• 文献检索
  • 文档翻译
  • 深度研究
  • 学术资讯
  • Suppr Zotero 插件Zotero 插件
  • 邀请有礼
  • 套餐&价格
  • 历史记录
应用&插件
Suppr Zotero 插件Zotero 插件浏览器插件Mac 客户端Windows 客户端微信小程序
定价
高级版会员购买积分包购买API积分包
服务
文献检索文档翻译深度研究API 文档MCP 服务
关于我们
关于 Suppr公司介绍联系我们用户协议隐私条款
关注我们

Suppr 超能文献

核心技术专利:CN118964589B侵权必究
粤ICP备2023148730 号-1Suppr @ 2026

文献检索

告别复杂PubMed语法,用中文像聊天一样搜索,搜遍4000万医学文献。AI智能推荐,让科研检索更轻松。

立即免费搜索

文件翻译

保留排版,准确专业,支持PDF/Word/PPT等文件格式,支持 12+语言互译。

免费翻译文档

深度研究

AI帮你快速写综述,25分钟生成高质量综述,智能提取关键信息,辅助科研写作。

立即免费体验

mA 调节剂表达谱可预测小细胞肺癌患者的预后、辅助化疗的获益和抗 PD-1 免疫治疗的反应。

mA regulator expression profile predicts the prognosis, benefit of adjuvant chemotherapy, and response to anti-PD-1 immunotherapy in patients with small-cell lung cancer.

机构信息

Department of Thoracic Surgery, National Cancer Center/National Clinical Research Center for Cancer/Cancer Hospital, Chinese Academy of Medical Sciences and Peking Union Medical College, Beijing, 100021, China.

Department of Pathology, National Cancer Center/National Clinical Research Center for Cancer/Cancer Hospital, Chinese Academy of Medical Sciences and Peking Union Medical College, Beijing, 100021, China.

出版信息

BMC Med. 2021 Nov 22;19(1):284. doi: 10.1186/s12916-021-02148-5.

DOI:10.1186/s12916-021-02148-5
PMID:34802443
原文链接:https://pmc.ncbi.nlm.nih.gov/articles/PMC8607595/
Abstract

BACKGROUND

Small cell lung cancer (SCLC) is lethal and possesses limited therapeutic options. Platinum-based chemotherapy-with or without immune checkpoint inhibitors (anti-PDs)-is the current first-line therapy for SCLCs; however, its associated outcomes are heterogeneous. N-methyladenosine (mA) is a novel and decisive factor in tumour progression, chemotherapy resistance, and immunotherapy response. However, mA modification in SCLC remains poorly understood.

METHODS

We systematically explored the molecular features and clinical significance of mA regulators in SCLC. We then constructed an mA regulator-based prognostic signature (mA score) based on our examination of 256 cases with limited-stage SCLC (LS-SCLC) from three different cohorts-including an independent cohort that contained 150 cases with qPCR data. We additionally evaluated the relationships between the mA score and adjuvant chemotherapy (ACT) benefits and the patients' responses to anti-PD-1 treatment. Immunohistochemical (IHC) staining and the HALO digital pathological platform were used to calculate CD8+ T cell density.

RESULTS

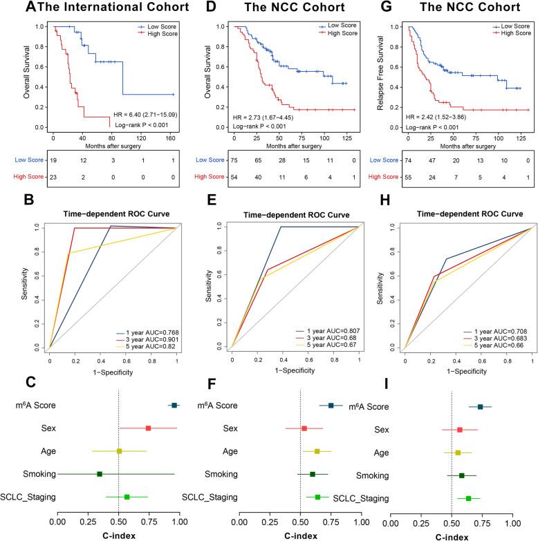
We observed abnormal somatic mutations and expressions of mA regulators. Using the LASSO Cox model, a five-regulator-based (G3BP1, METTL5, ALKBH5, IGF2BP3, and RBM15B) mA score was generated from the significant regulators to classify patients into high- and low-score groups. In the training cohort, patients with high scores had shorter overall survival (HR, 5.19; 2.75-9.77; P < 0.001). The prognostic accuracy of the mA score was well validated in two independent cohorts (HR 4.6, P = 0.006 and HR 3.07, P < 0.001). Time-dependent ROC and C-index analyses found the mA score to possess superior predictive power than other clinicopathological parameters. A multicentre multivariate analysis revealed the mA score to be an independent prognostic indicator. Additionally, patients with low scores received a greater survival benefit from ACT, exhibited more CD8+ T cell infiltration, and were more responsive to cancer immunotherapy.

