Department of Pharmaceutics and Industrial Pharmacy, Faculty of Pharmacy, October 6 University, 6th of October City, Giza, 12585, Egypt.
Analytical Chemistry, Faculty of Pharmacy, October 6 University, 6th of October City, Giza, 12585, Egypt.
Int J Nanomedicine. 2021 Sep 17;16:6395-6412. doi: 10.2147/IJN.S325697. eCollection 2021.
The current work aimed to overcome the poor permeability and undesirable adverse effects of Zolmitriptan (ZMT) and to increase its efficacy in the treatment of acute migraine by exploiting the synergistic effect of the essential oil, lavender, to fabricate ZMT self-nanoemulsifying drug delivery systems (ZMT-SNEDDS).
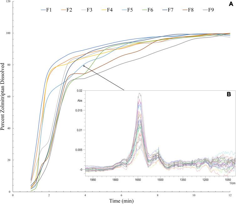
ZMT-SNEDDS were fabricated based on full factorial design (3) to statistically assess the impact of oil and surfactant concentrations on the nanoemulsion globule size, zeta potential and percentage drug dissolution efficiency. An ATR-FTIR method was developed and validated for continuous real-time monitoring of ZMT dissolution and permeation. The dose of the optimized ZMT-SNEDDS used in the efficacy study was selected according to the acute toxicity study. The efficacy study was performed on migraineous rats induced by nitroglycerin and was evaluated by the activity cage and thermal tests, electroencephalogram, electroconvulsive stimulation, and biochemical analysis of brain tissue. Finally, histopathological and immunohistochemical examinations of the cerebra were carried out.
Upon dilution, the optimized ZMT-SNEDDS (F5) exhibited nanosized spherical droplets of 19.59±0.17 nm with narrow size distribution, zeta potential (-23.5±1.17mV) and rapid emulsification characteristics. ATR-FTIR spectra elucidated the complete time course of dissolution and permeation, confirming F5 superior performance. Moreover, ZMT-SNEDDS (F5) showed safety in an acute toxicity study. ZMT concentration in rat brain tissues derived from F5 was lower compared to that of ZMT solution, yet its effect was better on the psychological state, algesia, as well as maintaining normal brain electrical activity and delayed convulsions. It counteracted the cerebral biochemical alternations induced by nitroglycerin, which was confirmed by histopathological examination.
In a nutshell, these findings corroborated the remarkable synergistic efficacy and the high potency of lavender oil-based ZMT-SNEDDS in migraine management compared to the traditional zolmitriptan solution.
本研究旨在利用薰衣草精油的协同作用,克服佐米曲普坦(ZMT)渗透性差和不良反应不理想的问题,并提高其在治疗急性偏头痛方面的疗效,为此构建 ZMT 自微乳给药系统(ZMT-SNEDDS)。
采用三因素全因子设计(3)构建 ZMT-SNEDDS,以统计评估油相和表面活性剂浓度对纳米乳粒径、Zeta 电位和药物累积溶出度的影响。建立并验证了一种 ATR-FTIR 方法,用于连续实时监测 ZMT 的溶出和渗透。根据急性毒性研究选择优化的 ZMT-SNEDDS 剂量用于疗效研究。采用硝酸甘油诱导偏头痛大鼠模型,通过活动箱和热板试验、脑电图、电惊厥刺激以及脑组织生化分析评价疗效。最后,对大脑进行组织病理学和免疫组织化学检查。
稀释后,优化的 ZMT-SNEDDS(F5)呈纳米级球形液滴,平均粒径为 19.59±0.17nm,粒径分布窄,Zeta 电位为(-23.5±1.17mV),具有快速乳化特性。ATR-FTIR 光谱阐明了完全的溶解和渗透过程,证实了 F5 的优越性能。此外,ZMT-SNEDDS(F5)在急性毒性研究中表现出安全性。与 ZMT 溶液相比,F5 组大鼠脑组织中的 ZMT 浓度较低,但对心理状态、痛觉、维持正常脑电活动和延缓惊厥的效果更好。它还对抗了由硝酸甘油引起的大脑生化变化,这通过组织病理学检查得到了证实。
总之,这些发现证实了与传统的佐米曲普坦溶液相比,基于薰衣草油的 ZMT-SNEDDS 在偏头痛管理方面具有显著的协同疗效和高功效。