Suppr超能文献

超低频石墨烯平台上散射体表面扩散引起的电低频1/噪声。

Electrical Low-Frequency 1/ Noise Due to Surface Diffusion of Scatterers on an Ultra-low-Noise Graphene Platform.

作者信息

Kamada Masahiro, Laitinen Antti, Zeng Weijun, Will Marco, Sarkar Jayanta, Tappura Kirsi, Seppä Heikki, Hakonen Pertti

机构信息

Low Temperature Laboratory, Department of Applied Physics, Aalto University School of Science, P.O. Box 15100, 00076 Aalto, Finland.

Microelectronics and quantum technology, VTT Technical Research Centre of Finland Ltd., QTF Centre of Excellence, 02044, Espoo, Finland.

出版信息

Nano Lett. 2021 Sep 22;21(18):7637-7643. doi: 10.1021/acs.nanolett.1c02325. Epub 2021 Sep 7.

Abstract

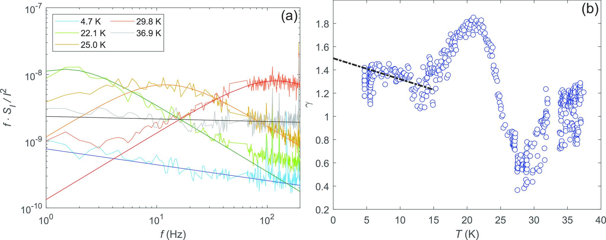
Low-frequency 1/  noise is ubiquitous, even in high-end electronic devices. Recently, it was found that adsorbed O molecules provide the dominant contribution to flux noise in superconducting quantum interference devices. To clarify the basic principles of such adsorbate noise, we have investigated low-frequency noise, while the mobility of surface adsorbates is varied by temperature. We measured low-frequency current noise in suspended monolayer graphene Corbino samples under the influence of adsorbed Ne atoms. Owing to the extremely small intrinsic noise of suspended graphene, we could resolve a combination of 1/  and Lorentzian noise induced by the presence of Ne. We find that the 1/  noise is caused by surface diffusion of Ne atoms and by temporary formation of few-Ne-atom clusters. Our results support the idea that clustering dynamics of defects is relevant for understanding of 1/ noise in metallic systems.

摘要

低频1/f噪声无处不在,即使在高端电子设备中也是如此。最近,人们发现吸附的O分子是超导量子干涉器件中磁通噪声的主要贡献者。为了阐明这种吸附质噪声的基本原理,我们研究了低频噪声,同时表面吸附质的迁移率随温度变化。我们在吸附的Ne原子的影响下,测量了悬浮单层石墨烯Corbino样品中的低频电流噪声。由于悬浮石墨烯的固有噪声极小,我们能够分辨出由Ne的存在引起的1/f和洛伦兹噪声的组合。我们发现,1/f噪声是由Ne原子的表面扩散和少量Ne原子团簇的临时形成引起的。我们的结果支持这样一种观点,即缺陷的聚集动力学与理解金属系统中的1/f噪声相关。

https://cdn.ncbi.nlm.nih.gov/pmc/blobs/60db/8461652/f215e6cea981/nl1c02325_0001.jpg

文献AI研究员

20分钟写一篇综述,助力文献阅读效率提升50倍。

立即体验

用中文搜PubMed

大模型驱动的PubMed中文搜索引擎

马上搜索

文档翻译

学术文献翻译模型,支持多种主流文档格式。

立即体验