• 文献检索
  • 文档翻译
  • 深度研究
  • 学术资讯
  • Suppr Zotero 插件Zotero 插件
  • 邀请有礼
  • 套餐&价格
  • 历史记录
应用&插件
Suppr Zotero 插件Zotero 插件浏览器插件Mac 客户端Windows 客户端微信小程序
定价
高级版会员购买积分包购买API积分包
服务
文献检索文档翻译深度研究API 文档MCP 服务
关于我们
关于 Suppr公司介绍联系我们用户协议隐私条款
关注我们

Suppr 超能文献

核心技术专利:CN118964589B侵权必究
粤ICP备2023148730 号-1Suppr @ 2026

文献检索

告别复杂PubMed语法,用中文像聊天一样搜索,搜遍4000万医学文献。AI智能推荐,让科研检索更轻松。

立即免费搜索

文件翻译

保留排版,准确专业,支持PDF/Word/PPT等文件格式,支持 12+语言互译。

免费翻译文档

深度研究

AI帮你快速写综述,25分钟生成高质量综述,智能提取关键信息,辅助科研写作。

立即免费体验

印度焦赖亚盆地巴拉卡尔组和无矿段富碳气页岩的孔隙结构变化及相关分形维数

Variation in Pore Structure and Associated Fractal Dimensions of Barakar and Barren Measures Carbon-Rich Gas Shales of Jharia Basin, India.

作者信息

Khangar Ranjit Gangadhar, Mendhe Vinod Atmaram, Kamble Alka Damodhar, Ranjan Das Piyush, Shukla Priyanka, Bannerjee Mollika, Varma Atul Kumar

机构信息

Department of Applied Geology, Indian Institute of Technology (ISM), Dhanbad 826004, Jharkhand, India.

CSIR-Central Institute of Mining and Fuel Research, Dhanbad 826015, Jharkhand, India.

出版信息

ACS Omega. 2021 Oct 21;6(43):28678-28698. doi: 10.1021/acsomega.1c03340. eCollection 2021 Nov 2.

DOI:10.1021/acsomega.1c03340
PMID:34746563
原文链接:https://pmc.ncbi.nlm.nih.gov/articles/PMC8567269/
Abstract

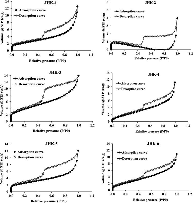
The carbon-rich Barakar and Barren Measures shale beds of the Jharia basin were evaluated for variation in pore size, pore structure, and fractal dimensions. The shale core samples were obtained from exploratory boreholes drilled at the Jharia basin. The shale samples were analyzed for organo-inorganic composition by FTIR, pore size, and pore structure using BET low-pressure N adsorption and pore geometry through FE-SEM photographs. The shale samples have significant carbon-rich content and are intercalated-banded in nature. The pore structures were evaluated through N isotherms and validated by SEM images, revealing the mixed contribution of organo-inorganic matter in pore formations controlled by geochemical alteration, diagenesis, and mineral interaction. The rough internal surfaces of the pore were evaluated by categorizing them into fractals , , and . It is observed that the type of fractals is in abundance associated with mesopores. The positive trend of fractals with pore size, pore structure, depth, fixed carbon, and TOC suggests the influence of different parameters on the formation of pore internal rugged surfaces in shale beds. The FE-SEM images indicate shallow to deep pores with different pore structures with fair to good pore connectivity. In summary, the shale beds of Jharia have heterogeneous complex pore structures, a rough surface, and sorption mechanisms controlled by weathering/alteration, depositional conditions, and organo-inorganic content. In shale beds, gas storage and transport phenomena are directly related to pore size distribution, pore structure, and associated fractal dimensions. The calculated values using the proposed empirical models for porosity (EPO) and permeability (EPE) showed excellent linear correlation with the measured porosity (MPOc, = 0.8577) and permeability (MPEc, = 0.8577), which are close to measured values. The curve matching of EPO with MPOc and EPE with MPEc follows a similar path, validating the results and suitability of the models. Hence, the proposed models may be considered to estimate the porosity and permeability of shale and coal beds.

