• 文献检索
  • 文档翻译
  • 深度研究
  • 学术资讯
  • Suppr Zotero 插件Zotero 插件
  • 邀请有礼
  • 套餐&价格
  • 历史记录
应用&插件
Suppr Zotero 插件Zotero 插件浏览器插件Mac 客户端Windows 客户端微信小程序
定价
高级版会员购买积分包购买API积分包
服务
文献检索文档翻译深度研究API 文档MCP 服务
关于我们
关于 Suppr公司介绍联系我们用户协议隐私条款
关注我们

Suppr 超能文献

核心技术专利:CN118964589B侵权必究
粤ICP备2023148730 号-1Suppr @ 2026

文献检索

告别复杂PubMed语法,用中文像聊天一样搜索,搜遍4000万医学文献。AI智能推荐,让科研检索更轻松。

立即免费搜索

文件翻译

保留排版,准确专业,支持PDF/Word/PPT等文件格式,支持 12+语言互译。

免费翻译文档

深度研究

AI帮你快速写综述,25分钟生成高质量综述,智能提取关键信息,辅助科研写作。

立即免费体验

年轻游泳运动员连续比赛期间肌肉疲劳和性别差异对心脏自主神经调节的影响:一项纵向研究

Cardiac Autonomic Modulation in Response to Muscle Fatigue and Sex Differences During Consecutive Competition Periods in Young Swimmers: A Longitudinal Study.

作者信息

Castillo-Aguilar Matías, Valdés-Badilla Pablo, Herrera-Valenzuela Tomás, Guzmán-Muñoz Eduardo, Delgado-Floody Pedro, Andrade David Cristóbal, Moraes Michele M, Arantes Rosa M E, Núñez-Espinosa Cristian

机构信息

Kinesiology Department, University of Magallanes, Punta Arenas, Chile.

Austral Integrative Neurophysiology Group, CADI-UMAG, Punta Arenas, Chile.

出版信息

Front Physiol. 2021 Nov 18;12:769085. doi: 10.3389/fphys.2021.769085. eCollection 2021.

DOI:10.3389/fphys.2021.769085
PMID:34867474
原文链接:https://pmc.ncbi.nlm.nih.gov/articles/PMC8637437/
Abstract

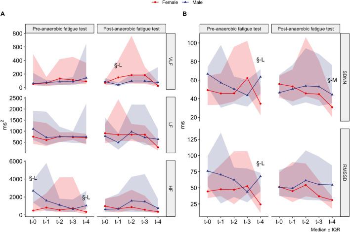
To study the differences in cardiac autonomic modulation in response to muscle fatigue caused by high-intensity exercise during two consecutive competition periods in young swimmers. Twenty-six competitive swimmers, selected by their training volume, were separated in two groups, females ( = 12 [46%], age: 13.5 ± 1.4 years) and males ( = 14 [54%], age: 13.9 ± 1.7 years), aged between 10 and 16 years, were evaluated five times as follow: (i) 21 days before the first competition (t-0); (ii) two days before (t-1; t-3); and (iii) two days after (t-2; t-4) of the first and second competitions. Morphological measurements (body mass, percentage of total body fat and height), blood pressure, power, and resting heart rate variability (RR with Polar band) were recorded before and after Wingate test at each time. Body fat was higher in females compared to males. However, no differences were found in other morphological parameters. An intra-subject analysis grouped by sex in cardiovascular parameters shows longitudinal variations in systolic pressure and mean pressure among females. Additionally, females depicted higher, very low frequency (VLF, which is intrinsically generated by the heart and strongly associated with emotional stress) after physical fatigue compared to males at t-1. Further, before the competition, the high frequency (HF) component of HRV (parasympathetic drive) was higher in males than females at t-0 and t-4. Our data revealed that males displayed greater parasympathetic reactivity after an anaerobic muscle fatigue test during their competition periods. Contrarily, females had a less cardiac autonomic modulation when comparing the pre-post Wingate test after two consecutive competition periods.

