Suppr超能文献

新型冠状病毒肺炎住院患者肌钙蛋白 T:动态变化很重要。

Troponin T in COVID-19 hospitalized patients: Kinetics matter.

机构信息

Department of Cardiology, Vrije Universiteit Brussel (VUB), Universitair Ziekenhuis Brussel, (Centrum voor Hart- en Vaatziekten), Brussels, Belgium.

CHU Limoges, Hôpital Dupuytren, Service Cardiologie, Limoges, France.

出版信息

Cardiol J. 2021;28(6):807-815. doi: 10.5603/CJ.a2021.0104. Epub 2021 Sep 28.

Abstract

BACKGROUND

Coronavirus disease 2019 (COVID-19) emerged as a worldwide health crisis, overwhelming healthcare systems. Elevated cardiac troponin T (cTn T) at admission was associated with increased in-hospital mortality. However, data addressing the role of cTn T in major adverse cardiovascular events (MACE) in COVID-19 are scarce. Therefore, we assessed the role of baseline cTn T and cTn T kinetics for MACE and in-hospital mortality prediction in COVID-19.

METHODS

Three hundred and ten patients were included prospectively. One hundred and eight patients were excluded due to incomplete records. Patients were divided into three groups according to cTn T kinetics: ascending, descending, and constant. The cTn T slope was defined as the ratio of the cTn T change over time. The primary and secondary endpoints were MACE and in-hospital mortality.

RESULTS

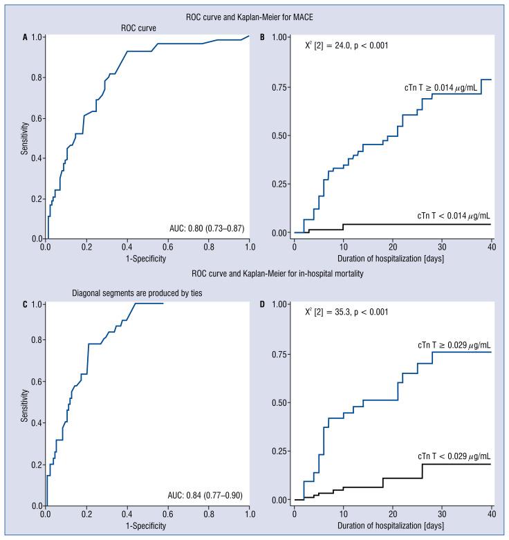
Two hundred and two patients were included in the analysis (mean age 64.4 ± 16.7 years, 119 [58.9%] males). Mean duration of hospitalization was 14.0 ± 12.3 days. Sixty (29.7%) patients had MACE, and 40 (19.8%) patients died. Baseline cTn T predicted both endpoints (p = 0.047, hazard ratio [HR] 1.805, 95% confidence interval [CI] 1.009-3.231; p = 0.009, HR 2.322, 95% CI 1.234-4.369). Increased cTn T slope predicted mortality (p = 0.041, HR 1.006, 95% CI 1.000-1.011). Constant cTn T was associated with lower MACE and mortality (p = 0.000, HR 3.080, 95% CI 1.914-4.954, p = 0.000, HR 2.851, 95% CI 1.828-4.447).

CONCLUSIONS

The present study emphasizes the additional role of cTn T testing in COVID-19 patients for risk stratification and improved diagnostic pathway and management.

摘要

背景

2019 年冠状病毒病(COVID-19)成为全球卫生危机,使医疗系统不堪重负。入院时升高的心肌肌钙蛋白 T(cTn T)与住院死亡率增加相关。然而,关于 cTn T 在 COVID-19 中的主要不良心血管事件(MACE)中的作用的数据很少。因此,我们评估了基线 cTn T 和 cTn T 动力学对 COVID-19 中 MACE 和住院死亡率的预测作用。

方法

前瞻性纳入 310 例患者。由于记录不完整,108 例患者被排除在外。根据 cTn T 动力学将患者分为三组:上升组、下降组和稳定组。cTn T 斜率定义为 cTn T 随时间的变化率。主要和次要终点为 MACE 和住院死亡率。

结果

202 例患者纳入分析(平均年龄 64.4±16.7 岁,119 例[58.9%]为男性)。平均住院时间为 14.0±12.3 天。60 例(29.7%)患者发生 MACE,40 例(19.8%)患者死亡。基线 cTn T 预测两个终点(p=0.047,风险比[HR]1.805,95%置信区间[CI]1.009-3.231;p=0.009,HR 2.322,95% CI 1.234-4.369)。cTn T 斜率增加预测死亡率(p=0.041,HR 1.006,95% CI 1.000-1.011)。cTn T 稳定与较低的 MACE 和死亡率相关(p=0.000,HR 3.080,95% CI 1.914-4.954,p=0.000,HR 2.851,95% CI 1.828-4.447)。

结论

本研究强调了在 COVID-19 患者中进行 cTn T 检测的额外作用,用于风险分层以及改善诊断途径和管理。

https://cdn.ncbi.nlm.nih.gov/pmc/blobs/c395/8747831/21ba23c19f02/cardj-28-6-807f1.jpg

文献AI研究员

20分钟写一篇综述,助力文献阅读效率提升50倍。

立即体验

用中文搜PubMed

大模型驱动的PubMed中文搜索引擎

马上搜索

文档翻译

学术文献翻译模型,支持多种主流文档格式。

立即体验