Suppr超能文献

新冠疫情前与疫情时代急性冠脉综合征治疗的差异:来自德国两个大型中心的分析

Differences in the Treatment of Acute Coronary Syndrome in the Pre-COVID and COVID Era: An Analysis from Two German High-Volume Centers.

作者信息

Eckner Dennis, Hofmann Eva M, Ademaj Fadil, Martinovic Kristinko, Vogt Ferdinand, Becher Peter Moritz, Schrage Benedikt, Westermann Dirk, Pauschinger Matthias

机构信息

Department of Cardiology, Paracelsus Medical University, 90471 Nuremberg, Germany.

Department of Cardiac Surgery, Paracelsus Medical University, 90419 Nuremberg, Germany.

出版信息

J Cardiovasc Dev Dis. 2021 Oct 30;8(11):145. doi: 10.3390/jcdd8110145.

Abstract

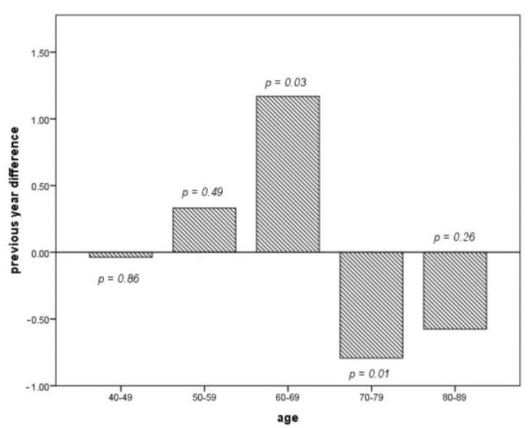
The COVID-19 pandemic is placing a heavy burden on healthcare systems worldwide with the risk that acute cardiovascular diseases are treated too late. The present study aims to analyze patients with acute coronary syndrome in the current pandemic. A total of 966 patients (2019 = 463, 2020 = 503) can be evaluated. A comparison of patient care during and before the COVID-19 pandemic was made in terms of patient characteristics and pre- and in-hospital processes. Another aim is to show how many patients seek clinical care at a late stage of the disease. After Lockdown in Germany at week 12, 2020, there was a significant decrease in patients with an acute coronary syndrome (ACS), significant for STEMI cases in the first weeks after Lockdown (calendar week 13-16 2019 = 43, 2020 = 30; = 0.02). The time from pain to first medical contact (time to FMC) is significantly extended during Lockdown, while internal clinical processes are unchanged. The rate of subacute myocardial infarction is numerically, but not significantly increased in calendar weeks 15, 2020 ( = 0.40) and 16 ( = 0,19). In addition, elderly patients avoid treatment for multifactorial reasons, and the longer overall pain to FMC may impact long-term mortality.

摘要

新冠疫情给全球医疗系统带来了沉重负担,存在急性心血管疾病治疗不及时的风险。本研究旨在分析当前疫情期间的急性冠状动脉综合征患者。总共966例患者(2019年 = 463例,2020年 = 503例)可供评估。就患者特征以及院前和院内流程对新冠疫情期间和之前的患者护理进行了比较。另一个目的是表明有多少患者在疾病晚期才寻求临床护理。在德国于2020年第12周实施封锁后,急性冠状动脉综合征(ACS)患者数量显著减少,在封锁后的头几周,对ST段抬高型心肌梗死(STEMI)病例而言差异显著(2019年第13 - 16日历周 = 43例,2020年 = 30例;P = 0.02)。封锁期间,从疼痛发作到首次医疗接触的时间(到达FMC的时间)显著延长,而内部临床流程未变。2020年第15周(P = 0.40)和第16周(P = 0.19)亚急性心肌梗死发生率在数值上有所增加,但未达到显著水平。此外,老年患者因多种因素而避免治疗,且从总体疼痛发作到到达FMC的时间延长可能会影响长期死亡率。

https://cdn.ncbi.nlm.nih.gov/pmc/blobs/b883/8625826/539394692682/jcdd-08-00145-g001.jpg

文献AI研究员

20分钟写一篇综述,助力文献阅读效率提升50倍。

立即体验

用中文搜PubMed

大模型驱动的PubMed中文搜索引擎

马上搜索

文档翻译

学术文献翻译模型,支持多种主流文档格式。

立即体验