Albendín María Gemma, Aranda Vanessa, Coello María Dolores, González-Gómez Carmen, Rodríguez-Barroso Rocío, Quiroga José María, Arellano Juana María
Toxicology Laboratory, University Institute of Marine Research (INMAR), International Campus of Excellence of the Sea (CEI MAR), Faculty of Marine and Environmental Sciences, University of Cádiz, 11510 Cádiz, Spain.
Environmental Technologies Department, University Institute of Marine Research (INMAR), International Campus of Excellence of the Sea (CEI MAR), Faculty of Marine and Environmental Sciences, University of Cádiz, 11510 Cádiz, Spain.
Int J Environ Res Public Health. 2021 Oct 14;18(20):10773. doi: 10.3390/ijerph182010773.
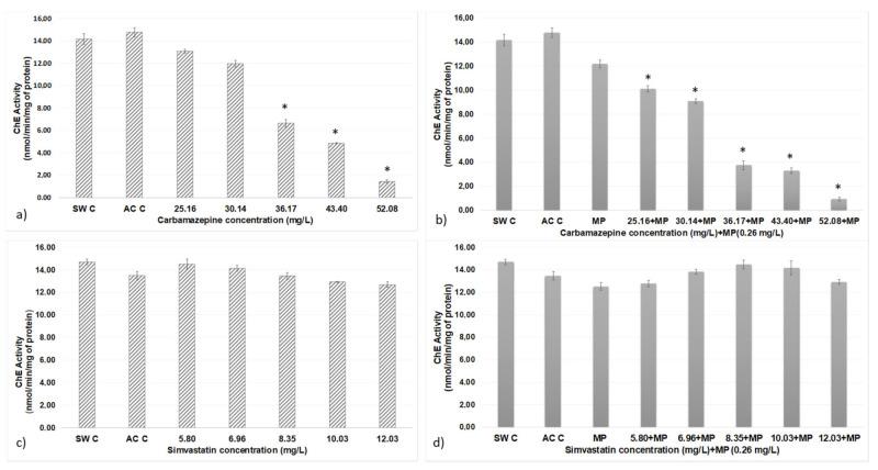
Pharmaceutical products, as well as insecticides and antimicrobials, have been extensively studied, but knowledge of their effects-especially those caused by their mixtures with microplastics-on aquatic organisms remains limited. However, it should be borne in mind that the state of knowledge on acute and chronic effects in aquatic organisms for pharmaceuticals and pesticides is not similar. In response, this investigation analyzed the presence of microplastics (polyvinyl chloride) and their impacts on the toxicity of chlorpyrifos (an insecticide) and triclosan (an antibacterial) when they coincide in the environment, alongside the two most consumed drugs of their type (hypolipemic and anticonvulsant, respectively), namely simvastatin and carbamazepine, in . LC and cholinesterase enzyme activity were calculated to determine the possible neurotoxicity associated with emergent contaminants in the treatments. The LC values obtained were 0.006 mg/dm for chlorpyrifos, 0.012 mg/dm for chlorpyrifos associated with microplastics, 4.979 mg/dm for triclosan, 4.957 mg/dm for triclosan associated with microplastics, 9.35 mg/dm for simvastatin, 10.29 mg/dm for simvastatin associated with microplastics, 43.25 mg/dm for carbamazepine and 46.50 mg/dm for carbamazepine associated with microplastics in acute exposure. These results indicate that the presence of microplastics in the medium reduces toxicity, considering the LC values. However, exposure to chlorpyrifos and carbamazepine, both alone and associated with microplastics, showed a decline in cholinesterase activity, confirming their neurotoxic effect. Nevertheless, no significant differences were observed with the biomarker cholinesterase between the toxicant and the toxicant with microplastics.
药品以及杀虫剂和抗菌剂都已得到广泛研究,但它们对水生生物的影响,尤其是与微塑料混合后的影响,相关知识仍然有限。然而,应该记住的是,关于药品和农药对水生生物的急性和慢性影响的知识状况并不相同。作为回应,本研究分析了微塑料(聚氯乙烯)的存在及其在环境中与毒死蜱(一种杀虫剂)和三氯生(一种抗菌剂)同时存在时对它们毒性的影响,同时还研究了这两类中最常用的两种药物(分别为降血脂药和抗惊厥药),即辛伐他汀和卡马西平。计算了半数致死浓度(LC)和胆碱酯酶活性,以确定处理中与新兴污染物相关的可能神经毒性。急性暴露时,毒死蜱的LC值为0.006毫克/立方分米,与微塑料相关的毒死蜱为0.012毫克/立方分米,三氯生为4.979毫克/立方分米,与微塑料相关的三氯生为4.957毫克/立方分米,辛伐他汀为9.35毫克/立方分米,与微塑料相关的辛伐他汀为10.29毫克/立方分米,卡马西平为43.25毫克/立方分米,与微塑料相关的卡马西平为46.50毫克/立方分米。这些结果表明,从LC值来看,介质中微塑料的存在降低了毒性。然而,单独暴露于毒死蜱和卡马西平以及与微塑料一起暴露时,胆碱酯酶活性均有所下降,证实了它们的神经毒性作用。尽管如此,在有毒物质和含有微塑料的有毒物质之间,生物标志物胆碱酯酶未观察到显著差异。