Institute of Pharmacology and Toxicology, University of Zürich, Winterthurerstrasse 190, 8057, Zurich, Switzerland.
Sleep and Health Zurich, University Center of Competence, University of Zurich, Zurich, Switzerland.
Sci Rep. 2021 Oct 5;11(1):19734. doi: 10.1038/s41598-021-98376-z.
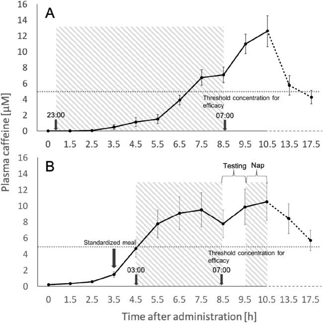
Sleep inertia is a disabling state of grogginess and impaired vigilance immediately upon awakening. The adenosine receptor antagonist, caffeine, is widely used to reduce sleep inertia symptoms, yet the initial, most severe impairments are hardly alleviated by post-awakening caffeine intake. To ameliorate this disabling state more potently, we developed an innovative, delayed, pulsatile-release caffeine formulation targeting an efficacious dose briefly before planned awakening. We comprehensively tested this formulation in two separate studies. First, we established the in vivo caffeine release profile in 10 young men. Subsequently, we investigated in placebo-controlled, double-blind, cross-over fashion the formulation's ability to improve sleep inertia in 22 sleep-restricted volunteers. Following oral administration of 160 mg caffeine at 22:30, we kept volunteers awake until 03:00, to increase sleep inertia symptoms upon scheduled awakening at 07:00. Immediately upon awakening, we quantified subjective state, psychomotor vigilance, cognitive performance, and followed the evolution of the cortisol awakening response. We also recorded standard polysomnography during nocturnal sleep and a 1-h nap opportunity at 08:00. Compared to placebo, the engineered caffeine formula accelerated the reaction time on the psychomotor vigilance task, increased positive and reduced negative affect scores, improved sleep inertia ratings, prolonged the cortisol awakening response, and delayed nap sleep latency one hour after scheduled awakening. Based on these findings, we conclude that this novel, pulsatile-release caffeine formulation facilitates the sleep-to-wake transition in sleep-restricted healthy adults. We propose that individuals suffering from disabling sleep inertia may benefit from this innovative approach.Trials registration: NCT04975360.
睡眠惯性是一种在觉醒后立即出现的昏昏欲睡和警觉性受损的致残状态。腺苷受体拮抗剂咖啡因被广泛用于减轻睡眠惯性症状,但在觉醒后摄入咖啡因几乎不能缓解最初最严重的损伤。为了更有效地改善这种致残状态,我们开发了一种创新的、延迟的、脉冲释放的咖啡因配方,旨在在计划觉醒前短暂时间内达到有效剂量。我们在两项独立的研究中全面测试了这种配方。首先,我们在 10 名年轻男性中确定了体内咖啡因释放曲线。随后,我们以安慰剂对照、双盲、交叉的方式研究了该配方在 22 名睡眠受限志愿者中改善睡眠惯性的能力。志愿者在 22:30 时口服 160mg 咖啡因后保持清醒,直到 03:00,以增加 07:00 时计划觉醒时的睡眠惯性症状。志愿者一觉醒,我们就评估主观状态、精神运动警觉性、认知表现,并跟踪皮质醇觉醒反应的演变。我们还在夜间睡眠期间和 08:00 的 1 小时小睡机会期间记录标准多导睡眠图。与安慰剂相比,工程化的咖啡因配方加速了精神运动警觉任务的反应时间,增加了积极情绪评分,降低了消极情绪评分,改善了睡眠惯性评分,延长了皮质醇觉醒反应,并在计划觉醒后一小时延迟了小睡潜伏期。基于这些发现,我们得出结论,这种新型脉冲释放咖啡因配方有助于睡眠受限的健康成年人从睡眠到觉醒的过渡。我们建议患有致残性睡眠惯性的个体可能会受益于这种创新方法。试验注册:NCT04975360。