CONCLUSIONS

Our results, for the first time, affirm the significance of mA regulators in LS-SCLC. Our multicentre analysis found that the mA score was a reliable prognostic tool for guiding chemotherapy and immunotherapy selections for patients with SCLC.

摘要

背景

小细胞肺癌(SCLC)是致命的,且治疗选择有限。铂类化疗联合或不联合免疫检查点抑制剂(抗 PD 治疗)是目前 SCLC 的一线治疗方法;然而,其相关疗效存在异质性。N6-甲基腺苷(m6A)是肿瘤进展、化疗耐药和免疫治疗反应的一个新的决定性因素。然而,SCLC 中的 m6A 修饰仍知之甚少。

方法

我们系统地研究了 SCLC 中 m6A 调节因子的分子特征和临床意义。然后,我们基于对三个不同队列(包括包含 150 例 qPCR 数据的独立队列)中 256 例局限期 SCLC(LS-SCLC)的检查,构建了一个基于 m6A 调节因子的预后评分(m6A 评分)。我们还评估了 m6A 评分与辅助化疗(ACT)获益以及患者对抗 PD-1 治疗的反应之间的关系。免疫组化(IHC)染色和 HALO 数字病理平台用于计算 CD8+T 细胞密度。

结果

我们观察到异常的体细胞突变和 m6A 调节因子的表达。使用 LASSO Cox 模型,从显著的调节因子中生成了一个由五个调节因子(G3BP1、METTL5、ALKBH5、IGF2BP3 和 RBM15B)组成的 m6A 评分,以将患者分为高分组和低分组。在训练队列中,高分组患者的总生存期更短(HR,5.19;2.75-9.77;P<0.001)。m6A 评分在两个独立队列中的验证准确性良好(HR 4.6,P=0.006 和 HR 3.07,P<0.001)。时间依赖性 ROC 和 C 指数分析发现,m6A 评分具有优于其他临床病理参数的预测能力。多中心多变量分析表明,m6A 评分是一个独立的预后指标。此外,低分组患者从 ACT 中获得更大的生存获益,表现出更多的 CD8+T 细胞浸润,对癌症免疫治疗更敏感。

结论

我们的研究结果首次证实了 m6A 调节因子在 LS-SCLC 中的意义。我们的多中心分析发现,m6A 评分是一种可靠的预后工具,可指导 SCLC 患者的化疗和免疫治疗选择。

