Nicoli Federico, Baroncini Massimo, Silvi Serena, Groppi Jessica, Credi Alberto
CLAN-Center for Light Activated Nanostructures Istituto ISOF-CNR via Gobetti 101 40129 Bologna Italy
Dipartimento di Chimica Industriale "Toso Montanari", Università di Bologna viale del Risorgimento 4 40136 Bologna Italy.
Org Chem Front. 2021 Jul 1;8(19):5531-5549. doi: 10.1039/d1qo00699a. eCollection 2021 Sep 28.
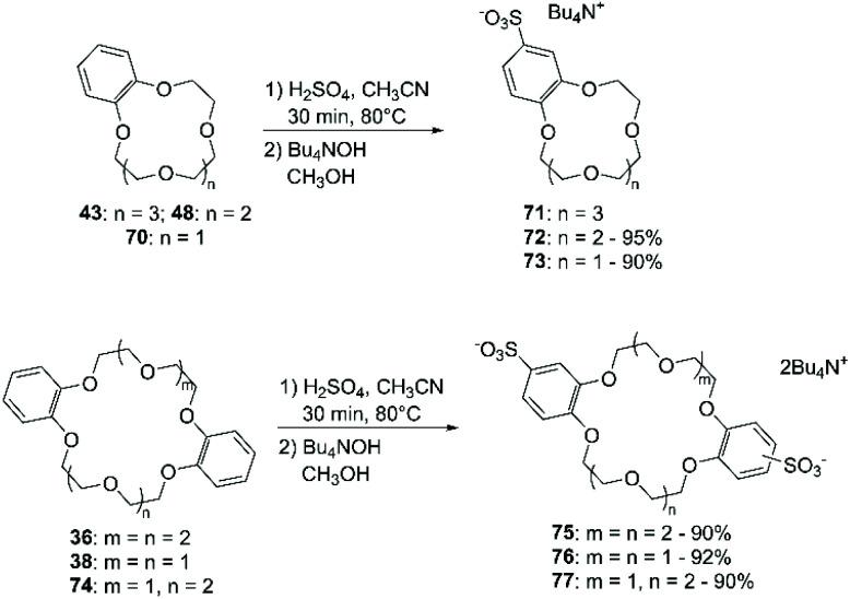
Crown ethers are macrocyclic hosts that can complex a wide range of inorganic and organic cations as well as neutral guest species. Their widespread utilization in several areas of fundamental and applied chemistry strongly relies on strategies for their functionalisation, in order to obtain compounds that could carry out multiple functions and could be incorporated in sophisticated systems. Although functionalised crown ethers are normally synthesised by templated macrocyclisation using appropriately substituted starting materials, the direct addition of functional groups onto a pre-formed macrocyclic framework is a valuable yet underexplored alternative. Here we review the methodologies for the direct functionalisation of aliphatic and aromatic crown ethers sporadically reported in the literature over a period of four decades. The general approach for the introduction of moieties on aliphatic crown ethers involves a radical mediated cross dehydrogenative coupling initiated either by photochemical or thermal/chemical activation, while aromatic crown ethers are commonly derivatised electrophilic aromatic substitution. Direct functionalization routes can reduce synthetic effort, allow the later modification of crown ether-based architectures, and disclose new ways to exploit these versatile macrocycles in contemporary supramolecular science and technology.
冠醚是大环主体化合物,能够与多种无机和有机阳离子以及中性客体物种形成络合物。它们在基础化学和应用化学的多个领域中广泛应用,这在很大程度上依赖于其功能化策略,以便获得能够执行多种功能并可纳入复杂体系的化合物。尽管功能化冠醚通常是通过使用适当取代的起始原料进行模板大环化反应来合成的,但将官能团直接添加到预先形成的大环骨架上是一种有价值但尚未充分探索的替代方法。在此,我们综述了在过去四十年间文献中偶尔报道的脂肪族和芳香族冠醚直接功能化的方法。在脂肪族冠醚上引入基团的一般方法涉及通过光化学或热/化学活化引发的自由基介导的交叉脱氢偶联反应,而芳香族冠醚通常通过亲电芳香取代反应进行衍生化。直接功能化路线可以减少合成工作量,允许对基于冠醚的结构进行后期修饰,并揭示在当代超分子科学和技术中利用这些多功能大环化合物的新方法。