摘要

对贾里亚盆地富含碳的巴拉卡尔和巴伦梅asures页岩层的孔径、孔隙结构和分形维数变化进行了评估。页岩岩芯样本取自贾里亚盆地的勘探钻孔。通过傅里叶变换红外光谱仪(FTIR)分析页岩样本的有机-无机成分,使用BET低压氮吸附法分析孔径和孔隙结构,并通过场发射扫描电子显微镜(FE-SEM)照片分析孔隙几何形状。页岩样本富含碳,本质上是夹层带状的。通过氮等温线评估孔隙结构,并通过扫描电子显微镜图像进行验证,揭示了在地球化学蚀变、成岩作用和矿物相互作用控制下,有机-无机物质在孔隙形成中的混合贡献。通过将孔隙的粗糙内表面分类为分形 、 和 来进行评估。观察到 型分形大量存在于中孔中。分形与孔径、孔隙结构、深度、固定碳和总有机碳(TOC)的正相关趋势表明不同参数对页岩层孔隙内部粗糙表面形成的影响。FE-SEM图像显示了具有不同孔隙结构、孔隙连通性良好至中等的浅孔到深孔。总之,贾里亚的页岩层具有非均质性复杂孔隙结构、粗糙表面以及受风化/蚀变、沉积条件和有机-无机含量控制的吸附机制。在页岩层中,气体储存和传输现象与孔径分布、孔隙结构和相关分形维数直接相关。使用所提出的孔隙率(EPO)和渗透率(EPE)经验模型计算的值与测量的孔隙率(MPOc, = 0.8577)和渗透率(MPEc, = 0.8577)显示出极好的线性相关性,接近测量值。EPO与MPOc以及EPE与MPEc的曲线匹配遵循相似路径,验证了模型的结果和适用性。因此,所提出的模型可用于估计页岩和煤层的孔隙率和渗透率。

