Suppr超能文献

生物炭、堆肥及生物炭-堆肥混合物的应用对药用植物的生长、光合作用、渗透调节物质及抗氧化系统产生调节作用 。

Biochar, Compost, and Biochar-Compost Blend Applications Modulate Growth, Photosynthesis, Osmolytes, and Antioxidant System of Medicinal Plant .

作者信息

Zulfiqar Faisal, Chen Jianjun, Younis Adnan, Abideen Zainul, Naveed Muhammad, Koyro Hans-Werner, Siddique Kadambot H M

机构信息

Department of Horticultural Sciences, Faculty of Agriculture and Environment, The Islamia University of Bahawalpur, Bahawalpur, Pakistan.

Environmental Horticulture Department and Mid-Florida Research and Education Center, Institute of Food and Agricultural Sciences, University of Florida, Apopka, FL, United States.

出版信息

Front Plant Sci. 2021 Aug 23;12:707061. doi: 10.3389/fpls.2021.707061. eCollection 2021.

Abstract

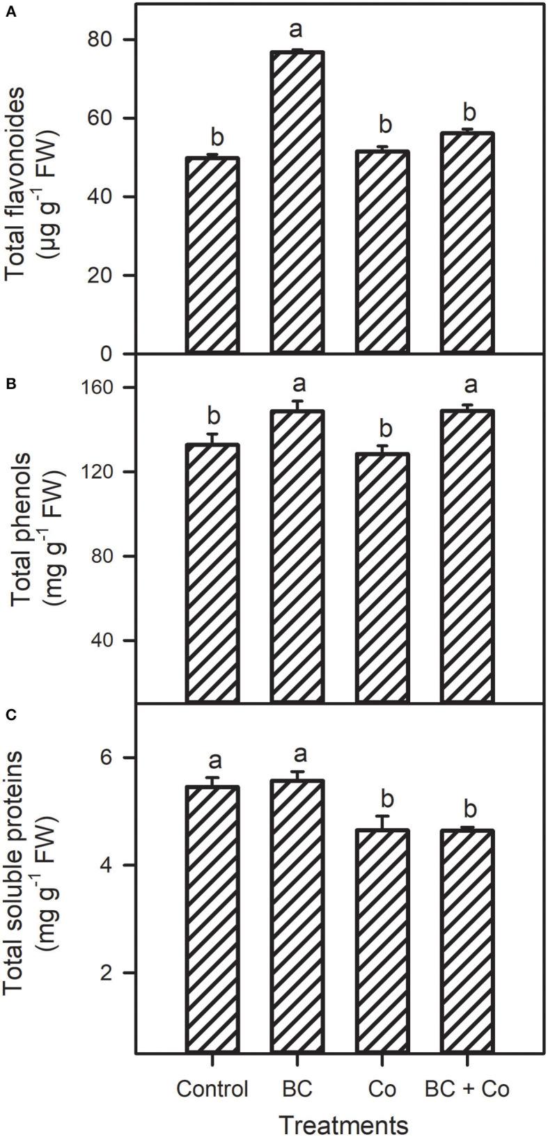
(Zingiberaceae) is a unique ornamental and medicinal plant primarily used in food ingredients and traditional medicine. While organic amendments such as biochar (BC) and compost (Co) have been demonstrated to improve plant productivity, no studies have examined their effects on the growth, physiology, and secondary metabolites of . This study evaluated the impact of the amendment of BC, Co, or a biochar and compost mixture (BC+Co) on modifying and improving the growth, photosynthesis, antioxidant status, and secondary metabolism of grown on sandy loam soil. The morpho-physiological and biochemical investigation revealed variation in the response of to organic amendments. The amendment of BC and BC+Co significantly increased net photosynthetic rates of plants by more than 28%, chlorophyll and contents by 92 and 78%, respectively, and carboxylation efficiency by 50% compared with those grown in the sandy loam soil without amendment. Furthermore, the amendment significantly decreased plant oxidative stress, measured as leaf free proline and glycine betaine. Enzymatic antioxidant activity, total phenols, and flavonoids also varied in their response to the organic amendments. In conclusion, this study shows that BC and/or Co amendments are an efficient and sustainable method for improving the metabolite contents and reducing oxidative stress in .

摘要

姜科植物是一种独特的观赏和药用植物,主要用于食品配料和传统医学。虽然生物炭(BC)和堆肥(Co)等有机改良剂已被证明能提高植物生产力,但尚无研究考察它们对姜科植物生长、生理和次生代谢产物的影响。本研究评估了BC、Co或生物炭与堆肥混合物(BC+Co)改良剂对砂壤土上生长的姜科植物生长、光合作用、抗氧化状态和次生代谢的调节和改善作用。形态生理和生化研究揭示了姜科植物对有机改良剂反应的差异。与未改良的砂壤土中生长的植物相比,BC和BC+Co改良剂使植物的净光合速率显著提高了28%以上,叶绿素a和叶绿素b含量分别提高了92%和78%,羧化效率提高了50%。此外,改良剂显著降低了以叶片游离脯氨酸和甘氨酸甜菜碱衡量的植物氧化应激。酶促抗氧化活性、总酚和黄酮类化合物对有机改良剂的反应也有所不同。总之,本研究表明,BC和/或Co改良剂是提高姜科植物代谢产物含量和降低氧化应激的一种有效且可持续的方法。

https://cdn.ncbi.nlm.nih.gov/pmc/blobs/22d1/8419328/2b096eec8bd4/fpls-12-707061-g0001.jpg

文献AI研究员

20分钟写一篇综述,助力文献阅读效率提升50倍。

立即体验

用中文搜PubMed

大模型驱动的PubMed中文搜索引擎

马上搜索

文档翻译

学术文献翻译模型,支持多种主流文档格式。

立即体验