Bisquert Juan, Janssen Mathijs
Institute of Advanced Materials (INAM), Universitat Jaume I, 12006 Castelló, Spain.
Department of Mathematics, Mechanics Division, University of Oslo, N-0851 Oslo, Norway.
J Phys Chem Lett. 2021 Aug 26;12(33):7964-7971. doi: 10.1021/acs.jpclett.1c02065. Epub 2021 Aug 13.
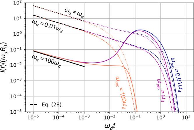
The correlation of different methods of measurement can become an important tool to identify the dominant physical elements that govern the electronic and ionic dynamics in perovskite solar cells. The diverse phenomena underlying the response of halide perovskite materials to different stimuli are reflected in time-domain measurements, where transients appear with time scales spanning orders of magnitude, from nanoseconds to hours. We discuss the connection between different frequency- and time-domain methods to probe the voltage and current response of halide perovskite solar cells to different small perturbations. To solve the frequency-to-time transformation, we start from models of the transfer function of intensity-modulated photocurrent spectroscopy (IMPS) and derive the associated impulse response function, the transient photocurrent (TPC), in response to a short light pulse. Similarly, we determine the transient photovoltage (TPV) starting from the intensity-modulated photovoltage spectroscopy (IMVS) transfer function. We also discuss the open-circuit voltage decays (OCVD). We first show the response of simple equivalent circuit models, and then we treat the full model for generation-diffusion-recombination of electrons that shows a spiraling loop in IMPS. This model gives rise to overshoots in the time domain.
不同测量方法之间的相关性可以成为识别主导钙钛矿太阳能电池中电子和离子动力学的主要物理元素的重要工具。卤化物钙钛矿材料对不同刺激的响应所基于的各种现象在时域测量中得以体现,其中瞬态现象出现的时间尺度跨越多个数量级,从纳秒到小时不等。我们讨论了不同频域和时域方法之间的联系,以探究卤化物钙钛矿太阳能电池对不同小扰动的电压和电流响应。为了解决频率到时间的变换问题,我们从强度调制光电流谱(IMPS)的传递函数模型出发,推导出响应短光脉冲的相关脉冲响应函数,即瞬态光电流(TPC)。同样,我们从强度调制光电压谱(IMVS)传递函数出发确定瞬态光电压(TPV)。我们还讨论了开路电压衰减(OCVD)。我们首先展示简单等效电路模型的响应,然后处理电子产生 - 扩散 - 复合的完整模型,该模型在IMPS中显示出一个螺旋环。这个模型在时域中会产生过冲现象。