Suppr超能文献

在野依-池谷型不对称转移氢化催化剂中,金属的构型重要吗?

Does the Configuration at the Metal Matter in Noyori-Ikariya Type Asymmetric Transfer Hydrogenation Catalysts?

作者信息

Hall Andrew M R, Berry Daniel B G, Crossley Jaime N, Codina Anna, Clegg Ian, Lowe John P, Buchard Antoine, Hintermair Ulrich

机构信息

Centre for Sustainable & Circular Technologies, University of Bath, Claverton Down, Bath BA2 7AY, United Kingdom.

Dynamic Reaction Monitoring Facility, University of Bath, Claverton Down, Bath BA2 7AY, United Kingdom.

出版信息

ACS Catal. 2021 Nov 5;11(21):13649-13659. doi: 10.1021/acscatal.1c03636. Epub 2021 Oct 26.

Abstract

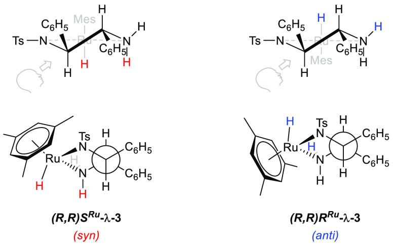
Noyori-Ikariya type [(arene)RuCl(TsDPEN)] (TsDPEN, sulfonated diphenyl ethylenediamine) complexes are widely used C=O and C=N reduction catalysts that produce chiral alcohols and amines via a key ruthenium-hydride intermediate that determines the stereochemistry of the product. Whereas many details about the interactions of the pro-chiral substrate with the hydride complex and the nature of the hydrogen transfer from the latter to the former have been investigated over the past 25 years, the role of the stereochemical configuration at the stereogenic ruthenium center in the catalysis has not been elucidated so far. Using FlowNMR spectroscopy and nuclear Overhauser effect spectroscopy, we show the existence of two diastereomeric hydride complexes under reaction conditions, assign their absolute configurations in solution, and monitor their interconversion during transfer hydrogenation catalysis. Configurational analysis and multifunctional density functional theory (DFT) calculations show the λ-(,) configured [(mesitylene)RuH(TsDPEN)] complex to be both thermodynamically and kinetically favored over its λ-(,) isomer with the opposite configuration at the metal. Computational analysis of both diastereomeric catalytic manifolds show the major λ-(,) configured [(mesitylene)RuH(TsDPEN)] complex to dominate asymmetric ketone reduction catalysis with the minor λ-(,) [(mesitylene)RuH(TsDPEN)] stereoisomer being both less active and less enantioselective. These findings also hold true for a tethered catalyst derivative with a propyl linker between the arene and TsDPEN ligands and thus show enantioselective transfer hydrogenation catalysis with Noyori-Ikariya complexes to proceed via a lock-and-key mechanism.

摘要

野依-池谷型[(芳烃)RuCl(TsDPEN)](TsDPEN,磺化二苯基乙二胺)配合物是广泛使用的C=O和C=N还原催化剂,通过决定产物立体化学的关键氢化钌中间体生成手性醇和胺。尽管在过去25年里已经研究了许多关于前手性底物与氢化配合物相互作用以及氢从后者转移到前者的性质的细节,但目前尚未阐明手性钌中心的立体化学构型在催化中的作用。通过流动核磁共振光谱和核Overhauser效应光谱,我们发现在反应条件下存在两种非对映异构的氢化配合物,确定了它们在溶液中的绝对构型,并监测了它们在转移氢化催化过程中的相互转化。构型分析和多功能密度泛函理论(DFT)计算表明,λ-(,)构型的[(均三甲苯)RuH(TsDPEN)]配合物在热力学和动力学上都比其在金属上具有相反构型的λ-(,)异构体更有利。对两种非对映异构催化流形的计算分析表明,主要的λ-(,)构型[(均三甲苯)RuH(TsDPEN)]配合物主导不对称酮还原催化,而次要的λ-(,) [(均三甲苯)RuH(TsDPEN)]立体异构体活性较低且对映选择性较低。这些发现对于芳烃和TsDPEN配体之间带有丙基连接基的 tethered 催化剂衍生物也成立,因此表明野依-池谷型配合物的对映选择性转移氢化催化通过锁钥机制进行。

https://cdn.ncbi.nlm.nih.gov/pmc/blobs/ba26/8576814/02ecbe8b404d/cs1c03636_0005.jpg

文献AI研究员

20分钟写一篇综述,助力文献阅读效率提升50倍。

立即体验

用中文搜PubMed

大模型驱动的PubMed中文搜索引擎

马上搜索

文档翻译

学术文献翻译模型,支持多种主流文档格式。

立即体验