Suppr超能文献

慢性和复发性带状疱疹性眼病。

Chronic and Recurrent Herpes Zoster Ophthalmicus.

机构信息

Nunemiso Eye Center, Seoul 06241, Korea.

Department of Ophthalmology, Samsung Medical Center, Sungkyunkwan University School of Medicine, Seoul 06351, Korea.

出版信息

Medicina (Kaunas). 2021 Sep 22;57(10):999. doi: 10.3390/medicina57100999.

Abstract

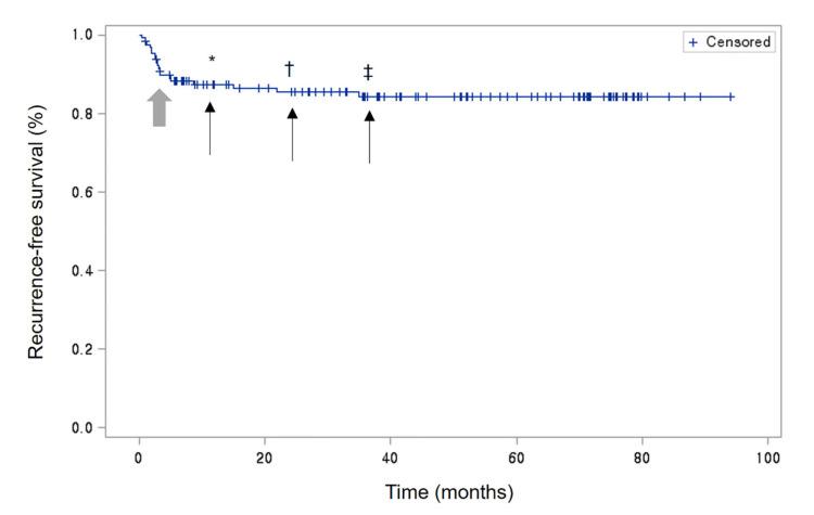
: This study sought to investigate the natural course, the chronicity and recurrence rate, and the risk factors of chronic and recurrent herpes zoster ophthalmicus (HZO). We also evaluated the effects of long-term treatment for HZO. : Patients diagnosed and treated for HZO were included in the retrospective medical chart review. Multivariable-adjusted logistic and Cox regression models were used to show risk factors for chronic and recurrent HZO along with hazard ratios (HRs) and 95% confidence intervals (CIs). : Among a total 130 of HZO patients, 31 patients (23.85%) had chronic disease and 19 patients (14.62%) had recurrent disease. The rate of chronic disease was higher in HZO with conjunctivitis, epithelial keratitis, and stromal keratitis. The recurrence rate increased in patients with chronic HZO (HR: 34.4, 95% CI: 3.6-324.6), epithelial keratitis (HR: 5.5, 95% CI: 1.3-30.0), stromal keratitis (HR: 18.8, 95% CI: 3.0-120.8), and increased intraocular pressure (IOP) (HR: 7.3, 95% CI: 1.6-33.2). Length of systemic antiviral therapy and anti-inflammatory eyedrop treatment were not associated with recurrent HZO ( = 0.847 and = 0.660, respectively). The most common ocular manifestation for recurrent HZO was stromal keratitis. : This study demonstrated a considerable frequency of chronic and recurrent HZO. Chronic HZO in the form of epithelial or stromal keratitis with increased IOP provoked a significant rise in the risk of recurrence.

摘要

这项研究旨在调查带状疱疹性眼病(herpes zoster ophthalmicus,HZO)的自然病程、慢性和复发性发生率以及复发的危险因素,同时评估 HZO 的长期治疗效果。

我们对诊断和治疗 HZO 的患者进行了回顾性病历分析。采用多变量调整的逻辑回归和 Cox 回归模型,以展示慢性和复发性 HZO 的危险因素,以及风险比(hazard ratio,HR)和 95%置信区间(confidence interval,CI)。

在总共 130 例 HZO 患者中,31 例(23.85%)患有慢性疾病,19 例(14.62%)患有复发性疾病。结膜炎、上皮角膜炎和基质角膜炎患者的慢性疾病发生率较高。慢性 HZO 患者的复发率增加(HR:34.4,95%CI:3.6-324.6)、上皮角膜炎(HR:5.5,95%CI:1.3-30.0)、基质角膜炎(HR:18.8,95%CI:3.0-120.8)和眼压升高(HR:7.3,95%CI:1.6-33.2)。全身抗病毒治疗和抗炎滴眼治疗的时间与复发性 HZO 无关(分别为=0.847 和=0.660)。复发性 HZO 最常见的眼部表现为基质角膜炎。

本研究表明,慢性和复发性 HZO 的发生率相当高。以上皮或基质角膜炎形式出现并伴有眼压升高的慢性 HZO,显著增加了复发的风险。

https://cdn.ncbi.nlm.nih.gov/pmc/blobs/de7f/8540768/872c51658c37/medicina-57-00999-g001.jpg

文献检索

告别复杂PubMed语法,用中文像聊天一样搜索,搜遍4000万医学文献。AI智能推荐,让科研检索更轻松。

立即免费搜索

文件翻译

保留排版,准确专业,支持PDF/Word/PPT等文件格式,支持 12+语言互译。

免费翻译文档

深度研究

AI帮你快速写综述,25分钟生成高质量综述,智能提取关键信息,辅助科研写作。

立即免费体验