摘要

为研究年轻游泳运动员在两个连续比赛期内,高强度运动引起肌肉疲劳时心脏自主神经调节的差异。通过训练量挑选出26名竞技游泳运动员,分为两组,女性(n = 12 [46%],年龄:13.5±1.4岁)和男性(n = 14 [54%],年龄:13.9±1.7岁),年龄在10至16岁之间,按以下方式进行了五次评估:(i) 第一次比赛前21天(t - 0);(ii) 第一次和第二次比赛前2天(t - 1;t - 3);以及(iii) 第一次和第二次比赛后2天(t - 2;t - 4)。每次在温盖特测试前后记录形态学测量指标(体重、体脂百分比和身高)、血压、功率和静息心率变异性(使用 Polar 手环测量RR间期)。女性的体脂高于男性。然而,在其他形态学参数上未发现差异。按性别分组的心血管参数的受试者内分析显示,女性的收缩压和平均压存在纵向变化。此外,在t - 1时,身体疲劳后女性的极低频(VLF,由心脏内在产生且与情绪应激密切相关)高于男性。此外,在比赛前,男性在t - 0和t - 4时的心率变异性高频(HF)成分(副交感神经驱动)高于女性。我们的数据显示,男性在比赛期间进行无氧肌肉疲劳测试后表现出更大的副交感神经反应性。相反,在连续两个比赛期后比较温盖特测试前后时,女性的心脏自主神经调节较少。

https://cdn.ncbi.nlm.nih.gov/pmc/blobs/37bd/8637437/72778f7c3047/fphys-12-769085-g003.jpg
https://cdn.ncbi.nlm.nih.gov/pmc/blobs/37bd/8637437/5b5183ca8079/fphys-12-769085-g001.jpg
https://cdn.ncbi.nlm.nih.gov/pmc/blobs/37bd/8637437/070f181ecc0e/fphys-12-769085-g002.jpg
https://cdn.ncbi.nlm.nih.gov/pmc/blobs/37bd/8637437/72778f7c3047/fphys-12-769085-g003.jpg
https://cdn.ncbi.nlm.nih.gov/pmc/blobs/37bd/8637437/5b5183ca8079/fphys-12-769085-g001.jpg
https://cdn.ncbi.nlm.nih.gov/pmc/blobs/37bd/8637437/070f181ecc0e/fphys-12-769085-g002.jpg
https://cdn.ncbi.nlm.nih.gov/pmc/blobs/37bd/8637437/72778f7c3047/fphys-12-769085-g003.jpg

相似文献

1
Cardiac Autonomic Modulation in Response to Muscle Fatigue and Sex Differences During Consecutive Competition Periods in Young Swimmers: A Longitudinal Study.年轻游泳运动员连续比赛期间肌肉疲劳和性别差异对心脏自主神经调节的影响:一项纵向研究
Front Physiol. 2021 Nov 18;12:769085. doi: 10.3389/fphys.2021.769085. eCollection 2021.
2
Heart rate variability, training variation and performance in elite swimmers.精英游泳运动员的心率变异性、训练变化与表现
Int J Sports Med. 2007 May;28(5):394-400. doi: 10.1055/s-2006-924490. Epub 2006 Nov 16.
3
Measuring effects of height on the autonomic nervous system in middle-aged adolescents using the very low frequency band of heart rate variability.使用心率变异性的极低频带测量中年青少年身高对自主神经系统的影响。
Ergonomics. 2023 May;66(5):569-579. doi: 10.1080/00140139.2022.2100931. Epub 2022 Jul 17.
4
Detraining Effect on Cardiac Autonomic Response to an All-Out Sprint Exercise in Trained Adolescent Swimmers.训练停止对青少年游泳运动员全力冲刺运动中心血管自主反应的影响。
Int J Sports Physiol Perform. 2023 Mar 25;18(6):573-578. doi: 10.1123/ijspp.2022-0389. Print 2023 Jun 1.
5
Heart rate variability with photoplethysmography in 8 million individuals: a cross-sectional study.使用光体积描记法对 800 万人进行心率变异性研究:一项横断面研究。
Lancet Digit Health. 2020 Dec;2(12):e650-e657. doi: 10.1016/S2589-7500(20)30246-6. Epub 2020 Nov 23.
6
Resting and postexercise cardiac autonomic control in trained master athletes.训练有素的老年运动员静息和运动后心脏自主神经控制
J Physiol Sci. 2007 Feb;57(1):23-9. doi: 10.2170/physiolsci.RP012306. Epub 2006 Dec 21.
7
Autonomic modulation and its relation with body composition in swimmers.游泳运动员的自主神经调节及其与身体成分的关系。
J Strength Cond Res. 2014 Jul;28(7):2047-53. doi: 10.1519/JSC.0000000000000344.
8
Sex differences in linear and nonlinear heart rate variability during early recovery from supramaximal exercise.性别的在超最大运动后早期恢复期间线性和非线性心率变异性中的差异。
Appl Physiol Nutr Metab. 2010 Aug;35(4):439-46. doi: 10.1139/H10-028.
9
Sex differences in autonomic function following maximal exercise.最大运动后自主神经功能的性别差异。
Biol Sex Differ. 2015 Dec 1;6:28. doi: 10.1186/s13293-015-0046-6. eCollection 2015.
10
Suppression of heart rate variability after supramaximal exertion.极限运动后心率变异性的抑制。
Clin Physiol Funct Imaging. 2007 Sep;27(5):309-19. doi: 10.1111/j.1475-097X.2007.00753.x.

