Suppr超能文献

评估放疗期间呼吸运动估计的差异:单次计划 4DMRI 与每日 4DMRI。

Evaluating differences in respiratory motion estimates during radiotherapy: a single planning 4DMRI versus daily 4DMRI.

机构信息

Department of Radiotherapy, Amsterdam University Medical Centers, Meibergdreef 9, 1105 AZ, Amsterdam, The Netherlands.

出版信息

Radiat Oncol. 2021 Sep 26;16(1):188. doi: 10.1186/s13014-021-01915-1.

Abstract

BACKGROUND

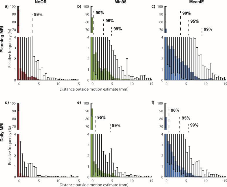
In radiotherapy, respiratory-induced tumor motion is typically measured using a single four-dimensional computed tomography acquisition (4DCT). Irregular breathing leads to inaccurate motion estimates, potentially resulting in undertreatment of the tumor and unnecessary dose to healthy tissue. The aim of the research was to determine if a daily pre-treatment 4DMRI-strategy led to a significantly improved motion estimate compared to single planning 4DMRI (with or without outlier rejection).

METHODS

4DMRI data sets from 10 healthy volunteers were acquired. The first acquisition simulated a planning MRI, the respiratory motion estimate (constructed from the respiratory signal, i.e. the 1D navigator) was compared to the respiratory signal in the subsequent scans (simulating 5-29 treatment fractions). The same procedure was performed using the first acquisition of each day as an estimate for the subsequent acquisitions that day (2 per day, 4-20 per volunteer), simulating a daily MRI strategy. This was done for three outlier strategies: no outlier rejection (NoOR); excluding 5% of the respiratory signal whilst minimizing the range (Min95) and excluding the datapoints outside the mean end-inhalation and end-exhalation positions (MeanIE).

RESULTS

The planning MRI median motion estimates were 27 mm for NoOR, 18 mm for Min95, and 13 mm for MeanIE. The daily MRI median motion estimates were 29 mm for NoOR, 19 mm for Min95 and 15 mm for MeanIE. The percentage of time outside the motion estimate were for the planning MRI: 2%, 10% and 32% for NoOR, Min95 and MeanIE respectively. These values were reduced with the daily MRI strategy: 0%, 6% and 17%. Applying Min95 accounted for a 30% decrease in motion estimate compared to NoOR.

CONCLUSION

A daily MRI improved the estimation of respiratory motion as compared to a single 4D (planning) MRI significantly. Combining the Min95 technique with a daily 4DMRI resulted in a decrease of inclusion time of 6% with a 30% decrease of motion. Outlier rejection alone on a planning MRI often led to underestimation of the movement and could potentially lead to an underdosage.

TRIAL REGISTRATION

protocol W15_373#16.007.

摘要

背景

在放射治疗中,通常使用单次四维计算机断层扫描(4DCT)来测量呼吸引起的肿瘤运动。不规则的呼吸会导致运动估计不准确,从而可能导致肿瘤治疗不足和健康组织不必要的剂量。本研究旨在确定每日预处理 4DMRI 策略是否会导致与单次计划 4DMRI(带或不带异常值剔除)相比,运动估计显著改善。

方法

采集了 10 名健康志愿者的 4DMRI 数据集。第一次采集模拟计划 MRI,从呼吸信号(即一维导航仪)构建的呼吸运动估计与后续扫描中的呼吸信号进行比较(模拟 5-29 次治疗分数)。对每一天的第一次采集进行了相同的处理,将其作为当天随后采集的估计值(每天 2 次,每个志愿者 4-20 次),模拟每日 MRI 策略。对于三种异常值剔除策略(不剔除异常值(NoOR);剔除 5%的呼吸信号,同时最小化范围(Min95)和剔除呼吸信号中平均吸气末和呼气末位置之外的数据点(MeanIE)),执行了相同的程序。

结果

NoOR 的计划 MRI 中位运动估计为 27mm,Min95 为 18mm,MeanIE 为 13mm。每日 MRI 的中位运动估计值为 NoOR 为 29mm,Min95 为 19mm,MeanIE 为 15mm。计划 MRI 的运动估计超出时间百分比分别为 NoOR、Min95 和 MeanIE,为 2%、10%和 32%。通过每日 MRI 策略,这些值分别降低到 0%、6%和 17%。与 NoOR 相比,应用 Min95 可使运动估计值降低 30%。

结论

与单次 4D(计划)MRI 相比,每日 MRI 显著提高了呼吸运动的估计。将 Min95 技术与每日 4DMRI 相结合,可将纳入时间减少 6%,运动减少 30%。单独对计划 MRI 进行异常值剔除往往会导致运动的低估,从而可能导致剂量不足。

试验注册

protocol W15_373#16.007.

https://cdn.ncbi.nlm.nih.gov/pmc/blobs/163c/8474826/2a1ad2c0c563/13014_2021_1915_Fig1_HTML.jpg

文献检索

告别复杂PubMed语法,用中文像聊天一样搜索,搜遍4000万医学文献。AI智能推荐,让科研检索更轻松。

立即免费搜索

文件翻译

保留排版,准确专业,支持PDF/Word/PPT等文件格式,支持 12+语言互译。

免费翻译文档

深度研究

AI帮你快速写综述,25分钟生成高质量综述,智能提取关键信息,辅助科研写作。

立即免费体验