https://cdn.ncbi.nlm.nih.gov/pmc/blobs/bf03/8567269/7cb4e7c25622/ao1c03340_0018.jpg
https://cdn.ncbi.nlm.nih.gov/pmc/blobs/bf03/8567269/1449745c424e/ao1c03340_0002.jpg
https://cdn.ncbi.nlm.nih.gov/pmc/blobs/bf03/8567269/b0ca6b6a9b01/ao1c03340_0003.jpg
https://cdn.ncbi.nlm.nih.gov/pmc/blobs/bf03/8567269/d7bb46289ab1/ao1c03340_0004.jpg
https://cdn.ncbi.nlm.nih.gov/pmc/blobs/bf03/8567269/014de16a7005/ao1c03340_0005.jpg
https://cdn.ncbi.nlm.nih.gov/pmc/blobs/bf03/8567269/2959c07ca747/ao1c03340_0006.jpg
https://cdn.ncbi.nlm.nih.gov/pmc/blobs/bf03/8567269/76cdcc8af29a/ao1c03340_0007.jpg
https://cdn.ncbi.nlm.nih.gov/pmc/blobs/bf03/8567269/3bf94c89d5eb/ao1c03340_0008.jpg
https://cdn.ncbi.nlm.nih.gov/pmc/blobs/bf03/8567269/a6028bff58f5/ao1c03340_0009.jpg
https://cdn.ncbi.nlm.nih.gov/pmc/blobs/bf03/8567269/7f317a44ca06/ao1c03340_0010.jpg
https://cdn.ncbi.nlm.nih.gov/pmc/blobs/bf03/8567269/ff0d43e7b9f9/ao1c03340_0011.jpg
https://cdn.ncbi.nlm.nih.gov/pmc/blobs/bf03/8567269/0c49b68cc1d7/ao1c03340_0012.jpg
https://cdn.ncbi.nlm.nih.gov/pmc/blobs/bf03/8567269/f0b35588722f/ao1c03340_0013.jpg
https://cdn.ncbi.nlm.nih.gov/pmc/blobs/bf03/8567269/a3f6b0fb2636/ao1c03340_0014.jpg
https://cdn.ncbi.nlm.nih.gov/pmc/blobs/bf03/8567269/296f961cd0f5/ao1c03340_0015.jpg
https://cdn.ncbi.nlm.nih.gov/pmc/blobs/bf03/8567269/4d145c508c68/ao1c03340_0016.jpg
https://cdn.ncbi.nlm.nih.gov/pmc/blobs/bf03/8567269/ba7e55ba260f/ao1c03340_0017.jpg
https://cdn.ncbi.nlm.nih.gov/pmc/blobs/bf03/8567269/7cb4e7c25622/ao1c03340_0018.jpg
https://cdn.ncbi.nlm.nih.gov/pmc/blobs/bf03/8567269/1449745c424e/ao1c03340_0002.jpg
https://cdn.ncbi.nlm.nih.gov/pmc/blobs/bf03/8567269/b0ca6b6a9b01/ao1c03340_0003.jpg
https://cdn.ncbi.nlm.nih.gov/pmc/blobs/bf03/8567269/d7bb46289ab1/ao1c03340_0004.jpg
https://cdn.ncbi.nlm.nih.gov/pmc/blobs/bf03/8567269/014de16a7005/ao1c03340_0005.jpg
https://cdn.ncbi.nlm.nih.gov/pmc/blobs/bf03/8567269/2959c07ca747/ao1c03340_0006.jpg
https://cdn.ncbi.nlm.nih.gov/pmc/blobs/bf03/8567269/76cdcc8af29a/ao1c03340_0007.jpg
https://cdn.ncbi.nlm.nih.gov/pmc/blobs/bf03/8567269/3bf94c89d5eb/ao1c03340_0008.jpg
https://cdn.ncbi.nlm.nih.gov/pmc/blobs/bf03/8567269/a6028bff58f5/ao1c03340_0009.jpg
https://cdn.ncbi.nlm.nih.gov/pmc/blobs/bf03/8567269/7f317a44ca06/ao1c03340_0010.jpg
https://cdn.ncbi.nlm.nih.gov/pmc/blobs/bf03/8567269/ff0d43e7b9f9/ao1c03340_0011.jpg
https://cdn.ncbi.nlm.nih.gov/pmc/blobs/bf03/8567269/0c49b68cc1d7/ao1c03340_0012.jpg
https://cdn.ncbi.nlm.nih.gov/pmc/blobs/bf03/8567269/f0b35588722f/ao1c03340_0013.jpg
https://cdn.ncbi.nlm.nih.gov/pmc/blobs/bf03/8567269/a3f6b0fb2636/ao1c03340_0014.jpg
https://cdn.ncbi.nlm.nih.gov/pmc/blobs/bf03/8567269/296f961cd0f5/ao1c03340_0015.jpg
https://cdn.ncbi.nlm.nih.gov/pmc/blobs/bf03/8567269/4d145c508c68/ao1c03340_0016.jpg
https://cdn.ncbi.nlm.nih.gov/pmc/blobs/bf03/8567269/ba7e55ba260f/ao1c03340_0017.jpg
https://cdn.ncbi.nlm.nih.gov/pmc/blobs/bf03/8567269/7cb4e7c25622/ao1c03340_0018.jpg

