Suppr超能文献

基于沉淀和过滤的 SARS-CoV-2 回收方法的比较以及城市废水中温度、浊度和表面活性剂负荷的影响。

A comparison of precipitation and filtration-based SARS-CoV-2 recovery methods and the influence of temperature, turbidity, and surfactant load in urban wastewater.

机构信息

Centre for Environmental Biotechnology, School of Natural Sciences, Bangor University, Bangor, Gwynedd LL57 2UW, UK.

Centre for Environmental Biotechnology, School of Natural Sciences, Bangor University, Bangor, Gwynedd LL57 2UW, UK.

出版信息

Sci Total Environ. 2022 Feb 20;808:151916. doi: 10.1016/j.scitotenv.2021.151916. Epub 2021 Nov 24.

Abstract

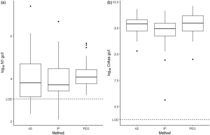
Wastewater-based epidemiology (WBE) has become a complimentary surveillance tool during the SARS-CoV-2 pandemic. Viral concentration methods from wastewater are still being optimised and compared, whilst viral recovery under different wastewater characteristics and storage temperatures remains poorly understood. Using urban wastewater samples, we tested three viral concentration methods; polyethylene glycol precipitation (PEG), ammonium sulphate precipitation (AS), and CP select™ InnovaPrep® (IP) ultrafiltration. We found no major difference in SARS-CoV-2 and faecal indicator virus (crAssphage) recovery from wastewater samples (n = 46) using these methods, PEG slightly (albeit non-significantly), outperformed AS and IP for SARS-CoV-2 detection, as a higher genome copies per litre (gc/l) was recorded for a larger proportion of samples. Next generation sequencing of 8 paired samples revealed non-significant differences in the quality of data between AS and IP, though IP data quality was slightly better and less variable. A controlled experiment assessed the impact of wastewater suspended solids (turbidity; 0-400 NTU), surfactant load (0-200 mg/l), and storage temperature (5-20 °C) on viral recovery using the AS and IP methods. SARS-CoV-2 recoveries were >20% with AS and <10% with IP in turbid samples, whilst viral recoveries for samples with additional surfactant were between 0-18% for AS and 0-5% for IP. Turbidity and sample storage temperature combined had no significant effect on SARS-CoV-2 recovery (p > 0.05), whilst surfactant and storage temperature combined were significant negative correlates (p < 0.001 and p < 0.05, respectively). In conclusion, our results show that choice of methodology had small effect on viral recovery of SARS-CoV-2 and crAssphage in wastewater samples within this study. In contrast, sample turbidity, storage temperature, and surfactant load did affect viral recovery, highlighting the need for careful consideration of the viral concentration methodology used when working with wastewater samples.

摘要

基于污水的流行病学(WBE)已成为 SARS-CoV-2 大流行期间的一种补充监测工具。污水中的病毒浓缩方法仍在不断优化和比较,而在不同污水特性和储存温度下的病毒回收率仍知之甚少。本研究使用城市污水样本,测试了三种病毒浓缩方法:聚乙二醇沉淀(PEG)、硫酸铵沉淀(AS)和 CP select™ InnovaPrep®(IP)超滤。我们发现,使用这些方法从污水样本(n = 46)中回收 SARS-CoV-2 和粪便指示病毒(crAssphage)没有明显差异,PEG 略微(尽管无统计学意义)优于 AS 和 IP 检测 SARS-CoV-2,因为更大比例的样本记录了更高的每升基因组拷贝数(gc/l)。对 8 对样本的下一代测序显示,AS 和 IP 之间的数据质量没有显著差异,尽管 IP 数据质量稍好且变化较小。一项对照实验评估了污水悬浮固体(浊度;0-400 NTU)、表面活性剂负荷(0-200 mg/l)和储存温度(5-20°C)对 AS 和 IP 方法病毒回收率的影响。在浊度样本中,AS 的 SARS-CoV-2 回收率>20%,而 IP 的回收率<10%,而含有额外表面活性剂的样本中,AS 的病毒回收率在 0-18%之间,而 IP 的回收率在 0-5%之间。浊度和样品储存温度的综合作用对 SARS-CoV-2 回收率没有显著影响(p>0.05),而表面活性剂和储存温度的综合作用是显著的负相关(p<0.001 和 p<0.05)。总之,本研究结果表明,在所研究的污水样本中,方法学的选择对 SARS-CoV-2 和 crAssphage 的病毒回收率影响较小。相比之下,样本浊度、储存温度和表面活性剂负荷确实会影响病毒回收率,这突出表明在处理污水样本时需要仔细考虑所使用的病毒浓缩方法。

https://cdn.ncbi.nlm.nih.gov/pmc/blobs/3ca1/8610557/d92b0740f88f/ga1_lrg.jpg

文献检索

告别复杂PubMed语法,用中文像聊天一样搜索,搜遍4000万医学文献。AI智能推荐,让科研检索更轻松。

立即免费搜索

文件翻译

保留排版,准确专业,支持PDF/Word/PPT等文件格式,支持 12+语言互译。

免费翻译文档

深度研究

AI帮你快速写综述,25分钟生成高质量综述,智能提取关键信息,辅助科研写作。

立即免费体验