引用本文的文献

1
Enhancing cardiovascular monitoring: a non-linear model for characterizing RR interval fluctuations in exercise and recovery.增强心血管监测:一种用于表征运动和恢复过程中RR间期波动的非线性模型。
Sci Rep. 2025 Mar 13;15(1):8628. doi: 10.1038/s41598-025-93654-6.
2
Acute Effects of Fatigue on Cardiac Autonomic Nervous Activity.疲劳对心脏自主神经活动的急性影响。
J Sports Sci Med. 2023 Dec 1;22(4):806-815. doi: 10.52082/jssm.2023.806. eCollection 2023 Dec.
3
Validity and Reliability of Short-Term Heart Rate Variability Parameters in Older People in Response to Physical Exercise.

本文引用的文献

1
Slight power output manipulations around the maximal lactate steady state have a similar impact on fatigue in females and males.在最大乳酸稳态周围进行轻微的功率输出调整,对女性和男性的疲劳有类似的影响。
J Appl Physiol (1985). 2021 Jun 1;130(6):1879-1892. doi: 10.1152/japplphysiol.00892.2020. Epub 2021 Apr 29.
2
Age- and Sex-Related Differences in Recovery From High-Intensity and Endurance Exercise: A Brief Review.年龄和性别对高强度和耐力运动恢复的影响差异:简要综述。
Int J Sports Physiol Perform. 2021 Jun 1;16(6):752-762. doi: 10.1123/ijspp.2020-0604. Epub 2021 Apr 21.
3
Hypoxic Respiratory Chemoreflex Control in Young Trained Swimmers.
老年人对体育锻炼的短期心率变异性参数的有效性和可靠性。
Int J Environ Res Public Health. 2023 Mar 2;20(5):4456. doi: 10.3390/ijerph20054456.
年轻训练有素游泳运动员的低氧呼吸化学反射控制
Front Physiol. 2021 Feb 26;12:632603. doi: 10.3389/fphys.2021.632603. eCollection 2021.
4
Daily Resting Heart Rate Variability in Adolescent Swimmers during 11 Weeks of Training.青少年游泳运动员 11 周训练期间的日常静息心率变异性。
Int J Environ Res Public Health. 2020 Mar 22;17(6):2097. doi: 10.3390/ijerph17062097.
5
Effects of tapering on neuromuscular and metabolic fitness in team sports: a systematic review and meta-analysis.逐渐减少训练量对团队运动中神经肌肉和代谢健康的影响:系统评价和荟萃分析。
Eur J Sport Sci. 2021 Mar;21(3):300-311. doi: 10.1080/17461391.2020.1736183. Epub 2020 Mar 14.
6
Influence of Mediterranean diet adherence, physical activity patterns, and weight status on cardiovascular response to cardiorespiratory fitness test in Chilean school children.地中海饮食依从度、体力活动模式和体重状况对智利学龄儿童心血管对心肺功能测试反应的影响。
Nutrition. 2020 Mar;71:110621. doi: 10.1016/j.nut.2019.110621. Epub 2019 Oct 17.
7
Presence of age- and sex-related differences in heart rate variability despite the maintenance of a suitable level of accelerometer-based physical activity.尽管基于加速度计的身体活动保持在适当水平,但心率变异性仍存在与年龄和性别相关的差异。
Braz J Med Biol Res. 2019;52(8):e8088. doi: 10.1590/1414-431X20198088. Epub 2019 Aug 5.
8
Training Organization, Physiological Profile and Heart Rate Variability Changes in an Open-water World Champion.一位公开水域世界冠军的训练组织、生理特征及心率变异性变化
Int J Sports Med. 2019 Aug;40(8):519-527. doi: 10.1055/a-0877-6981. Epub 2019 Jul 9.
9
Moving beyond P values: data analysis with estimation graphics.超越P值:使用估计图进行数据分析。
Nat Methods. 2019 Jul;16(7):565-566. doi: 10.1038/s41592-019-0470-3.
10
Heart Rate Variability Monitoring During Strength and High-Intensity Interval Training Overload Microcycles.力量训练和高强度间歇训练超负荷微周期期间的心率变异性监测
Front Physiol. 2019 May 22;10:582. doi: 10.3389/fphys.2019.00582. eCollection 2019.