Suppr超能文献

通过植入成形术获得的Ti6Al4V颗粒的物理化学和生物学特性:一项体外研究。第一部分。

Physicochemical and Biological Characterization of Ti6Al4V Particles Obtained by Implantoplasty: An In Vitro Study. Part I.

作者信息

Toledano-Serrabona Jorge, Gil Francisco Javier, Camps-Font Octavi, Valmaseda-Castellón Eduard, Gay-Escoda Cosme, Sánchez-Garcés Maria Ángeles

机构信息

Bellvitge Biomedical Research Institute (IDIBELL), Department of Oral Surgery and Implantology, Faculty of Medicine and Health Sciences, University of Barcelona, 08907 Barcelona, Spain.

Bioengineering Institute of Technology, International University of Catalonia, 08195 Barcelona, Spain.

出版信息

Materials (Basel). 2021 Oct 29;14(21):6507. doi: 10.3390/ma14216507.

Abstract

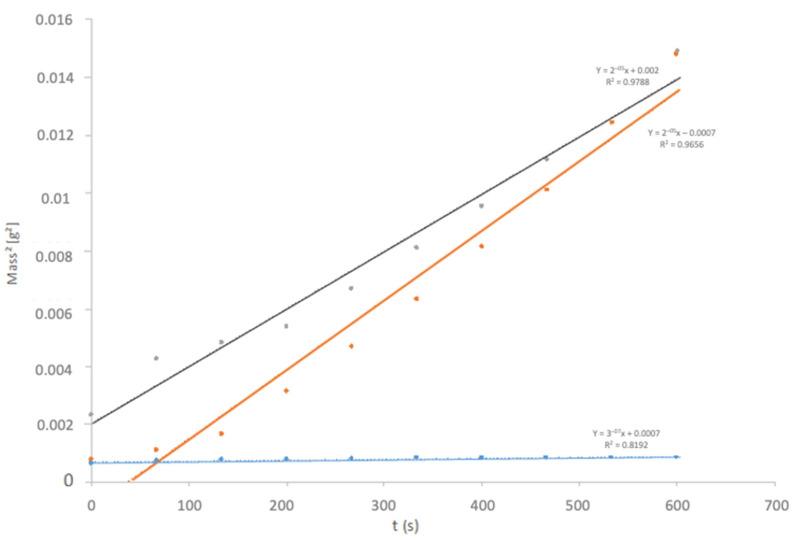
Implantoplasty is a mechanical decontamination technique that consists of polishing the supra-osseous component of the dental implant with peri-implantitis. This technique releases metal particles in the form of metal swarf and dust into the peri-implant environment. In the present in vitro study, the following physicochemical characterization tests were carried out: specific surface area, granulometry, contact angle, crystalline structure, morphology, and ion release. Besides, cytotoxicity was in turn evaluated by determining the fibroblastic and osteoblastic cell viability. As a result, the metal debris obtained by implantoplasty presented an equivalent diameter value of 159 µm (range 6-1850 µm) and a specific surface area of 0.3 m/g on average. The particle had a plate-like shape of different sizes. The release of vanadium ions in Hank's solution at 37 °C showed no signs of stabilization and was greater than that of titanium and aluminum ions, which means that the alloy suffers from a degradation. The particles exhibited cytotoxic effects upon human osteoblastic and fibroblastic cells in the whole extract. In conclusion, metal debris released by implantoplasty showed different sizes, surface structures and shapes. Vanadium ion levels were higher than that those of the other metal ions, and cell viability assays showed that these particles produce a significant loss of cytocompatibility on osteoblasts and fibroblasts, which means that the main cells of the peri-implant tissues might be injured.

摘要

种植体表面修整术是一种机械去污技术,包括对患有种植体周围炎的牙种植体的骨上部分进行抛光。该技术会将金属碎屑和粉尘形式的金属颗粒释放到种植体周围环境中。在本体外研究中,进行了以下物理化学特性测试:比表面积、粒度分析、接触角、晶体结构、形态和离子释放。此外,通过测定成纤维细胞和成骨细胞的活力来评估细胞毒性。结果,通过种植体表面修整术获得的金属碎屑的等效直径值为159 µm(范围为6 - 1850 µm),平均比表面积为0.3 m/g。颗粒呈不同尺寸的板状。在37°C的汉克溶液中钒离子的释放没有稳定迹象,且高于钛离子和铝离子的释放,这意味着该合金发生了降解。这些颗粒在全提取物中对人成骨细胞和成纤维细胞表现出细胞毒性作用。总之,种植体表面修整术释放的金属碎屑呈现出不同的尺寸、表面结构和形状。钒离子水平高于其他金属离子,细胞活力测定表明这些颗粒对成骨细胞和成纤维细胞的细胞相容性产生了显著损失,这意味着种植体周围组织的主要细胞可能会受到损伤。

https://cdn.ncbi.nlm.nih.gov/pmc/blobs/2d11/8585232/caee939b97a5/materials-14-06507-g001.jpg

文献AI研究员

20分钟写一篇综述,助力文献阅读效率提升50倍。

立即体验

用中文搜PubMed

大模型驱动的PubMed中文搜索引擎

马上搜索

文档翻译

学术文献翻译模型,支持多种主流文档格式。

立即体验