Suppr超能文献

镉和铜暴露对木豆生长、理化及药用特性的影响

Effect of Cadmium and Copper Exposure on Growth, Physio-Chemicals and Medicinal Properties of L. (Pigeon Pea).

作者信息

Hayat Khizar, Khan Asif, Bibi Farkhanda, Murad Waheed, Fu Yujie, Batiha Gaber El-Saber, Alqarni Mohammed, Khan Ajmal, Al-Harrasi Ahmed

机构信息

Key Laboratory of Plant Ecology, Northeast Forestry University, Harbin 150040, China.

Department of Botany, Abdul Wali Khan University Mardan, Mardana 23200, Pakistan.

出版信息

Metabolites. 2021 Nov 10;11(11):769. doi: 10.3390/metabo11110769.

Abstract

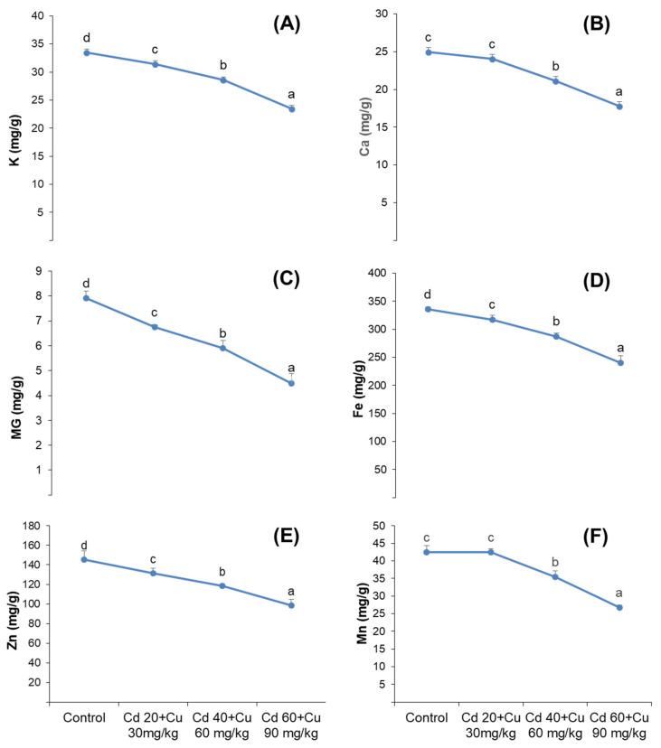
Soil contamination with heavy metals is an emerging concern in the modern era, affecting all forms of life. Pigeon pea is a multi-use shrub with medicinal and nutritional values. On the basis of a randomized complete design, we investigated in the current project the combined cadmium (Cd) and copper (Cu) effect on plant growth and physio-chemical/medicinal properties of pigeon pea. Three-week-old seedlings were grown in combined Cd and Cu amended soil with increasing metal concentrations (control, 20 + 30 mg/kg, 40 + 60 mg/kg, and 60 + 90 mg/kg) for three months. At high-dose metal cumulative stress (60 + 90 mg/kg), plant shoot and root growth in terms of plant height as well as fresh and dry weight were significantly inhibited in association with decreased photosynthetic attributes (chlorophyll a and b contents, net photosynthesis, transpiration rate, stomatal conductance, intercellular CO concentrations) and diminished nutrient contents. Cd and Cu at high amounts inflicted oxidative stresses as assessed in elevated lipid peroxidation (MDA), hydrogen peroxide (HO), and electrolyte leakage contents. Antioxidant enzyme activities, namely, those of superoxide dismutase (SOD), catalase (CAT), peroxidase (POD), and glutathione peroxidase (GPX), were enhanced, along with proline content with increasing metal quantity. Phenolics and flavonoids exhibited a diverse response regarding metal concentration, and their biosynthesis was significantly suppressed at high Cd and Cu cumulative stress. The reduction in secondary metabolites may account for declined medicinal properties of pigeon pea as appraised in reduced antibacterial, 2, 2-diphenyl-1-picrylhydrazyl (DPPH), and ferric-reducing antioxidant potential (FRAP) activities. Our results clearly demonstrate that the exposure of pigeon pea to Cd- and Cu-contaminated soil might affect consumers due to the presence of metals and the negligible efficacy of the herbal products.

摘要

土壤重金属污染是现代社会一个新出现的问题,影响着所有生命形式。木豆是一种具有药用和营养价值的多用途灌木。在本项目中,我们基于随机完全设计,研究了镉(Cd)和铜(Cu)联合作用对木豆植株生长以及理化/药用特性的影响。将三周龄的幼苗种植在添加了Cd和Cu且金属浓度不断增加的土壤中(对照、20 + 30 mg/kg、40 + 60 mg/kg和60 + 90 mg/kg),持续三个月。在高剂量金属累积胁迫(60 + 90 mg/kg)下,植株地上部和根部的生长,如株高以及鲜重和干重均受到显著抑制,同时光合特性(叶绿素a和b含量、净光合速率、蒸腾速率、气孔导度、胞间CO浓度)降低,养分含量减少。高含量的Cd和Cu造成了氧化胁迫,表现为脂质过氧化(MDA)、过氧化氢(H₂O₂)和电解质渗漏含量升高。抗氧化酶活性,即超氧化物歧化酶(SOD)、过氧化氢酶(CAT)、过氧化物酶(POD)和谷胱甘肽过氧化物酶(GPX)的活性随着金属含量增加而增强,脯氨酸含量也增加。酚类和黄酮类化合物对金属浓度呈现出不同的响应,在高Cd和Cu累积胁迫下其生物合成受到显著抑制。次生代谢产物的减少可能是木豆药用特性下降的原因,这在抗菌活性、2,2 - 二苯基 - 1 - 苦基肼(DPPH)自由基清除活性和铁还原抗氧化能力(FRAP)活性降低方面得到体现。我们的结果清楚地表明,木豆暴露于Cd和Cu污染的土壤中可能会因金属的存在以及草药产品功效的减弱而影响消费者。

https://cdn.ncbi.nlm.nih.gov/pmc/blobs/52b5/8623172/32e082c25d63/metabolites-11-00769-g001.jpg

文献AI研究员

20分钟写一篇综述,助力文献阅读效率提升50倍。

立即体验

用中文搜PubMed

大模型驱动的PubMed中文搜索引擎

马上搜索

文档翻译

学术文献翻译模型,支持多种主流文档格式。

立即体验