• 文献检索
  • 文档翻译
  • 深度研究
  • 学术资讯
  • Suppr Zotero 插件Zotero 插件
  • 邀请有礼
  • 套餐&价格
  • 历史记录
应用&插件
Suppr Zotero 插件Zotero 插件浏览器插件Mac 客户端Windows 客户端微信小程序
定价
高级版会员购买积分包购买API积分包
服务
文献检索文档翻译深度研究API 文档MCP 服务
关于我们
关于 Suppr公司介绍联系我们用户协议隐私条款
关注我们

Suppr 超能文献

核心技术专利:CN118964589B侵权必究
粤ICP备2023148730 号-1Suppr @ 2026

文献检索

告别复杂PubMed语法,用中文像聊天一样搜索,搜遍4000万医学文献。AI智能推荐,让科研检索更轻松。

立即免费搜索

文件翻译

保留排版,准确专业,支持PDF/Word/PPT等文件格式,支持 12+语言互译。

免费翻译文档

深度研究

AI帮你快速写综述,25分钟生成高质量综述,智能提取关键信息,辅助科研写作。

立即免费体验

钒作为治疗 COVID-19 的潜在药物:关注其抗病毒、抗炎和降血糖作用。

Vanadium as potential therapeutic agent for COVID-19: A focus on its antiviral, antiinflamatory, and antihyperglycemic effects.

机构信息

College of Medicine and Health Sciences, Khalifa University, Abu Dhabi, United Arab Emirates; Association South East European Network for Medical Research-SOVE.

出版信息

J Trace Elem Med Biol. 2022 Jan;69:126887. doi: 10.1016/j.jtemb.2021.126887. Epub 2021 Oct 29.

DOI:10.1016/j.jtemb.2021.126887
PMID:34798510
原文链接:https://pmc.ncbi.nlm.nih.gov/articles/PMC8555110/
Abstract

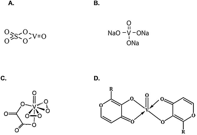
An increasing evidence suggests that vanadium compounds are novel potential drugs in the treatment of diabetes, atherosclerosis, and cancer. Vanadium has also demonstrated activities against RNA viruses and is a promising candidate for treating acute respiratory diseases. The antidiabetic, antihypertensive, lipid-lowering, cardioprotective, antineoplastic, antiviral, and other potential effects of vanadium are summarized here. Given the beneficial antihyperglycemic and antiinflammatory effects as well as the potential mechanistic link between the COVID-19 and diabetes, vanadium compounds could be considered as a complement to the prescribed treatment of COVID-19. Thus, further clinical trials are warranted to confirm these favorable effects of vanadium treatment in COVID-19 patients, which appear not to be studied yet.

摘要

越来越多的证据表明,钒化合物是治疗糖尿病、动脉粥样硬化和癌症的新型潜在药物。钒还表现出对 RNA 病毒的活性,是治疗急性呼吸道疾病的有前途的候选药物。本文总结了钒的抗糖尿病、降血压、降血脂、心脏保护、抗肿瘤、抗病毒等潜在作用。鉴于钒具有有益的降血糖和抗炎作用,以及 COVID-19 和糖尿病之间的潜在机制联系,钒化合物可以被认为是 COVID-19 规定治疗的补充。因此,需要进一步的临床试验来证实钒治疗 COVID-19 患者的这些有利效果,而这些效果似乎尚未得到研究。

https://cdn.ncbi.nlm.nih.gov/pmc/blobs/06b3/8555110/aae2d15318c4/gr1_lrg.jpg
https://cdn.ncbi.nlm.nih.gov/pmc/blobs/06b3/8555110/aae2d15318c4/gr1_lrg.jpg
https://cdn.ncbi.nlm.nih.gov/pmc/blobs/06b3/8555110/aae2d15318c4/gr1_lrg.jpg