https://cdn.ncbi.nlm.nih.gov/pmc/blobs/49b2/8607595/93b463580bf0/12916_2021_2148_Fig7_HTML.jpg
https://cdn.ncbi.nlm.nih.gov/pmc/blobs/49b2/8607595/095a6d3de7fd/12916_2021_2148_Fig1_HTML.jpg
https://cdn.ncbi.nlm.nih.gov/pmc/blobs/49b2/8607595/a311cff0674d/12916_2021_2148_Fig2_HTML.jpg
https://cdn.ncbi.nlm.nih.gov/pmc/blobs/49b2/8607595/cc79c8124a76/12916_2021_2148_Fig3_HTML.jpg
https://cdn.ncbi.nlm.nih.gov/pmc/blobs/49b2/8607595/bcc5fd9ed342/12916_2021_2148_Fig4_HTML.jpg
https://cdn.ncbi.nlm.nih.gov/pmc/blobs/49b2/8607595/ac16767dc35e/12916_2021_2148_Fig5_HTML.jpg
https://cdn.ncbi.nlm.nih.gov/pmc/blobs/49b2/8607595/079a1e0ec7df/12916_2021_2148_Fig6_HTML.jpg
https://cdn.ncbi.nlm.nih.gov/pmc/blobs/49b2/8607595/93b463580bf0/12916_2021_2148_Fig7_HTML.jpg
https://cdn.ncbi.nlm.nih.gov/pmc/blobs/49b2/8607595/095a6d3de7fd/12916_2021_2148_Fig1_HTML.jpg
https://cdn.ncbi.nlm.nih.gov/pmc/blobs/49b2/8607595/a311cff0674d/12916_2021_2148_Fig2_HTML.jpg
https://cdn.ncbi.nlm.nih.gov/pmc/blobs/49b2/8607595/cc79c8124a76/12916_2021_2148_Fig3_HTML.jpg
https://cdn.ncbi.nlm.nih.gov/pmc/blobs/49b2/8607595/bcc5fd9ed342/12916_2021_2148_Fig4_HTML.jpg
https://cdn.ncbi.nlm.nih.gov/pmc/blobs/49b2/8607595/ac16767dc35e/12916_2021_2148_Fig5_HTML.jpg
https://cdn.ncbi.nlm.nih.gov/pmc/blobs/49b2/8607595/079a1e0ec7df/12916_2021_2148_Fig6_HTML.jpg
https://cdn.ncbi.nlm.nih.gov/pmc/blobs/49b2/8607595/93b463580bf0/12916_2021_2148_Fig7_HTML.jpg

相似文献

1
mA regulator expression profile predicts the prognosis, benefit of adjuvant chemotherapy, and response to anti-PD-1 immunotherapy in patients with small-cell lung cancer.mA 调节剂表达谱可预测小细胞肺癌患者的预后、辅助化疗的获益和抗 PD-1 免疫治疗的反应。
BMC Med. 2021 Nov 22;19(1):284. doi: 10.1186/s12916-021-02148-5.
2
mA regulators as predictive biomarkers for chemotherapy benefit and potential therapeutic targets for overcoming chemotherapy resistance in small-cell lung cancer.mA 调节剂作为预测化疗获益的生物标志物,以及克服小细胞肺癌化疗耐药性的潜在治疗靶点。
J Hematol Oncol. 2021 Nov 10;14(1):190. doi: 10.1186/s13045-021-01173-4.
3
An immune checkpoint-based signature predicts prognosis and chemotherapy response for patients with small cell lung cancer.基于免疫检查点的特征可预测小细胞肺癌患者的预后和化疗反应。
Int Immunopharmacol. 2023 Apr;117:109827. doi: 10.1016/j.intimp.2023.109827. Epub 2023 Mar 27.
4
Comprehensive analyses of N -methyladenosine-related long noncoding RNA profiles with prognosis, chemotherapy response, and immune landscape in small cell lung cancer.全面分析小细胞肺癌中 N6-甲基腺苷相关长非编码 RNA 谱与预后、化疗反应和免疫景观的关系。
Cancer Sci. 2022 Dec;113(12):4289-4299. doi: 10.1111/cas.15553. Epub 2022 Sep 15.
5
Tumor Necrosis Factor Family Member Profile Predicts Prognosis and Adjuvant Chemotherapy Benefit for Patients With Small-Cell Lung Cancer.肿瘤坏死因子家族成员谱预测小细胞肺癌患者的预后和辅助化疗获益。
Front Immunol. 2021 Nov 18;12:745769. doi: 10.3389/fimmu.2021.745769. eCollection 2021.
6
Assessing treatment outcomes of chemoimmunotherapy in extensive-stage small cell lung cancer: an integrated clinical and radiomics approach.评估广泛期小细胞肺癌化疗免疫治疗的治疗结局:一种综合临床和放射组学方法。
J Immunother Cancer. 2023 Sep;11(9). doi: 10.1136/jitc-2023-007492.
7
Prognostic value of baseline clinicopathological characteristics in first-line chemotherapy ± immunotherapy for extensive-stage small cell lung cancer: a retrospective cohort study.一线化疗±免疫治疗广泛期小细胞肺癌时基线临床病理特征的预后价值:一项回顾性队列研究
J Thorac Dis. 2024 Aug 31;16(8):5348-5360. doi: 10.21037/jtd-24-929. Epub 2024 Aug 28.
8
Immunotherapy versus standard chemotherapy for treatment of extensive-stage small-cell lung cancer: a systematic review.免疫疗法与标准化疗治疗广泛期小细胞肺癌的比较:系统评价。
Immunotherapy. 2021 Aug;13(12):989-1000. doi: 10.2217/imt-2020-0284. Epub 2021 Jun 11.
9
Costimulatory molecule expression profile as a biomarker to predict prognosis and chemotherapy response for patients with small cell lung cancer.作为预测小细胞肺癌患者预后和化疗反应的生物标志物的共刺激分子表达谱。
Cancer Immunol Immunother. 2023 Mar;72(3):617-631. doi: 10.1007/s00262-022-03280-8. Epub 2022 Aug 24.
10
Efficacy and safety of PD-1/PD-L1 inhibitor plus chemotherapy versus chemotherapy alone as first-line treatment for extensive-stage small cell lung cancer: A systematic review and meta-analysis.PD-1/PD-L1 抑制剂联合化疗与单纯化疗作为广泛期小细胞肺癌一线治疗的疗效和安全性:系统评价和荟萃分析。
Thorac Cancer. 2020 Dec;11(12):3536-3546. doi: 10.1111/1759-7714.13698. Epub 2020 Oct 15.

