging of DTC for decades M-ETE did not increase the risk for metastases at initial diagnosis and the recurrence rate in our cohort. Patients with M-ETE had undergone intensified treatment, which entails a possible confounding factor that warrants further investigation in randomized controlled trials.

摘要

目的

与所有先前的 AJCC/TNM 分化型甲状腺癌 (DTC) 分类不同,第 8 版不考虑最小甲状腺外延伸 (M-ETE) 用于局部肿瘤分期。因此,我们旨在回顾性评估 M-ETE 对我们诊所治疗的 M-ETE 患者结局的具体影响。

方法

纳入 M-ETE 且随访时间≥5 年的 DTC 患者,并与数量相同但无 M-ETE、但具有相同组织病理学肿瘤亚型和大小的患者相匹配。使用 Fisher 精确检验比较各组之间初始转移性疾病的频率,使用对数秩检验评估复发率。使用 Fisher 精确检验和多因素分析来解释混杂风险因素的存在。

结果

共有 160 名患者(80 对匹配)符合条件。在其他混杂风险因素相等的情况下,各组初始诊断时 N1-/M1 疾病的患病率相似(M-ETE:42.5%;无 M-ETE:32.5%;p=0.25)。复发率无差异。然而,M-ETE 患者更常接受外照射放疗(16.3% vs. 1.3%;p=0.004),并且接受的 I 累积活动中位数更高(10.0 与 8.0GBq;p<0.001)。

讨论

尽管 M-ETE 数十年来一直是 DTC 局部肿瘤分期的关键因素,但在我们的队列中,它并未增加初始诊断时转移和复发率的风险。M-ETE 患者接受了强化治疗,这可能是一个混杂因素,需要在随机对照试验中进一步研究。

https://cdn.ncbi.nlm.nih.gov/pmc/blobs/d116/8353758/5448ea90c813/12902_2021_826_Fig1_HTML.jpg

文献AI研究员

20分钟写一篇综述,助力文献阅读效率提升50倍。

立即体验

用中文搜PubMed

大模型驱动的PubMed中文搜索引擎

马上搜索

文档翻译

学术文献翻译模型,支持多种主流文档格式。

立即体验