相似文献

1
Vanadium as potential therapeutic agent for COVID-19: A focus on its antiviral, antiinflamatory, and antihyperglycemic effects.钒作为治疗 COVID-19 的潜在药物:关注其抗病毒、抗炎和降血糖作用。
J Trace Elem Med Biol. 2022 Jan;69:126887. doi: 10.1016/j.jtemb.2021.126887. Epub 2021 Oct 29.
2
[Vanadium compounds--a new class of therapeutic agents for the treatment of diabetes mellitus].[钒化合物——一类用于治疗糖尿病的新型治疗剂]
Vopr Med Khim. 2000 Jul-Aug;46(4):344-60.
3
Vanadium Compounds with Antidiabetic Potential.具有抗糖尿病潜力的钒化合物。
Int J Mol Sci. 2023 Oct 27;24(21):15675. doi: 10.3390/ijms242115675.
4
Developing Vanadium as an Antidiabetic or Anticancer Drug: A Clinical and Historical Perspective.将钒开发为抗糖尿病或抗癌药物:临床与历史视角
Met Ions Life Sci. 2019 Jan 14;19. doi: 10.1515/9783110527872-014.
5
Potential use of vanadium compounds in therapeutics.钒化合物在治疗中的潜在用途。
Curr Med Chem. 2010;17(31):3632-42. doi: 10.2174/092986710793213805.
6
Vanadium in Biological Action: Chemical, Pharmacological Aspects, and Metabolic Implications in Diabetes Mellitus.钒在生物作用中的作用:化学、药理学方面以及糖尿病中的代谢影响。
Biol Trace Elem Res. 2019 Mar;188(1):68-98. doi: 10.1007/s12011-018-1540-6. Epub 2018 Oct 22.
7
The potentiality of vanadium in medicinal applications.钒在医学应用中的潜力。
Future Med Chem. 2012 Sep;4(14):1823-37. doi: 10.4155/fmc.12.103.
8
Insulino-mimetic and anti-diabetic effects of vanadium compounds.钒化合物的胰岛素模拟及抗糖尿病作用
Diabet Med. 2005 Jan;22(1):2-13. doi: 10.1111/j.1464-5491.2004.01381.x.
9
[Insulin-mimetic property of vanadium compounds].[钒化合物的胰岛素模拟特性]
Postepy Biochem. 2016;62(1):60-65.
10
[The vanadium compounds: chemistry, synthesis, insulinomimetic properties].[钒化合物:化学、合成、胰岛素模拟特性]
Biomed Khim. 2014 Jul-Aug;60(4):416-29. doi: 10.18097/pbmc20146004416.

引用本文的文献

1
Speciation and structural transformation of a V-malate complex in the absence and in the presence of a protein: from a dinuclear species to decavanadate.在不存在和存在蛋白质的情况下V-苹果酸配合物的物种形成和结构转变:从双核物种到十钒酸盐。
Inorg Chem Front. 2025 Jul 21. doi: 10.1039/d5qi01384d.
2
Vanadium 8-hydroxyquinoline derivatives in medicine: current state and future outlook.医学中的钒8-羟基喹啉衍生物:现状与未来展望。
Biometals. 2025 May 6. doi: 10.1007/s10534-025-00683-9.
3
New Insights into a Vanadium Precipitation Process by Hydrolysis Based on Manganese Salt Pretreatment.