引用本文的文献

1
Genomic and immunological profiling reveals novel prognostic biomarkers for limited-stage small cell lung cancer.基因组和免疫分析揭示了局限期小细胞肺癌的新型预后生物标志物。
Discov Oncol. 2025 Jun 20;16(1):1170. doi: 10.1007/s12672-025-02925-1.
2
Exploring predictive biomarkers of efficacy and survival with nivolumab treatment for unresectable/recurrent esophageal squamous cell carcinoma.探索纳武利尤单抗治疗不可切除/复发性食管鳞状细胞癌的疗效和生存预测生物标志物。
Esophagus. 2025 Apr 24. doi: 10.1007/s10388-025-01120-z.
3
Summary of the mechanism of ferroptosis regulated by m6A modification in cancer progression.

本文引用的文献

1
Construction and Comprehensive Analyses of a METTL5-Associated Prognostic Signature With Immune Implication in Lung Adenocarcinomas.METTL5相关的预后特征构建及其在肺腺癌中的免疫意义综合分析
Front Genet. 2021 Feb 19;11:617174. doi: 10.3389/fgene.2020.617174. eCollection 2020.
2
The role of mA, mC and Ψ RNA modifications in cancer: Novel therapeutic opportunities.mA、mC 和 Ψ RNA 修饰在癌症中的作用:新的治疗机会。
Mol Cancer. 2021 Jan 18;20(1):18. doi: 10.1186/s12943-020-01263-w.
3
Identification of a costimulatory molecule-based signature for predicting prognosis risk and immunotherapy response in patients with lung adenocarcinoma.
m6A修饰调控癌症进展中细胞铁死亡的机制综述。
Front Cell Dev Biol. 2025 Apr 9;13:1507171. doi: 10.3389/fcell.2025.1507171. eCollection 2025.
4
Decoding the prognostic landscape of LUAD: the interplay between N-methyladenosine modification and immune microenvironment.解析肺腺癌的预后格局:N-甲基腺苷修饰与免疫微环境之间的相互作用
Front Immunol. 2024 Dec 10;15:1514497. doi: 10.3389/fimmu.2024.1514497. eCollection 2024.
5
PRKDC regulates cGAMP to enhance immune response in lung cancer treatment.蛋白激酶DNA激活酶调节环鸟苷酸-腺苷酸合成酶以增强肺癌治疗中的免疫反应。
Front Immunol. 2024 Nov 26;15:1497570. doi: 10.3389/fimmu.2024.1497570. eCollection 2024.
6
A review of current developments in RNA modifications in lung cancer.肺癌中RNA修饰的当前进展综述。
Cancer Cell Int. 2024 Oct 25;24(1):347. doi: 10.1186/s12935-024-03528-6.
7
RNA modifications in cancer immune therapy: regulators of immune cells and immune checkpoints.癌症免疫治疗中的 RNA 修饰:免疫细胞和免疫检查点的调节剂。
Front Immunol. 2024 Sep 20;15:1463847. doi: 10.3389/fimmu.2024.1463847. eCollection 2024.
8
RBM15B Promotes Prostate Cancer Cell Proliferation via PCNA m6A Modification.RBM15B通过PCNA的m6A修饰促进前列腺癌细胞增殖。
Cell Biochem Biophys. 2025 Mar;83(1):1237-1248. doi: 10.1007/s12013-024-01558-5. Epub 2024 Oct 3.
