Suppr超能文献

维生素A、D和锌影响犬脾脏白细胞的杀利什曼原虫活性。

Vitamins A and D and Zinc Affect the Leshmanicidal Activity of Canine Spleen Leukocytes.

作者信息

Hernandez Fabiana M de O, Santos Marilene O, Venturin Gabriela L, Bragato Jaqueline P, Rebech Gabriela T, Melo Larissa M, Costa Sidnei F, de Freitas Jéssica H, Siqueira Carlos Eduardo, Morais Déborah A, Júnior Wellington T de S, Júnior Fernando B, Lopes Flávia L, de Lima Valéria M F

机构信息

Department of Clinical Medicine, Surgery and Animal Reproduction, School of Veterinary Medicine, São Paulo State University (UNESP), Araçatuba 16050-680, SP, Brazil.

Toxicology and Metals Essentiality Department, School of Pharmaceutical Scienses, Sao Paulo University (USP), Ribeirão Preto 14040-903, SP, Brazil.

出版信息

Animals (Basel). 2021 Aug 31;11(9):2556. doi: 10.3390/ani11092556.

Abstract

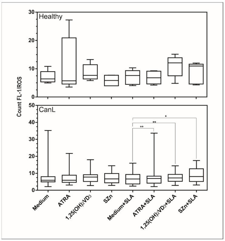
Canine leishmaniasis (CanL) is a chronic disease caused by , and the limitations of the current treatments have encouraged new alternatives, such as the use of immunomodulatory nutrients. The objective of this study was to determine the serum levels of vitamin A (retinol), vitamin D (25(OH)VD), and zinc (Zn) in dogs with CanL and the effect of in vitro supplementation with the respective active forms ATRA, 1,25(OH)VD, and SZn on spleen leukocyte cultures. Serum retinol, 25(OH)VD, and Zn were determined by HPLC, ELISA, and ICP-MS, respectively. Spleen leukocyte cultures were used for the detection of NO and ROS by flow cytometry; the IFN-γ, TNF-α, and IL-10 levels were determined by ELISA; and the parasite load was determined by microscopy. We detected low serum levels of retinol and Zn and high levels of 25(OH)VD in the CanL group. The in vitro supplementation of CanL spleen leukocytes with ATRA, 1,25(OH)VD, and SZn, in addition to a soluble leishmania antigen (SLA) treatment, increased the NO and ROS levels, while the treatments with only ATRA and SZn increased the TNF-a levels. Increased IL-10 and IFN-g levels were observed with the addition of SLA to the medium, although the addition of the three nutrients led to a reduction of the IL-10 levels, and the addition of 1,25(OH)VD and SZn led to a reduction of IFN-g. A supplementation with 1,25(OH)VD and SZn reduced the parasite load but only in the absence of SLA. We suggest that the nutrients we tested are involved in the leishmanicidal mechanism, showing a potential for investigation in future studies.

摘要

犬利什曼病(CanL)是一种由……引起的慢性疾病,当前治疗方法的局限性促使人们探索新的替代方案,例如使用免疫调节营养素。本研究的目的是测定患CanL犬的血清维生素A(视黄醇)、维生素D(25(OH)VD)和锌(Zn)水平,以及在体外分别用各自的活性形式全反式维甲酸(ATRA)、1,25(OH)VD和硫酸锌(SZn)对脾白细胞培养物进行补充的效果。血清视黄醇、25(OH)VD和Zn分别通过高效液相色谱法(HPLC)、酶联免疫吸附测定法(ELISA)和电感耦合等离子体质谱法(ICP-MS)测定。脾白细胞培养物用于通过流式细胞术检测一氧化氮(NO)和活性氧(ROS);通过ELISA测定干扰素-γ(IFN-γ)、肿瘤坏死因子-α(TNF-α)和白细胞介素-10(IL-10)水平;通过显微镜检查确定寄生虫载量。我们检测到CanL组血清视黄醇和Zn水平较低,而25(OH)VD水平较高。除了用可溶性利什曼原虫抗原(SLA)处理外,在体外对CanL脾白细胞补充ATRA、1,25(OH)VD和SZn可增加NO和ROS水平;而仅用ATRA和SZn处理可增加TNF-α水平。在培养基中添加SLA可观察到IL-10和IFN-γ水平升高,尽管添加这三种营养素会导致IL-10水平降低,添加1,25(OH)VD和SZn会导致IFN-γ水平降低。补充1,25(OH)VD和SZn可降低寄生虫载量,但仅在无SLA的情况下。我们认为我们测试的这些营养素参与了杀利什曼原虫机制,在未来研究中显示出研究潜力。

https://cdn.ncbi.nlm.nih.gov/pmc/blobs/e7bc/8468882/eaa80c6f6e30/animals-11-02556-g001.jpg

文献AI研究员

20分钟写一篇综述,助力文献阅读效率提升50倍。

立即体验

用中文搜PubMed

大模型驱动的PubMed中文搜索引擎

马上搜索

文档翻译

学术文献翻译模型,支持多种主流文档格式。

立即体验