本文引用的文献

1
C1-Inhibitor: Structure, Functional Diversity and Therapeutic Development.C1 抑制剂:结构、功能多样性和治疗开发。
Curr Med Chem. 2022;29(3):467-488. doi: 10.2174/0929867328666210804085636.
2
[Deficient micronutrient status of the population of various countries as a risk factor in COVID-19].[各国人群微量营养素缺乏状况作为新冠病毒肺炎的一个风险因素]
Probl Sotsialnoi Gig Zdravookhranenniiai Istor Med. 2021 Jun;29(Special Issue):593-597. doi: 10.32687/0869-866X-2021-29-s1-593-597.
3
Anti-hyperglycaemic effects of dioxidovanadium complex -[VO(obz)py] avert kidney dysfunction in streptozotocin-induced diabetic male Sprague-Dawley rats.
基于锰盐预处理的水解钒沉淀过程新见解
Materials (Basel). 2024 Dec 20;17(24):6223. doi: 10.3390/ma17246223.
4
Oxidovanadium(V) Schiff Base Complexes Derived from Chiral 3-amino-1,2-propanediol Enantiomers: Synthesis, Spectroscopic Studies, Catalytic and Biological Activity.氧化钒(V)希夫碱配合物来源于手性 3-氨基-1,2-丙二醇对映异构体:合成、光谱研究、催化和生物活性。
Int J Mol Sci. 2024 May 3;25(9):5010. doi: 10.3390/ijms25095010.
5
MD Simulations to Calculate NMR Relaxation Parameters of Vanadium(IV) Complexes: A Promising Diagnostic Tool for Cancer and Alzheimer's Disease.用于计算钒(IV)配合物核磁共振弛豫参数的分子动力学模拟:一种用于癌症和阿尔茨海默病的有前景的诊断工具。
Pharmaceuticals (Basel). 2023 Nov 27;16(12):1653. doi: 10.3390/ph16121653.
6
Synthesis, Spectroscopic Characterization, Catalytic and Biological Activity of Oxidovanadium(V) Complexes with Chiral Tetradentate Schiff Bases.手性四齿席夫碱氧化钒(V)配合物的合成、光谱表征、催化和生物活性。
Molecules. 2023 Nov 3;28(21):7408. doi: 10.3390/molecules28217408.
7
Vanadium improves memory and spatial learning and protects the pyramidal cells of the hippocampus in juvenile hydrocephalic mice.钒可改善幼年脑积水小鼠的记忆力和空间学习能力,并保护海马体的锥体细胞。
Front Neurol. 2023 Feb 9;14:1116727. doi: 10.3389/fneur.2023.1116727. eCollection 2023.
8
Insulin Receptor Substrates Regulation and Clinical Responses Following Vanadium-Enriched Yeast Supplementation in Obese Type 2 Diabetic Patients: a Randomized, Double-Blind, Placebo-Controlled Clinical Trial.富钒酵母补充剂对肥胖 2 型糖尿病患者胰岛素受体底物调节及临床应答的影响:一项随机、双盲、安慰剂对照临床试验。
Biol Trace Elem Res. 2023 Nov;201(11):5169-5182. doi: 10.1007/s12011-023-03604-4. Epub 2023 Feb 24.
9
The different faces of inorganic elements in SARS-CoV-2 infection.严重急性呼吸综合征冠状病毒2感染中无机元素的不同表现。
J Trace Elem Med Biol. 2022 Dec;74:127083. doi: 10.1016/j.jtemb.2022.127083. Epub 2022 Sep 21.
10
Decavanadate interactions with the elements of the SARS-CoV-2 spike protein highlight the potential role of electrostatics in disrupting the infectivity cycle.Decavanadate 与 SARS-CoV-2 刺突蛋白的元素相互作用突显了静电在破坏感染周期中的潜在作用。
J Inorg Biochem. 2022 Sep;234:111899. doi: 10.1016/j.jinorgbio.2022.111899. Epub 2022 Jun 9.
二氧钒配合物-[VO(obz)py]的抗高血糖作用可预防链脲佐菌素诱导的糖尿病雄性 Sprague-Dawley 大鼠的肾脏功能障碍。
Can J Physiol Pharmacol. 2021 Apr;99(4):402-410. doi: 10.1139/cjpp-2020-0278. Epub 2021 Mar 24.
4
Are vanadium complexes druggable against the main protease M of SARS-CoV-2? - A computational approach.钒配合物对严重急性呼吸综合征冠状病毒2(SARS-CoV-2)的主要蛋白酶M是否具有成药潜力?——一种计算方法。
Inorganica Chim Acta. 2021 May 1;519:120287. doi: 10.1016/j.ica.2021.120287. Epub 2021 Feb 11.
5
Screening possible drug molecules for Covid-19. The example of vanadium (III/IV/V) complex molecules with computational chemistry and molecular docking.筛选针对新冠病毒的潜在药物分子。以钒(III/IV/V)配合物分子为例,运用计算化学和分子对接技术
Comput Toxicol. 2021 May;18:100157. doi: 10.1016/j.comtox.2021.100157. Epub 2021 Jan 30.
6
Glycemia, Beta-Cell Function and Sensitivity to Insulin in Mildly to Critically Ill Covid-19 Patients.轻度至危重新冠肺炎患者的血糖、β细胞功能和胰岛素敏感性。
Medicina (Kaunas). 2021 Jan 14;57(1):68. doi: 10.3390/medicina57010068.
7
Upregulation of DUSP6 impairs infectious bronchitis virus replication by negatively regulating ERK pathway and promoting apoptosis.DUSP6 的上调通过负向调控 ERK 通路和促进细胞凋亡来损害传染性支气管炎病毒的复制。
Vet Res. 2021 Jan 11;52(1):7. doi: 10.1186/s13567-020-00866-x.
8
Dynamic data-driven meta-analysis for prioritisation of host genes implicated in COVID-19.基于动态数据驱动的荟萃分析对 COVID-19 相关宿主基因进行优先级排序。
Sci Rep. 2020 Dec 18;10(1):22303. doi: 10.1038/s41598-020-79033-3.
9
Genetic Screens Identify Host Factors for SARS-CoV-2 and Common Cold Coronaviruses.遗传筛选鉴定 SARS-CoV-2 和普通感冒冠状病毒的宿主因子。
Cell. 2021 Jan 7;184(1):106-119.e14. doi: 10.1016/j.cell.2020.12.004. Epub 2020 Dec 9.
10
Genetic mechanisms of critical illness in COVID-19.新型冠状病毒肺炎危重症的遗传机制。
Nature. 2021 Mar;591(7848):92-98. doi: 10.1038/s41586-020-03065-y. Epub 2020 Dec 11.