9
Peripheral CX3CR1 T cells combined with PD-1 blockade therapy potentiates the anti-tumor efficacy for lung cancer.外周 CX3CR1 T 细胞联合 PD-1 阻断治疗增强了肺癌的抗肿瘤疗效。
Oncoimmunology. 2024 May 22;13(1):2355684. doi: 10.1080/2162402X.2024.2355684. eCollection 2024.
10
The identification of a N-methyladenosin-modifed immune pattern to predict immunotherapy response and survival in urothelial carcinoma.鉴定 N6-甲基腺苷修饰的免疫模式,以预测尿路上皮癌的免疫治疗反应和生存。
Aging (Albany NY). 2024 May 1;16(9):7774-7798. doi: 10.18632/aging.205782.
基于共刺激分子的特征识别用于预测肺腺癌患者的预后风险和免疫治疗反应
Oncoimmunology. 2020 Sep 29;9(1):1824641. doi: 10.1080/2162402X.2020.1824641.
4
Clinical and prognostic pan-cancer analysis of m6A RNA methylation regulators in four types of endocrine system tumors.四种内分泌系统肿瘤中 m6A RNA 甲基化调控因子的临床和预后泛癌分析。
Aging (Albany NY). 2020 Nov 20;12(23):23931-23944. doi: 10.18632/aging.104064.
5
Epigenetic landscape of small cell lung cancer: small image of a giant recalcitrant disease.小细胞肺癌的表观遗传学景观:巨大难治性疾病的小缩影。
Semin Cancer Biol. 2022 Aug;83:57-76. doi: 10.1016/j.semcancer.2020.11.006. Epub 2020 Nov 18.
6
IGF2BP3 facilitates cell proliferation and tumorigenesis via modulation of JAK/STAT signalling pathway in human bladder cancer.IGF2BP3 通过调节人膀胱癌中的 JAK/STAT 信号通路促进细胞增殖和肿瘤发生。
J Cell Mol Med. 2020 Dec;24(23):13949-13960. doi: 10.1111/jcmm.16003. Epub 2020 Oct 22.
7
Expression Profile Analysis of m6A RNA Methylation Regulators Indicates They Are Immune Signature Associated and Can Predict Survival in Kidney Renal Cell Carcinoma.m6A RNA甲基化调节因子的表达谱分析表明它们与免疫特征相关且可预测肾细胞癌的生存情况。
DNA Cell Biol. 2020 Oct 20. doi: 10.1089/dna.2020.5767.
8
RNA N6-methyladenosine reader IGF2BP3 regulates cell cycle and angiogenesis in colon cancer.RNA N6-甲基腺嘌呤阅读器 IGF2BP3 调节结肠癌中的细胞周期和血管生成。
J Exp Clin Cancer Res. 2020 Sep 29;39(1):203. doi: 10.1186/s13046-020-01714-8.
9
G3BP1 interacts with YWHAZ to regulate chemoresistance and predict adjuvant chemotherapy benefit in gastric cancer.G3BP1 通过与 YWHAZ 相互作用调节胃癌的化疗耐药性并预测辅助化疗获益。
Br J Cancer. 2021 Jan;124(2):425-436. doi: 10.1038/s41416-020-01067-1. Epub 2020 Sep 29.
10
m A RNA methyltransferases METTL3/14 regulate immune responses to anti-PD-1 therapy.m6A 甲基转移酶 METTL3/14 调控抗 PD-1 治疗的免疫应答。
EMBO J. 2020 Oct 15;39(20):e104514. doi: 10.15252/embj.2020104514. Epub 2020 Sep 23.