相似文献

1
Variation in Pore Structure and Associated Fractal Dimensions of Barakar and Barren Measures Carbon-Rich Gas Shales of Jharia Basin, India.印度焦赖亚盆地巴拉卡尔组和无矿段富碳气页岩的孔隙结构变化及相关分形维数
ACS Omega. 2021 Oct 21;6(43):28678-28698. doi: 10.1021/acsomega.1c03340. eCollection 2021 Nov 2.
2
Petrographic and Geochemical Controls on Methane Genesis, Pore Fractal Attributes, and Sorption of Lower Gondwana Coal of Jharia Basin, India.印度焦里亚盆地冈瓦纳下组煤甲烷生成、孔隙分形属性及吸附的岩相学和地球化学控制因素
ACS Omega. 2021 Dec 28;7(1):299-324. doi: 10.1021/acsomega.1c02040. eCollection 2022 Jan 11.
3
Nanopore Structure and Fractal Characteristics of Lacustrine Shale: Implications for Shale Gas Storage and Production Potential.湖相页岩的纳米孔隙结构与分形特征:对页岩气储存与生产潜力的启示
Nanomaterials (Basel). 2019 Mar 7;9(3):390. doi: 10.3390/nano9030390.
4
Fractal Characteristics of the Middle-Upper Ordovician Marine Shale Nano-Scale Porous Structure from the Ordos Basin, Northeast China.中国东北鄂尔多斯盆地中上奥陶统海相页岩纳米级孔隙结构的分形特征。
J Nanosci Nanotechnol. 2021 Jan 1;21(1):274-283. doi: 10.1166/jnn.2021.18885.
5
Nanoscale pore structure and fractal characteristics of lacustrine shale: A case study of the Upper Cretaceous Qingshankou shales, Southern Songliao Basin, China.湖相页岩的纳米级孔隙结构和分形特征——以中国松辽盆地南部白垩系上统青山口组为例。
PLoS One. 2024 Oct 18;19(10):e0309346. doi: 10.1371/journal.pone.0309346. eCollection 2024.
6
Study on the Pore Structure and Fractal Characteristics of Different Lithofacies of Wufeng-Longmaxi Formation Shale in Southern Sichuan Basin, China.中国四川盆地南部五峰—龙马溪组页岩不同岩相孔隙结构与分形特征研究
ACS Omega. 2022 Mar 3;7(10):8724-8738. doi: 10.1021/acsomega.1c06913. eCollection 2022 Mar 15.
7
Multi-Angle Investigation of the Fractal Characteristics of Nanoscale Pores in the Lower Cambrian Niutitang Shale and Their Implications for CH₄ Adsorption.纳米级孔隙分形特征的多角研究及其对下寒武统牛蹄塘页岩 CH₄ 吸附的启示
J Nanosci Nanotechnol. 2021 Jan 1;21(1):156-167. doi: 10.1166/jnn.2021.18463.
8
Organo-Lithotype Controls on Cleat/Fractures, Matrix-Associated Pores, and Physicomechanical Properties of Coal Seams of Raniganj Coalfield, India.印度拉尼根杰煤田煤层割理/裂隙、基质相关孔隙及物理力学性质的有机岩相控制
ACS Omega. 2021 Jul 21;6(31):20218-20248. doi: 10.1021/acsomega.1c02041. eCollection 2021 Aug 10.
9
Fractal Characteristics and Significance of Different Pore Types of the Wufeng-Longmaxi Formation, Southern Sichuan Basin, China, Based on N Adsorption and Image Analysis.基于N吸附和图像分析的中国四川盆地南部五峰-龙马溪组不同孔隙类型的分形特征及意义
ACS Omega. 2021 Nov 10;6(46):30889-30900. doi: 10.1021/acsomega.1c02539. eCollection 2021 Nov 23.
10
Fractal characteristics of shale pore structure and its influence on seepage flow.页岩孔隙结构的分形特征及其对渗流的影响。
R Soc Open Sci. 2021 May 19;8(5):202271. doi: 10.1098/rsos.202271.

引用本文的文献

1
Influence of Petrographic, Geochemical, and Pore-Associated Matrix Characteristics on CH and CO Sorption of Coal and Shale from Early Permian-Gondwana Deposits, India.岩石学、地球化学及孔隙相关基质特征对印度早二叠世冈瓦纳沉积煤和页岩CH及CO吸附的影响
ACS Omega. 2025 Jul 11;10(28):30060-30086. doi: 10.1021/acsomega.4c11499. eCollection 2025 Jul 22.
2
Porous Structure and Fractal Dimensions of Activated Carbon Prepared from Waste Coffee Grounds.废弃咖啡渣制备活性炭的孔隙结构与分形维数
Materials (Basel). 2023 Sep 8;16(18):6127. doi: 10.3390/ma16186127.

本文引用的文献

1
Pore size dependent molecular adsorption of cationic dye in biomass derived hierarchically porous carbon.生物质衍生的分级多孔碳中阳离子染料的孔径依赖性分子吸附
J Environ Manage. 2017 Jul 1;196:168-177. doi: 10.1016/j.jenvman.2017.03.013. Epub 2017 Mar 9.