Suppr超能文献

枸杞中谷胱甘肽过氧化物酶基因家族的鉴定及枸杞RcGPX4在耐寒性方面的功能表征

Identification of Glutathione Peroxidase Gene Family in and Functional Characterization of RcGPX4 in Cold Tolerance.

作者信息

Wang Xiaoyu, Liu Xuming, An Yong-Qiang Charles, Zhang Hongyu, Meng Di, Jin Yanan, Huo Hongyan, Yu Lili, Zhang Jixing

机构信息

College of Life Science and Food Engineering, Inner Mongolia Minzu University, Tongliao, China.

Horqin Plant Stress Biology Research Institute of Inner Mongolia Minzu University, Tongliao, China.

出版信息

Front Plant Sci. 2021 Nov 5;12:707127. doi: 10.3389/fpls.2021.707127. eCollection 2021.

Abstract

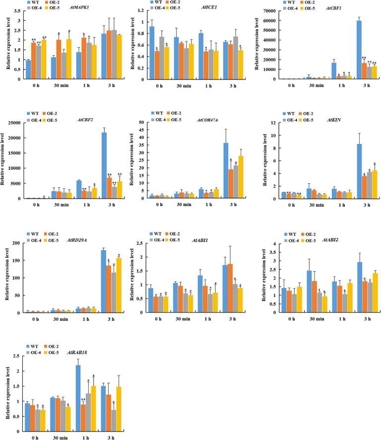
Glutathione peroxidases (GPXs) protect cells against damage caused by reactive oxygen species (ROS) and play key roles in regulating many biological processes. Here, five were identified in the genome. Phylogenetic analysis displayed that the GPXs were categorized into five groups. Conserved domain and gene structure analyses showed that the GPXs from different plant species harbored four highly similar motifs and conserved exon-intron arrangement patterns, indicating that their structure and function may have been conserved during evolution. Several abiotic stresses and hormone-responsive -acting elements existed in the promoters of the . The expression profiles indicated that the varied substantially, and some were coordinately regulated under abiotic stresses. Overexpression of in Arabidopsis enhanced cold tolerance at seed germination but reduced freezing tolerance at seedlings. The expression of abscisic acid (ABA) signaling genes ( and ), ABA catabolism genes ( and ), gibberellin acid (GA) catabolism gene (), and cytokinin (CTK)-inducible gene () was regulated in the seeds of transgenic lines under cold stress. Overexpression of can disturb the hydrogen peroxide (HO) homeostasis through the modulation of some antioxidant enzymes and compounds involved in the GSH-ascorbate cycle in transgenic plants. Additionally, RcGPX4 depended on the MAPK3-ICE1-C-repeat-binding factor (CBF)-COR signal transduction pathway and ABA-dependent pathway to negatively regulate the freezing tolerance of transgenic plants. This study provides valuable information for understanding the potential function of in regulating the abiotic stress responses of castor beans.

摘要

谷胱甘肽过氧化物酶(GPXs)保护细胞免受活性氧(ROS)造成的损伤,并在调节许多生物过程中发挥关键作用。在此,在 基因组中鉴定出了五个。系统发育分析表明,GPXs 被分为五组。保守结构域和基因结构分析表明,来自不同植物物种的 GPXs 具有四个高度相似的基序和保守的外显子 - 内含子排列模式,表明它们的结构和功能在进化过程中可能一直保守。 在启动子中存在几种非生物胁迫和激素响应顺式作用元件。表达谱表明, 变化很大,并且一些 在非生物胁迫下受到协同调节。在拟南芥中过表达 在种子萌发时增强了耐寒性,但在幼苗期降低了耐冻性。在冷胁迫下,转基因系种子中脱落酸(ABA)信号基因( 和 )、ABA 分解代谢基因( 和 )、赤霉素(GA)分解代谢基因( )和细胞分裂素(CTK)诱导基因( )的表达受到调节。过表达 可以通过调节转基因植物中参与谷胱甘肽 - 抗坏血酸循环的一些抗氧化酶和化合物来扰乱过氧化氢(HO)稳态。此外,RcGPX4 依赖于 MAPK3 - ICE1 - C 重复结合因子(CBF) - COR 信号转导途径和 ABA 依赖途径来负向调节转基因植物的耐冻性。本研究为理解 在调节蓖麻非生物胁迫响应中的潜在功能提供了有价值的信息。

https://cdn.ncbi.nlm.nih.gov/pmc/blobs/0293/8602854/6a4d808c566f/fpls-12-707127-g001.jpg

文献AI研究员

20分钟写一篇综述,助力文献阅读效率提升50倍。

立即体验

用中文搜PubMed

大模型驱动的PubMed中文搜索引擎

马上搜索

文档翻译

学术文献翻译模型,支持多种主流文档格式。

立即体验